时间:2017-10-03 18:12:45


1、填空题 土的触变性是指()。
2、问答题 按规范如何对建筑地基岩土进行分类?
3、判断题 两种不同的粘性土,其天然含水量相同,则其软硬程度相同。
4、填空题 粘性土的不同状态的分界含水量液限、塑限、缩限分别用()、()、()测定。
5、填空题 土的天 然密度、土粒相对密度、含水量由室内试验直接测定,其测定方法分别是()、()、()。
6、判断题 相对密实度Dr主要用于比较不同砂土的密实度大小。
7、问答题 什么是最优含水量和最大干密度?
8、单项选择题 处于天然状态的砂土的密实度一般用哪一种试验方法测定()。
	A.载荷试验
	B.十字板剪切试验
	C.标准贯入试验
	D.轻便触探试验
9、单项选择题 亲水性最弱的粘土矿物是:
	A.蒙脱石
	B.伊利石
	C.高岭石
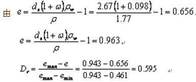
	D.方解石
10、问答题 某土样,土粒相对密度为2.7,孔隙比为0.95,饱和度为37%,现要把饱和度提高到90%,则每1的该土样中应加多少水?(计算题)
11、单项选择题 淤泥属于()。
	A.粉土
	B.粘性土
	C.粉砂
	D.细砂
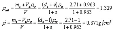
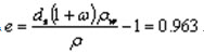
12、问答题 某原状土样的密度为1.85g/cm3、含水量为34%、土粒相对密度为2.71,试求该土样的饱和密度、有效密度和有效重度(先导得公式然后求解)。
13、问答题 影响土压实性的主要因素什么?
14、单项选择题 已知某种土的密度ρ=1.8g/cm3,土粒相对密度ds=2.70,土的含水量w=18.0%,则每立方土体中气相体积为()
	A.0.486m3
	B.0.77m3
	C.0.16m3
	D.0.284m3
15、问答题 塑性指数对地基土性质有何影向?
16、问答题 简述野外判别碎石土密实度方法?
17、问答题 某饱和土样含水量为38.2%,密度为1.85t/m3,塑限为27.5%,液限为42.1%。问:要制备完全饱和、含水量为50%的土样,则每立方米土应加多少水?加水前和加水后土各处于什么状态?其定名是什么?(计算题)
18、判断题 土的相对密实度Dr会出现Dr>1或Dr<1的情况
19、单项选择题 有三个同一种类土样,它们的含水率都相同,但是饱和度Sr不同,饱和度Sr越大的土,其压缩性有何变化?()
	A.压缩性越大
	B.压缩性越小
	C.压缩性不变
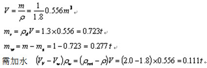
20、问答题 某一施工现场需要填土,基坑的体积为2000m3,土方来源是从附近土丘开挖,经勘察土的相对密度为2.70,含水量为15%,孔隙比为0.60。要求填土的含水量为17%,干重度为17.6kN/m3。(1)取土场的重度、干重度和饱和度是多少?(2)应从取土场开采多少方土?(3)碾压时应洒多少水?填土的孔隙比是多少?(三峡大学2006年研究生入学考试试题)
21、填空题 粘性土中含水量不同,可分别处于()、()、()、()四种不同的状态。其界限含水量依次是()、()、()。
22、问答题 某饱和土的饱和密度为1.85t/m3,含水量为37.04%,试求其土粒相对密度和孔隙比。(计算题)
23、单项选择题 粘性土的塑性指数越大,表示土的()。
	A.含水量w越大
	B.粘粒含量越高
	C.粉粒含量越高
	D.塑限Wp越高
24、填空题 处于半固态的粘性土,其界限含水量分别是()、()。
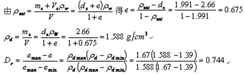
25、判断题 甲土的饱和度大于乙土的饱和度,则甲土的含水量一定高于乙土的含水量。
26、单项选择题 某粘性土样的天然含水量w为20%,液限wL为35%,塑限wP为15%,其液性指数IL为:
	A.0.25
	B.0.75
	C.4.0
	D.1.33
27、单项选择题 作为填土工程的土料,压实效果与不均匀系数的关系:
	A.Cu大比Cu小好
	B.Cu小比Cu大好
	C.Cu与压实效果无关
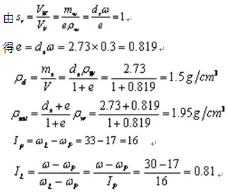
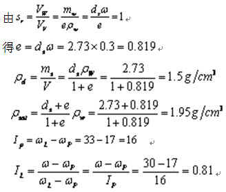
28、问答题 某一完全饱和粘性土试样的含水量为30%,土粒相对密度为2.73,液限为33%,塑限为17%,试求孔隙比、干密度和饱和密度,并按塑性指数和液性指数分别定出该粘性土的分类名称和软硬状态。
29、多项选择题 影响土击实效果的因素有()
	A、土的含水量
	B、击实功
	C、土的种类
	D、土的级配
30、单项选择题 土的饱和度Sr是指:
	A.土中水的体积与土粒体积之比
	B.土中水的体积与土的体积之比
	C.土中水的体积与气体体积之比
	D.土中水的体积与孔隙体积之比
31、问答题 已知某土样含水量为20%,土粒相对密度为2.7,孔隙率为50%,若将该土加水至完全饱和,问10m3该土体需加水多少?(计算题)
32、单项选择题 有若干种粘性土,它们的液限wL相同,但塑性指数IP不同,IP越大,则土的透水性有何不同()。(湖北工业大学2005年攻读硕士学位研究生入学考试)
	A.透水性增大
	B.透水性不变
	C.透水性减小
33、填空题 土的饱和度为土中被水充满的孔隙()与孔隙()之比。
34、单项选择题 某粘性土的液性指数=0.6,则该土的状态()。
	A.硬塑
	B.可塑
	C.软塑
	D.流塑
35、单项选择题 按《岩土工程勘察规范》(GB50021-2001),砂土和粉土的分类界限是()。(2004年岩土工程师专业考试试题)
	A.粒径大于0.075mm的颗粒质量超过总质量50%的为粉砂,不足50%且塑性指数IP≤10的为粉土
	B.粒径大于0.075mm的颗粒质量超过总质量50%的为粉砂,不足50%且塑性指数IP>3的为粉土
	C.粒径大于0.1mm的颗粒质量少于总质量75%的为粉砂,不足75%且塑性指数IP>3的为粉土
	D.粒径大于0.1mm的颗粒质量少于总质量75%的为粉砂,不足75%且塑性指数IP>7的为粉土
36、单项选择题 有三个同一种类土样,它们的含水率w都相同,但是饱和度Sr不同,饱和度越大的土,其压缩性有何变化?
	A.压缩性越大
	B.压缩性越小
	C.压缩性不变
37、问答题 简述用孔隙比e、相对密实度Dr判别砂土密实度的优缺点。
38、判断题 地下水位上升时,在浸湿的土层中,其颗粒相对密度和孔隙比将增大。
39、填空题 冻胀融陷现象在()性冻土中易发生,其主要原因是土中水分向冻结区()的结果。
40、单项选择题 细粒土进行工程分类的依据是:
	A.塑限
	B.液限
	C.粒度成分
	D.塑性指数
41、问答题
	土样试验数据见下表,求表内的“空白”项的数值
	
42、单项选择题 下列关于粘性土状态叙述正确的是()。
	A. 时,粘性土处于坚硬状态
时,粘性土处于坚硬状态
	B. 时,粘性土处于流动状态
时,粘性土处于流动状态
	C. 时,粘性土处于坚硬状态
时,粘性土处于坚硬状态
	D. 时,粘性土处于软塑状态
时,粘性土处于软塑状态
43、判断题 粉土的塑性指数IP小于或等于10、粒径大于0.075的颗粒含量不超过全重55%的土。
44、问答题 配置含水量35%的土样,取天然含水量12%的土重20t,已测定土粒相对密度为2.70,问需加水多少?(同济大学1998年研究生入学考试试题)(计算题)
45、单项选择题 同一土样的饱和重度γsat、干重度γd、天然重度γ、有效重度γ′大小存在的关系是:
	A.γsat>γd>γ>γ′
	B.γsat>γ>γd>γ′
	C.γsat>γ>γ′>γd
	D.γsat>γ′>γ>γd
46、判断题 粘性土的物理状态是用含水率表示的,现有甲、乙两种土,测得它们的含水率W甲>W乙,则可以断定甲土比乙土软
47、问答题 为什么仅用天然含水量说明不了粘性土的物理状态,而用液性指数却能说明?(长安大学2007年硕士研究生入学考试)
48、问答题 经测定,某地下水位以下砂层的饱和密度为1.991g/cm3,土粒相对密度为2.66,最大干密度为1.67g/cm3,最小干密度为1.39g/cm3,试判断该砂土的密实程度。(计算题)
49、单项选择题 已知某砂土的最大、最小孔隙比分别为0.7、0.3,若天然孔隙比为0.5,该砂土的相对密实度Dr为:
	A.4.0
	B.0.75
	C.0.25
	D.0.5
50、判断题 用塑性指数IP可以对土进行分类。
51、判断题 土的天然重度越大,则土的密实性越好
52、单项选择题 已知砂土的天然孔隙比为e=0.303,最大孔隙比emax=0.762,最小孔隙比emin=0.114,则该砂土处于()状态。
	A.密实
	B.中密
	C.松散
	D.稍密
53、问答题 已知一土样天然密度为1.8t/m3,干密度为1.3t/m3,饱和重度为20kN/m3,试问在1t天然状态土中,水和干土的质量各是多少?若使这些土改变成饱和状态,则需加水多少?(计算题)
54、单项选择题 受水浸湿后,土的结构迅速破坏,强度迅速降低的土是:
	A.冻土
	B.膨胀土
	C.红粘土
	D.湿陷性黄土
55、单项选择题 根据规范GB50007进行土的工程分类,粘土是指:
	A.粒径小于0.05mm的土
	B.粒径小于0.005mm的土
	C.塑性指数大于10的土
	D.塑性指数大于17的土
57、填空题 液性指数是用来衡量粘性土的()状态。
58、问答题 从A,B两地土层中个取粘性土进行试验,恰好其液塑限相同,液限wl=45%,塑限wp=30%,但A地的天然含水率为45%,而B地的天然含水率为25%。试求A,B两地的地基土的液性指数,并通过判断土的状态,确定哪个地基土比较好。
59、判断题 土的液性指数IL会出现IL>0或IL<0的情况
60、判断题 甲土的饱和度大与乙土的饱和度,则甲土的含水率一定高于乙土的含水率
61、问答题 击实试验,击实筒体积1000cm2,测得湿土的质量为1.95kg,取一质量为17.48kg的湿土,烘干后质量为15.03kg,计算含水率W和干重度γd
62、问答题 甲乙两土的天然重度和含水量相同,相对密度不同,饱和度哪个大?
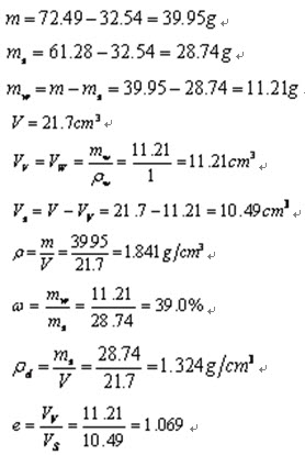
63、问答题 有一完全饱和的原状土样切满于容积为21.7cm3的环刀内,称得总质量为72.49g,经105℃烘干至恒重为61.28g,已知环刀质量为32.54g,土粒相对密度(比重)为2.74,试求该土样的湿密度、含水量、干密度及孔隙比(要求按三项比例指标定义求解)。(计算题)
64、单项选择题 有一非饱和土样,在荷载作用下,饱和度由80%增加至95%。试问土样的重度γ和含水率怎样改变?()
	A.γ增加,减小
	B.γ不变,不变
	C.γ增加,增加
65、单项选择题 有关服用某药与肾结石关系的一项病例对照研究显示,P>0.05,OR=1.19,95%CI0.89~2.03,正确解释是()。
	A.病例组服药率显著高于对照组
	B.服药组发生肾石症的危险明显大于对照组
	C.对照组发生肾石症的可能性明显大于服药组
	D.未服药者发生肾 石症的可能性明显大于服药者
	E.肾石症与服用该药无关
66、填空题 通常可以通过砂土的()密实度或标准贯入锤击试验的()判定无粘性土的密实程度。
67、单项选择题 在下列关于路堤堤防填土压实的说法中,()是正确的。(2004年岩土工程师专业考试试题)
	A.在最优含水量下压实可取得最经济的压实效果及最大干密度
	B.最优含水率取决于土类,与进行击实试验仪器的类型及试验方法无关
	C.压实度是指实际达到的干密度与击实试验最大干密度之比
	D.压实系数随填土深度不同可以不同
68、问答题
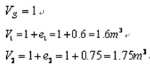
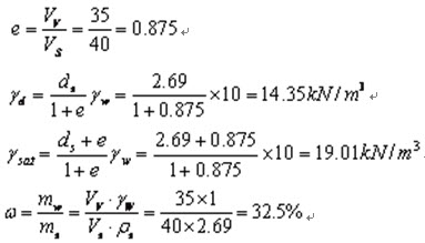
	某土样孔隙体积 ,土粒体积
,土粒体积
	
,土粒相对密度为ds=2.69,求孔隙比e和干重度d;当孔隙被水充满时,求饱和重度sat和含水量。(计算题)
69、单项选择题 下列指标中,哪一指标数值越大,密实度越小。
	A.孔隙比
	B.相对密实度
	C.轻便贯入锤击数
	D.标准贯入锤击数
70、单项选择题 下列土中,最容易发生冻胀融陷现象的季节性冻土是:
	A.碎石土
	B.砂土
	C.粉土
	D.粘土
71、问答题 某土样的干密度为1.60g/cm3,土粒相对密度为2.66,颗粒分析试验表明,该土大于0.5mm的颗粒占总质量的25%。假设细颗粒可以把粗颗粒间的孔隙全部填满,问该土小于0.5mm的那部分细颗粒土的干密度约是多少?若经过压实后,该土在含水量为18%时达到饱和,问该土此时的干密度是多少?(计算题)
72、单项选择题 采用塑限含水量WP=18%的粉质粘土作填土土料修筑告速公路路基,分层铺土碾压时,下列()种含水率现对比较适合。(2005年岩土工程师专业考试试题)
	A.12%
	B.17%
	C.22%
	D.25%
73、填空题 碎石土是指粒径大于()mm的颗粒超过总重量50%的土。
74、单项选择题 下面有关粘性土的叙述正确的是()。
	A.粘性土是指塑性指数小于或等于10的土
	B.粘性土是指塑性指数大于10的土
	C.粘性土是指塑性指数大于17的土
	D.粘性土又称为粘土
75、问答题 设有1m3的石块,孔隙比e=0,打碎后孔隙比为e=0.6,在打碎后孔隙比为e=0.75,求第一次与第二次打碎后的体积?(计算题)
76、问答题 什么是土的灵敏度和触变性?试述在工程中的应用。
77、填空题 淤泥是指孔隙比大于()且天然含水量大于()的土。
78、单项选择题 不同状态下同一种土的重度由大到小排列顺序是()。
	A.
	B.
	C.
	D.
79、判断题 无论什么土,都具有可塑性。
80、单项选择题 土的液限是指土进入流动状态时的含水率,下述说法哪种是对的?
	A.天然土的含水率最大不超过液限
	B.液限一定是天然土的饱和含水率
	C.天然土的含水率可以超过液限,所以液限不一定是天然土的饱和含水率
81、填空题 无粘性土根据土的()进行工程分类,碎石土是指粒径大于2mm的颗粒超过总质量()的土。
82、单项选择题 某建筑物地基需要压实填土8000m3,控制压实后的含水量1=14%,饱和度Sr=90%;填料重度r=15.5kN/m3,天然含水量0=10%,相对密度GS=2.72,此时需要填料的方量最接近下列()。(2004年岩土工程师专业考试试题)
	A.10650m3
	B.10850m3
	C.11050m3
	D.11250m3
83、问答题 什么是塑限、液限和缩限?什么是液性指数、塑性指数?
84、单项选择题 土的三相比例指标中需通过实验直接测定的指标为:
	A.含水量、孔隙比、饱和度
	B.密度、含水量、孔隙率
	C.土粒比重、含水量、密度
	D.密度、含水量、孔隙比
85、填空题 粘性土的灵敏度越高,受后其强度降低就越(),所以在施工中应注意保护基槽,尽量减少对坑底土的()扰动。
86、填空题 对砂土密实度的判别一般采用以下三种方法()、()、()。
87、单项选择题 粘性土由半固态转入可塑状态的界限含水量被称为:
	A.缩限
	B.塑限
	C.液限
	D.塑性指数
88、问答题 什么是土的物理性质指标?哪些是直接测定的指标?哪些是计算指标?
89、单项选择题 某土样的天然重度γ=18kN/m3,含水量w=20%,土粒比重ds=2.7,则土的干密度ρd为:
	A.15kN/m3
	B.1.5g/m3
	C.1.5g/cm3
	D.1.5t/cm3
90、单项选择题 粘性土的塑性指数越大,说明()。
	A.土粒比表面积越小
	B.土粒吸附能力越弱
	C.土的可塑范围越大
	D.粘粒、胶粒、粘土矿物含量越低
91、单项选择题 作为填土工程的土料,压实效果与不均匀系数Cu的关系:()
	A.Cu大比Cu小好
	B.Cu小比Cu大好
	C.Cu与压实效果无关
92、问答题 已知某地基土试样有关数据如下:①天然重度r=18.4kN/m3,干密度rd=13.2kN/m3;②液限试验,取湿土14.5kg,烘干后质量为10.3kg;③搓条试验,取湿土条5.2kg,烘干后质量为4.1kg,求(1)土的天然含水率,塑性指数和液性指数;(2)土的名称和状态。
93、单项选择题 土的含水量w是指:
	A.土中水的质量与土的质量之比
	B.土中水的质量与土粒质量之比
	C.土中水的体积与土粒体积之比
	D.土中水的体积与土的体积之比
94、单项选择题 在土的三相比例指标中,直接通过室内试验测定的是()。
	A.ds,w,e
	B.ds,w,ρ
	C.ds,e,ρ
	D.ρ,w,e
95、问答题 甲土的含水量大于乙土,试问甲土的饱和度是否大于乙土?
96、问答题
	说明下图2-1中各图的横纵坐标,同时标出单位。
97、单项选择题 根据《建筑地基基础设计规范》(GB50007-2002)(下列习题中简称为规范GB50007)进行土的工程分类,砂土为:
	A.粒径大于2mm的颗粒含量>全重的50%的土。
	B.粒径大于0.075mm的颗粒含量≤全重的50%的土。
	C.粒径大于2mm的颗粒含量≤全重的50%、粒径大于0.075mm的颗粒含量>全重的50%的土。
	D.粒径大于0.5mm的颗粒含量≤全重的50%、粒径大于0.075mm的颗粒含量>全重的50%的土。
98、单项选择题 当粘性土含水量减小,土体积不再减小,土样所处的状态是:
	A.固体状态
	B.可塑状态
	C.流动状态
	D.半固体状态
99、填空题 根据塑性指数,粘性土被分为()土及()土。
100、问答题 什么是土的灵敏度和触变性?试述在工程中的应用。