时间:2017-10-05 08:45:00


1、单项选择题 儿童体格生长()
	A.遵循一定的规律,个体差异不大
	B.是一个连续的过程,且各时期生长速度不同
	C.是一个连续的过程,而且整个儿童期匀速增长
	D.无固定规律,个体差异明显
	E.是一个连续的过程,且无明显的个体差异
2、单项选择题 新生儿期的保健要点不包括()
	A.保暖 
	B.喂养 
	C.护理 
	D.足量饮水 
	E.预防感染 
3、单项选择题 幼儿每日所需能量为
	A.100~120kcal/kg 
	B.90~100kcal/kg 
	C.120~140kcal/kg 
	D.140~150kcal/kg 
	E.150~200kcal/kg 
4、单项选择题 下列药物除哪种外,既有肾毒性,又有耳毒性
	A.庆大霉素 
	B.丁胺卡那霉素 
	C.先锋霉素 
	D.万古霉素 
	E.妥布霉素 
5、多项选择题 9个月的佝偻病患儿可能出现以下哪些体征?
	A.乒乓头 
	B.方头 
	C.肋串珠 
	D.鸡胸 
	E.“O”型腿 
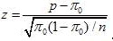
6、单项选择题
	在大样本时,总体比例检验统计量用z统计量,其基本形式为()。
	
	A.A
	B.B
	C.C
	D.D
7、单项选择题 以下不属于早产儿护理要点的是
	A.保暖 
	B.合理喂养 
	C.预防感染 
	D.测量体重 
	E.供氧 
8、单项选择题 幼儿期应每隔几个月进行一次体格检查?
	A.1~3个月 
	B.3~6个月 
	C.6~9个月 
	D.9~12个月 
	E.一年 
9、单项选择题 2岁儿童食欲差,经常感冒发热,Ⅱ度营养不良,腹泻10天,大便吴蛋花汤样,每天8~10次,量多,口渴不明显,尿量极少,精神萎靡,皮肤弹性极差,可见花纹。应考虑诊断()
	A.重度等张性脱水 
	B.等张性脱水 
	C.中度低渗性脱水 
	D.重度低渗性脱水 
	E.中度高渗性脱水 
10、单项选择题 关于小儿肺炎的一般治疗,错误的措施是()
	A.室内空气流通,保持一定温度湿度 
	B.保持呼吸道通畅,给氧 
	C.经常变换体拉,减少肺淤血 
	D.供给易消化、富有营养的食物 
	E.不能进食者给予静脉补液,液体量应100~120ml/(kg?d)
11、单项选择题 儿童生活安排基本原则中,下列哪条是错误的()。
	A.以儿童年龄为基础,合理安排生活制度 
	B.根据大脑皮层功能特征和脑力工作能力的变化规律制定活动与休息的交替顺序 
	C.教学中促进儿童身心发育及各种能力的全面发展 
	D.家庭出身、幼儿园应统一直辖市儿童的生活制度 
	E.双休日在家应充分给予孩子“自由”,可以熬夜看电视或玩游戏机 
12、多项选择题 维生素A缺乏时的临床表现为
	A.口腔炎 
	B.结膜干燥起皱 
	C.皮肤干燥脱屑 
	D.夜盲 
	E.水肿 
13、单项选择题 儿童会说2~3个字的句子,自己上楼,最可能的年龄是
	A.1岁 
	B.3岁 
	C.4岁 
	D.2岁 
	E.5岁 
14、单项选择题 婴儿每日需摄入水份量为
	A.130ML/KG 
	B.140ML/KG 
	C.150ML/KG 
	D.160ML/KG 
	E.170ML/KG 
15、单项选择题 患儿10月,人工喂养未加辅食,平时很少户外运动,因发热、咳嗽、气促2天以支气管肺炎收住院,突起惊厥,其急诊处理步骤应是:()
	A.补钙→止惊→维生素D 
	B.止惊→补钙→维生素D 
	C.维生素D→止惊→补钙 
	D.补钙&ra www.91exAm.orgrr;维生素D→止惊 
	E.维生素D→补钙→止惊 
16、单项选择题 一个3岁幼儿园女孩体格检查测坐高57cm,身高93cm,其身材比值为0.61(参数为0.59),可能
	A.身材不匀称 
	B.正常误差 
	C.骨发育异常 
	D.测量错误 
	E.以上都不是 
17、单项选择题 对异物吸入的小儿应:()
	A.嘱小儿蹦跳,将异物咳出 
	B.刺激咽喉部,将异物咳出 
	C.观察,必要时送往医院 
	D.拍背,帮助孩子咳出异物 
	E.立即送往医院 
18、单项选择题 新生儿期的保健要点不包括:()
	A.保暖 
	B.喂养 
	C.护理 
	D.足量饮水 
	E.预防感染 
19、单项选择题  ; 下列哪项可以进行预防接种
	A.发热 
	B.严重的慢性疾病 
	C.有癫痫的小儿 
	D.营养不良但无并发症者 
	E.有过敏史 的小儿 
20、单项选择题 社区服务实施措施中系统监测不包括()。
	A.儿童生长发育 
	B.营养状况 
	C.意外伤害预防 
	D.伤残状况 
	E.以上都不是 
21、单项选择题 婴儿添加离乳食品的一般顺序是()
	A.米糊、蛋黄、鲁泥、菜泥 
	B.面条、蛋黄、肉泥、菜泥 
	C.蛋黄、豆腐、鱼泥、菜泥 
	D.米汤、肉泥、菜泥、碎肝 
	E.米饭、肉泥、菜泥、鸡蛋 
22、单项选择题 某新生儿,生后第8天,自7天出现喂养困难。经询问获悉新生儿是在家中分娩,出生时体重3.5KG。体检时发现牙关紧闭,全身皮肤轻中度黄染。最可能的诊断为
	A.败血症 
	B.核黄疸 
	C.缺血缺氧性脑病 
	D.硬肿症 
	E.破伤风  
23、单项选择题 婴儿期体重、身长的增长规律为
	A.前3个月的增长约等于后9个月的增长 
	B.前6个月的增长等于后6个月的增长 
	C.前6个月平均每月增长0.7kg,3cm;后6个月平均每月增长0.25kg,1cm 
	D.平均每月增长0.5kg,2cm 
	E.前9个月的增长等于后3个月的增长 
24、单项选择题 反映小儿 营养状况最易获得的灵敏指标是
	A.体重 
	B.身高 
	C.头围 
	D.坐高 
	E.胸围 
25、判断题 期货从业人员违反规定,情节轻微,且没有造成严重后果的,予以警告,警告应以公告形式发布。()
26、单项选择题 儿童饮食中碳水化合物供热比例应为
	A.12%~15% 
	B.16%~20% 
	C.25%~35% 
	D.45%~50% 
	E.55%~65% 
27、单项选择题 体重6kg,身长61cm,相当于婴儿
	A.3个月 
	B.6个月 
	C.10个月 
	D.12个月 
	E.15个月 
28、单项选择题 对脱水性质的认识,下列哪项是错误的:()
	A.是指现存体液渗透压的改变 
	B.常以血清钠浓度来表示细胞外液渗透压 
	C.婴儿腹泻以等渗性脱水最常见 
	D.低渗性脱水可引起脑血管扩张充血 
	E.等渗性脱水细胞内液量无明显变化 
29、多项选择题
	肩袖完全撕裂的MRI间接征象有()
	 
	A.冈上肌和其他肩袖肌萎缩
	B.肩峰下-三角肌滑囊内有长T2高信号
	C.T1WI肩峰下-三角肌下脂肪平面消失
	D.T2WI肌腱全层出现高信号
	E.T1WI或PDWI损伤处为局限性高信号
30、单项选择题 对手淫的防治措施不包括()。
	A.开展青春期生理卫生教育 
	B.帮助青少年正确认识手淫 
	C.避免与异性接触 
	D.丰富青少年的业余活动 
	E.合理安排生活制度 
31、单项选择题 维生素A缺乏的主要表现()
	A.眼部及皮肤症状 
	B.眼部症状及消化道症状 
	C.皮肤症状,消化症症状 
	D.泌尿道症状 
	E.免疫系统症状 
32、单项选择题 小儿热能需要与成人的主要不同点是
	A.小儿食物的特殊动力作用所需热能高,生长热能高 
	B.小儿基础代谢所需热能少,生长所需热能高 
	C.小儿基础代谢所需热能高,生长所需热能高 
	D.小儿基础代谢所需热能高,活动所需热能高 
	E.小儿排泄损失热能较高,活动所需热能高 
33、单项选择题 儿童应养成的饮食习惯不包括
	A.定时、定量进食 
	B.不偏食、不挑食、不过量进食 
	C.不贪吃零食 
	D.进餐时专心,但可以看电视 
	E.让小儿自己进食,充分咀嚼,不狼吞虎咽 
34、多项选择题 以下发育评价哪几项是正确的
	A.均值离差法是适合于正态分布的常用统计方法 
	B.百分位数法只适用于非正态分布状况 
	C.指数法是利用二项指标间的关系来评价营养状况 
	D.参考人群值可选择中国城市儿童的体格发育数据 
	E.定期纵向观察能判断儿童的生长趋势
35、单项选择题 绘人测验适用于()。
	A.2岁~3岁 
	B.3岁~6岁 
	C.6岁~12岁 
	D.5岁~9.5岁 
	E.6岁~10岁 
36、单项选择题 小儿听到“妈妈”的声音,未见到“妈妈”就停止哭闹,是什么心理现象
	A.再认 
	B.记忆 
	C.思维 
	D.想象 
	E.情感 
37、单项选择题 关于小儿肺炎的一般治疗,下列措施哪项不正确:()
	A.室内空气流通,保持一定温度湿度 
	B.保持呼吸道通畅,给氧 
	C.经常变换体位,减少肺淤血 
	D.供给易消化,富有营养的食物 
	E.不能进食者给予静脉补液,液体量应100~120ml/(kg?d)
38、单项选择题 8个月婴儿,急起别喘、频咳、发热4天。体温39.8℃,嗜睡及烦躁交替,面色苍白,口周青紫,肺部体征不明显,心率150次/分,肝右肋下2cm。初诊为:()
	A.金黄色葡萄球菌肺炎 
	B.腺病毒肺炎 
	C.急性支气管炎 
	D.肺炎支原体肺炎 
	E.呼吸道合胞病毒肺炎