时间:2017-10-05 07:42:39


1、问答题 为检查灌浆试验的灌浆效果,在检查孔中应做哪些项目的检查?
2、单项选择题 在液压系统中,用于控制油路换向、动作顺序及卸荷的液压阀是()。
	A.压力控制阀;
	B.流量控制阀;
	C.方向控制阀;
	D.节流阀。
3、问答题 什么是岩石的研磨性?它对钻孔施工有什么影响?
4、单项选择题 稳定浆液的稳定性标准是2h内的析水率不超过()。
	A.2%;
	B.5%;
	C.10%;
	D.15%。
5、单项选择题 三管法高喷灌浆时,输浆管路一般不应超过()。
	A.60m;
	B.80m;
	C.100m;
	D.120m。
6、单项选择题 坝体接缝灌浆,当排气管出浆浓度接近1:1,或1:1的浆液灌入量约等于缝的容积时,即改用()浆液灌注,直至结束。
	A.0.8:1;
	B.0.7:1;
	C.0.6:1或0.5:1;
	D.0.4:1。
7、问答题 绘图题:绘制1″短管的加工图。管长200mm,两端螺纹段长30mm;螺纹为普通非密封管螺纹,可不注加工精度,但线型必须正确性。
8、问答题 计算题:配制水泥:粘土:水为1:0.5:6的水泥粘土浆400L,已知水泥的密度为3.1g/cm3,粘土的密度为2.76g/cm3,求各种材料的用量各是多少?
9、问答题 绘图题:某帷幕灌浆工程共布置三排灌 浆孔,孔距和排距均为2m,各排之间呈梅花形布置,每排孔均分为三序按逐渐加密的方法施工,试绘制其平面布置图。
10、单项选择题 普通螺纹的螺纹角是()度。
	A.50;
	B.55;
	C.60;
	D.65。
11、单项选择题 坝体接缝灌浆结束时,规范要求保持缝内压力进行闭浆,闭浆时间不宜少于()h。
	A.8;
	B.6;
	C.4;
	D.2。
12、单项选择题 对厚度较小的摆喷墙体,不宜采用的检查方法是()。
	A.开挖法;
	B.取芯压水法;
	C.围井法;
	D.室内试验。
13、单项选择题 当轴承代号标记的最后两位数字为08时,该轴承的内径是()mm。
	A.8;
	B.18;
	C.40;
	D.80。
14、问答题 金刚石钻进在硬而致密的弱研磨性地层中会遇到什么问题?如何应对?
15、问答题 绘图题:试绘出摆角30°,孔距2m,分两序施工的高压摆喷灌浆理论成墙图。 图中尺寸以cm计。
16、单项选择题 金刚石钻具卡簧的自由内径应比钻头内径小()mm。
	A.0.2~0.3;
	B.0.3~0.4;
	C.0.5~0.7;
	D.0.7~1.0。
17、单项选择题 细砂层帷幕化学灌浆段长一般控制为()m左右。
	A.0.5;
	B.0.7~1.0;
	C.2.0~3.0;
	D.4.0~5.0。
18、问 答题 何谓循环式灌浆?有何要求?有什么优点和缺点?
19、单项选择题 大八角柱状硬质合金钻头适用的有()。
	A.灰岩;
	B.花岗岩;
	C.软硬不均岩层;
	D.均质岩。
20、单项选择题 硬质合金钻头的水口高度一般为()mm。
	A.20-30;
	B.15-20;
	C.10-15;
	D.5-10。
21、问答题 往复式灌浆泵有哪些类型?单作用泵与双作用泵的主要区别是什么?
22、问答题 计算题:某钻孔采用直径66mm的金刚石钻头和50mm的钻杆钻进,要求孔内冲洗液的流速达到0.4m/s,求每分钟所需的冲洗液量。
23、单项选择题 常采用以水泥为基本材料的双液浆进行堵漏,此双液浆指的是()。
	A.水泥—膨润土浆;
	B.水泥—粘土浆;
	C.水泥—水玻璃浆;
	D.水泥—粉煤灰浆。
24、问答题 绘图题:有一双头螺杆,长80mm;一端为普通公制粗牙螺纹,另一端为螺距1.5mm的普通公制细牙螺纹,外径均为20mm,螺纹长度均为30mm,表面粗糙度均为Ra=5;试绘制该螺杆的加工图。
25、单项选择题 评价金刚石钻头质量的主要指标是()。
	A.加工精度;
	B.制作工艺;
	C.单钻头进尺;
	D.金刚石规格。
26、问答题 为什么金刚石钻进的钻压一般较小?
27、单项选择题 水泥的密度为()g/cm3。
	A.3.3~3.5;
	B.3.2~3.3;
	C.3.1~3.15;
	D.2.8~3.0。
28、单项选择题 机械在10kV高压线下行走或工作时,其任何部位与架空线路的距离不得小于()m。
	A.1;
	B.2;
	C.4;
	D.6。
29、单项选择题 氧气瓶中的氧气不得全部用完,至少要留有()MPa的剩余压力。
	A.0.1~0.3;
	B.0.2~0.3;
	C.0.1~0.2;
	D.0.3~0.5。
30、问答题 试述帷幕灌浆分段长度的确定原则。
31、单项选择题 硬质合金冲击回转钻进适用于可钻性()级岩石。
	A.1~5;
	B.5~8;
	C.4~7;
	D.9~12。
32、单项选择题 一般情况下,安全电压是指低于()伏的电压。
	A.220;
	B.110;
	C.40;
	D.24。
33、问答题 计算题:有一钢制圆锥体的底面直径为5cm,高为10cm,求其体积和质量(钢的密度为7.85g/cm3)。(精确到0.1g)
34、单项选择题 Φ56mm的孕镶金刚石钻头钻进时,最适宜的泵量是()L/min。
	A.30~50;
	B.46~70;
	C.50~80;
	D.35~55。
35、问答题 硬质合金钻进的转速如何选择?
36、单项选择题 固结灌浆检查孔采用声波检查时应在()天后进行。
	A.7;
	B.14;
	C.21;
	 D.28。
37、单项选择题 金刚石钻具的扩孔器外径应比钻头外径大()mm。
	A.0.2~0.3;
	B.0.3~0.5;
	C.0.5~0.7;
	D.0.7~1.0。
38、单项选择题 钻进卵砾石层时,Φ91mm钻头上硬质合金的镶焊数量应不少于()个。
	A.6;
	B.7;
	C.9;
	D.12。
39、单项选择题 车辆在施工区域内行驶,时速一般应不超过()公里/小时。
	A.30;
	B.20;
	C.15;
	D.10。
40、问答题 计算题:有一钢制圆锥体的底面直径为5cm,高为10cm,求其体积和质量(钢的密度为7.85g/cm3)。(精确到0.1g)
41、单项选择题 工程图中的中心线、对称线是用()来表示的。
	A.粗实线;
	B.细实线;
	C.细点划线;
	D.细虚线。
42、问答题 计算题:某φ91mm钻孔在回次进尺5m中采取完整岩芯累计长度为4.2m,破碎散岩芯的体积有3.4L。岩芯管内径为81mm,该回次的岩芯采取率为多少?
43、单项选择题 固结灌浆检查孔用静弹模检查时,应在()天后进行。
	A.3;
	B.7;
	C.14;
	D.28。
44、单项选择题 集中制浆站输浆管的管道流速宜为()m/s。
	A.0.5~1.0;
	B.1.0~1.5;
	C.1.4~2.0;
	D.2.0~3.0。
45、问答题 绘图题:试绘制纯压式灌浆塞结构图。
46、问答题 灌浆中的表压力与全压力有什么不同?
47、单项选择题 地下水位稳定标准为:每5min测读一次孔内水位,当水位下降速度连续两次均小于()cm/min时,可认为稳定。
	A.10;
	B.8;
	C.5;
	D.3。
48、单项选择题 轴上零件的轴向移动量较大时,则采用()连接。
	A.导向平键;
	B.滑键;
	C.普通平键;
	D.切向键。
49、单项选择题 圆锥滚子轴承的类型代号是()。
	A.1;
	B.2;
	C.3;
	D.4。
50、单项选择题 螺纹螺距主要使用()测量。
	A.直尺;
	B.螺纹规;
	C.外卡钳;
	D.游标卡尺。
51、单项选择题 端承灌注桩的孔底允许最大沉渣厚度为()mm。
	A.300;
	B.200;
	C.100;
	D.50。
52、问答题 计算题:灌浆压力应不大于安全压力,即不考虑岩石本身的强度,灌浆压力不应超过其上部盖层的重量。如此说来,当基岩上部混凝土的单位重量为2.5t/m3、厚度为5m时,灌浆的安全压力为多大?
53、单项选择题 孔口封闭循环式灌浆所用灌浆管的外径与孔径之差不宜大于()mm。
	A.40;
	B.30;
	C.10;
	D.20。
54、问答题 计算题:欲配制2∶1的水泥浆150L,水和水泥的加量各为多少?(水泥的比重为3.1)
55、单项选择题 土坝劈裂灌浆,当采用一次钻孔到底、自下而上分段灌浆时,堵塞办法多采用()。
	A.孔口封闭法;
	B.孔内下塞法;
	C.段顶以上用长胶塞封闭法;
	D.下孔壁管在段顶作“止浆环”填土堵塞法。
56、单项选择题 一点法正规压水试验,须在规定压力下连续四次测得压入流量中,最大与最小值之差小于最终值的(),或最小值小于1L/min时,才可结束。
	A.20%;
	B.15%;
	C.10%;
	D.5%。
57、单项选择题 采用孔口封闭灌浆法时,钻孔孔径宜为()mm左右。
	A.50;
	B.60;
	C.70;
	D.80。
58、单项选择题 水泥的进场检验,每()t同厂、同品种、同标号的水泥为一个取样单位,不足200t时也作为一个取样单位。
	A.100~200;
	B.200;
	C.200~300;
	D.200~400。
59、单项选择题 精度要求较高的轴径可用()测量。
	A.外卡钳;
	B.内卡钳;
	C.游标卡尺;
	D.外径千分尺。
60、单项选择题 评定金刚石钻进参数的合理性,主要根据()两个指标。
	A.钻速和钻进深度;
	B.钻速和进尺;
	C.进尺和金刚石耗量;
	D.钻速和金刚石耗量。
61、单项选择题 隧洞混凝土衬砌回填灌浆的钻孔孔径不宜小于()mm。
	A.32;
	B.38;
	C.42;
	D.25。
62、单项选择题 1m水头相当于()MPa的压力。
	A.0.01;
	B.0.1;
	C.1.0;
	D.10。
63、问答题 哪些情况可采取间歇灌浆?
64、问答题 金刚石钻头的选择、使用的原则是什么?
65、单项选择题 在滚动轴承中,主要承受或只能承受径向荷载的轴承是()。
	A.推力轴承;
	B.向心轴承;
	C.向心推力轴承;
	D.一般轴承。
66、单项选择题 钻孔柱状图中可不包括()。
	A.地质描述;
	B.钻孔结构;
	C.岩芯获得率;
	D.钻孔方法。
67、问答题 小口径孔口封闭循环灌浆技术有什么优点?
68、单项选择题 岩基防渗帷幕化学灌浆的孔距一般为()m。
	A.0.5~1;
	B.1~1.5;
	C.1.5~2.0;
	D.2.0~2.5。
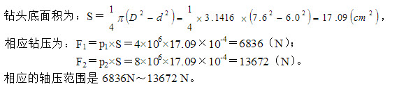
69、问答题 计算题:孕镶金刚石钻头单位底面积钻压宜为4~8MPa,当钻头外径为76mm,内径为60mm时,相应的轴压范围是多少?
70、单项选择题 三点法正规压水试验,采用的最大压力通常是()。
	A.库水头的1~2倍;
	B.等于灌浆压力;
	C.灌浆压力的80%;
	D.1MPa。
71、单项选择题 三点法正规压水试验,五个阶段每个阶段的试验时间,都是在规定压力下持续()min以上,压入流量达到稳定后才能结束。
	A.30;
	B.20;
	C.10;
	D.5。
72、问答题 简述三管法高压喷射灌浆的操作方法。
73、问答题 试述选择金刚石钻头的原则。
74、单项选择题 孔口封闭灌浆时,回浆管宜有()L/min以上的回浆量。
	A.10;
	B.15;
	C.30;
	D.25。
75、单项选择题 坝体接缝灌浆是在出浆浓度、灌浆压力和注浆率都达到标准后,延续()min即可结束灌浆。
	A.60;
	B.30;
	C.20;
	D.10。
76、单项选择题 下述方法中,不能提高岩芯采取率的是()。
	A.单动双管钻具;
	B.优质泥浆;
	C.孔底反循环钻进;
	D.喷射反循环钻进。
77、问答题 哪些地层条件应采用自上而下分段灌浆法?
78、单项选择题 氧气瓶与其它易燃物品或火源的距离应不小于()m。
	A.10;
	B.8;
	C.6;
	D.4。
79、问答题 试述钻孔冲洗液的主要类型和适用条件。
80、问答题 计算题:压水试验段位于(垂直孔)孔口以下28.5~33.5m;压水时的表压力为0.85MPa;压力表离地面1.5m;压入流量为5L/min;稳定地下水位在孔口以下30.5m处。请计算该试验段的透水率(Lu)。
81、单项选择题 钢衬接触灌浆,采用的水灰比序列为()。
	A.与帷幕灌浆相同;
	B.与固结灌浆相同;
	C.与回填灌浆相同;
	D.1:1、0.8:1、0.6(或0.5):1。
82、单项选择题 四极电机的同步转速是()r/min。
	A.3000;
	B.1500;
	C.1000;
	D.750。
83、单项选择题 当轴的设计直径为φ30,0.02,0.04时,该轴的实际直径应不大于()mm。
	A.30;
	B.29.96;
	C.29.98;
	D.29.94。
84、单项选择题 中硬岩层中,表镶金刚石钻头用粗粒金刚石的粒度为()粒/克拉。
	A.15~25;
	B.10~15;
	C.20~50;
	D.40~60。
85、问答题 何谓自下而上分段灌浆法?它适用于什么地层条件?
86、问答题 为了发挥金刚石钻进高转速的优越性,应怎样提高钻具的稳定性?
87、单项选择题 Φ76mm的表镶金刚石钻头钻进时,最适宜的转速是()r/min。
	A.200~500
	B.400~800;
	C.300~600;
	D.170~450。