手机用户可
保存上方二维码到手机中,在
微信扫一扫中右上角选择“从
相册选取二维码”即可。
1、问答题 阴极小框架变形如何检修?
点击查看答案
本题答案:阴极框架变形超过10mm影响间距时,要拆除拉杆使其自由
本题解析:试题答案阴极框架变形超过10mm影响间距时,要拆除拉杆使其自由恢复平衡位置,复原后则在同一水平位置两边同时拉紧加固,如不复原,可用火焊把加热消除变形应力,使其自由恢复,或者采用固定一端或两端采用加热后施加敲击的方法校正。
2、问答题 简述收尘集振打装置的传动过程,对振打轴受热膨胀是如何克服的。
点击查看答案
本题答案:收尘极振打装置由传动装置、振打轴、振打锤和轴承四部分组
本题解析:试题答案收尘极振打装置由传动装置、振打轴、振打锤和轴承四部分组成。电动机经过减速机减速,通过链传动与连接,这样就使轴传动起来,并带动曲柄;连杆旋转,使与连杆相连的锤头打在极板下部的承击砧上。对振打轴的受热膨胀,在外部加装万向节或链传动,在内部对于传动轴,则利用轴与轴之间的连接对轮间隙消除轴沿轴向的膨胀,使锤与承击砧位置误差减小。对于较短传动轴,是把轴的定位点设在壳体上,让轴受热后由此向内膨胀。
3、单项选择题 强酸或碱灼伤应立即用大量清水彻底冲洗,冲洗时间一般不少于()min。
(A)5;
(B)20;
(C)15;
(D)10。
点击查看答案
本题答案:D
本题解析:暂无解析
4、单项选择题 下面()不是造成电除尘二次电流指向最高,二次电压接近零的原因。
(A)阴极线断,造成阴、阳极短路,电场内有金属异物;
(B)高压电缆或其端盒对地击穿短路;
(C)绝缘瓷瓶破损,对地短路;
(D)仪表指示失误。
点击查看答案
本题答案:D
本题解析:暂无解析
5、单项选择题 能作为电除尘器收尘的电场应该是()。
(A)均匀电场;
(B)非均匀电场;
(C)两者都可以;
(D)两者都不可以。
点击查看答案
本题答案:B
本题解析:暂无解析
6、问答题 电动机小修标准项目有哪些?
点击查看答案
本题答案:(1)检查清扫电动机本体;
(2)电动机引线
本题解析:试题答案(1)检查清扫电动机本体;
(2)电动机引线的检查;
(3)揭开小盖检查轴承及润滑脂;
(4)检查紧固螺栓;
(5)检查电动机本体内外能见部分;
(6)电动机预防性试验。
7、单项选择题 有一段均匀导线,其电阻为4Ω,如果把它均匀地拉长为原来的4倍,则电阻值变为()。
(A)16Ω;
(B)1Ω;
(C)64Ω;
(D)4Ω。
点击查看答案
本题答案:C
本题解析:暂无解析
8、单项选择题 用压铅丝的方法检查间隙,一般是用来测量()部间隙。
(A)顶;
(B)底;
(C)侧;
(D)根。
点击查看答案
本题答案:A
本题解析:暂无解析
9、问答题 底座加垫时应注意什么?
点击查看答案
本题答案:调整加紧垫时,厚的在下边,薄的在中间,较薄的在上边,加
本题解析:试题答案调整加紧垫时,厚的在下边,薄的在中间,较薄的在上边,加垫数量不允许超过3片。
10、问答题 电除尘器检修完必须提交的文件及记录包括哪些内容?
点击查看答案
本题答案:(1)检修前的烟气、空气伏安特性曲线记录;
本题解析:试题答案(1)检修前的烟气、空气伏安特性曲线记录;
(2)检修前的外部缺陷记录;
(3)检修前阴、阳极板积灰厚度及同、异极距记录;
(4)电场内部设备缺陷记录;
(5)检修中采取的重大措施及检修消缺情况记录;
(6)同、异极距调整记录;
(7)目前设备尚遗留的重大缺陷记录。
11、问答题 计算题:要在中碳钢的工件上,攻深l=20mm的不通孔M8螺纹,试求钻底孔直径及钻孔深度?
点击查看答案
本题答案:
试题答案
12、单项选择题 下面使用工具的方法中()不当。
(A)使用活扳手,承力点应为固定钳口;
(B)使用手锤时,为了保护手,要戴手套;
(C)锉刀不准当手锤和撬棍用;
(D)千斤顶可用来作划线工具。
点击查看答案
本题答案:B
本题解析:暂无解析
13、问答题 何谓继电器的返回电流?
点击查看答案
本题答案:能使过电流继电器返回的最大电流叫做继电器的返回电流。<
本题解析:试题答案能使过电流继电器返回的最大电流叫做继电器的返回电流。
14、问答题 计算题:利用杠杆原理,吊1000kgf的重物,支点在重点和力点的中间,重臂250mm,力臂2m,求:在力点加力多少?
点击查看答案
本题答案:
试题答案
15、问答题 何谓槽板系统及其有何作用?
点击查看答案
本题答案:槽板系统是排列在电场后端对逃逸出电场的尘粒进行再捕集的
本题解析:试题答案槽板系统是排列在电场后端对逃逸出电场的尘粒进行再捕集的装置。同时它还具有改善电场气流分布功能,对提高除尘效率有显著作用。
16、问答题 计算题:用方框水平仪尺寸200³200mm,精度为0.02/1000测量导轨的直线,已得最大误差格数为5格,求直线度最大误差值Δ。
点击查看答案
本题答案:Δ=5³(0.02/1000)³200=
本题解析:试题答案Δ=5³(0.02/1000)³200=0.02(mm)
17、问答题 振打电动机转动,振打轴不转的原因是什么?
点击查看答案
本题答案:(1)保险片、销本身断裂;
(2)链条断裂;
本题解析:试题答案(1)保险片、销本身断裂;
(2)链条断裂;
(3)振打瓷轴断;
(4)振打锤卡涩,保险片断裂。
18、问答题 计算题:已知某除尘器阳极板高度为12m,单电场宽度为4m,试计算该除尘器电场截面积是多少?
点击查看答案
本题答案:因为电场截面积为电场有效高度与电场宽度的乘积,所以有1
本题解析:试题答案因为电场截面积为电场有效高度与电场宽度的乘积,所以有12×4=48(m2)
19、单项选择题 可控硅关断的充分条件是()。
(A)触发脉冲消失;
(B)电源电压过零点;
(C)电流过零;
(D)闪络不规则。
点击查看答案
本题答案:C
本题解析:暂无解析
20、单项选择题 宽极距电除尘器的同极距为()。
A.250~300mm;
B.400~750mm;
C.300mm;
D.400mm。
点击查看答案
本题答案:B
本题解析:暂无解析
21、单项选择题 阴极振打万向节灵活,轴承完好,瓷轴的耐压试验合格,无缺损现象,瓷轴与轴的不同心度不大于()。
(A)5mm;
(B)10mm;
(C)3mm;
(D)1mm。
点击查看答案
本题答案:A
本题解析:暂无解析
22、问答题 计算题:一个总重G=90kN物体,采用M20的吊环螺钉(外径为20mm,根部直径为18.2mm)起吊,其材料是A2钢,许用应力[σ]=40MPa,试校该吊环螺钉能否安全吊起物体?
点击查看答案
本题答案:
试题答案
23、问答题 电极肥大的处理办法有哪些?
点击查看答案
本题答案:(1)加大振打力或调整振打周期;
(2)提高
本题解析:试题答案(1)加大振打力或调整振打周期;
(2)提高烟气温度或烟气调质;
(3)改变阴极线形式。
24、问答题 继电器触点烧焦如何处理?
点击查看答案 91exam.org
本题答案:烧焦处可用专用细油石修理并用鹿皮或绸布抹净,禁止使用砂
本题解析:试题答案烧焦处可用专用细油石修理并用鹿皮或绸布抹净,禁止使用砂纸、锉刀等粗糙器件擦拭和修理。
25、单项选择题 滑动间隙有()。
(A)轴向间隙和窜动间隙两种;
(B)顶间隙和侧间隙两种;
(C)轴向间隙和径向间隙两种;
(D)配合间隙和定心间隙两种。
点击查看答案
本题答案:C
本题解析:暂无解析
26、问答题 荷电尘粒在电场中是如何运动的?
点击查看答案
本题答案:处于收尘极和电晕极之间的荷电尘粒受四种力的作用,其运动
本题解析:试题答案处于收尘极和电晕极之间的荷电尘粒受四种力的作用,其运动服从牛顿定律。这四种力是:尘粒的重力,电场作用在荷电尘粒上的静电力,惯性力,尘粒运动时的介质阻力,重力可忽略不计。荷电尘粒在电场力作用下向收尘极运动时,电场力和介质阻力很快达到平衡,并向收尘极作等速运动,此时惯性力也可忽略。
27、问答题 阴极小框架的作用是什么?
点击查看答案
本题答案:1)固定电晕线;
2)产生电晕放电;
本题解析:试题答案1)固定电晕线;
2)产生电晕放电;
3)对电晕极进行振打清灰。
28、问答题 如何判断二次电压低是由于极板在垂直方向热膨胀受阻引起极板弯曲造成的?
点击查看答案
本题答案:可根据以下几个情况基本予以肯定:
(1)同样
本题解析:试题答案可根据以下几个情况基本予以肯定:
(1)同样电压下二次电流较大;
(2)冷态升压时正常,热态时电压下降;
(3)随着负荷的上升(即烟温上升),电压逐渐下降;
(4)打开相应的电场人孔门与绝缘子室门电压有一定上升;
(5)停炉检修时能发现灰斗挡板有被压弯的痕迹。
29、问答题 螺栓以什么为规格及其有何作用?常用普通螺栓规格代号怎样表示,各有哪些规格?
点击查看答案
本题答案:螺栓以公称直径为规格,常用于连接和传动。螺栓代号用M表
本题解析:试题答案螺栓以公称直径为规格,常用于连接和传动。螺栓代号用M表示,常用普通螺栓的规格代号有M3,M4,M5,M6,M8,M10,M12,M14,M16,M18,M20,M22,M24,M27等。
30、问答题 如何进行有害气体中毒急救?
点击查看答案
本题答案:(1)气体中毒开始时有流泪、眼痛、呛咳、咽部干燥等症状
本题解析:试题答案(1)气体中毒开始时有流泪、眼痛、呛咳、咽部干燥等症状,应引起警惕。稍重时头痛、气促、胸闷、眩晕。严重时会引起惊厥昏迷。
(2)怀疑可能存在有害气体时,应立即将人员撤离现场,转移到通风良好处休息。抢救人员进入险区必须带防毒面具。
(3)已昏迷病员应保持气道畅通,有条件时给予氧气吸入。呼吸心跳停止者,按心肺复苏法抢救,并联系医院救治。
(4)迅速查明有害气体的名称,供医院及早对症治疗。
31、问答题 20万kW以上机组为什么要采用静电除尘器?
点击查看答案
本题答案:因为采用静电除尘器有以下优点:
(1)除尘效
本题解析:试题答案因为采用静电除尘器有以下优点:
(1)除尘效率高,可达99%以上,对于粒径小达0.1μm的粉尘仍有较高的除尘效率。
(2)本体压降小,一般为160~295Pa。
(3)能耗较低,一般处理1000m3烟气量约需0.2~0.6kW²h的电量。
(4)处理烟气量大,目前单台电除尘器处理烟气量可达106m3/h。
(5)耐高温,采用普通钢材可在350℃下运行。
(6)维修简单,维护费用低。另外,采用静电除尘器符合环保要求,所以要采用静电除尘器。
32、单项选择题 电压突然从较高变成较低时,消除方法不当的是()。
(A)剪除断线;
(B)将阳极板重新定位,焊定位销;
(C)可能是加热器失灵或严重漏风引起,排除故障;
(D)更换损坏件。
点击查看答案
本题答案:D
本题解析:暂无解析
33、问答题 阳极板紧固件松动断裂的原因是什么?
点击查看答案
本题答案:原因是漏焊、脱焊、漏安装和旋紧程度不够所致。
本题解析:试题答案原因是漏焊、脱焊、漏安装和旋紧程度不够所致。
34、单项选择题 干包电缆头有()种。
(A)五;
(B)两;
(C)三;
(D)十。
点击查看答案
本题答案:B
本题解析:暂无解析
35、单项选择题 下面对小型电动机检修过程的叙述,()是错误的。
(A)小型电动机的转子可用人力抽出;
(B)轴承拆卸时,事先放些煤油渗入轴的接触面,再用铜棒或榔头敲打外环,均匀地敲打;
(C)轴头弯曲后应在压力机上进行矫直;
(D)电动机拆卸工作的第一步是拆开电动机接线。
点击查看答案
本题答案:B
本题解析:暂无解析
36、问答题 开口固定扳手、管钳的使用方法及注意事项?
点击查看答案
本题答案:开口固定扳手使用时不要用力过大,否则容易将开口损坏。使
本题解析:试题答案开口固定扳手使用时不要用力过大,否则容易将开口损坏。使用前要检查开口有无裂纹。
管钳使用时不要用力太猛,更不要用加套管的办法来帮助用力,否则易将管子咬坏。使用前应检查有无缺陷,且管钳嘴的牙齿上不要带油。
37、问答题 活扳手以什么为规格?常用活扳手的规格有哪几种?
点击查看答案
本题答案:活扳手以长度为规格。
常用活扳手的规格有14
本题解析:试题答案活扳手以长度为规格。
常用活扳手的规格有140,150,200,250,300,375,450mm等。
38、单项选择题 GD-168型袖珍数字万用表测量电阻时分()。
(A)五档;
(B)两档;
(C)四档;
(D)三档。
点击查看答案
本题答案:C
本题解析:暂无解析
39、问答题 电除尘器阴阳极线、极板经调整需达到什么样的质量标准?
点击查看答案
本题答案:阴阳极线、极板的质量标准:
(1)积灰清理干
本题解析:试题答案阴阳极线、极板的质量标准:
(1)积灰清理干净。
(2)阴极大框架:①悬挂同一阴极小框架的上下缺口必须在同一条与水平面垂直线上,直线度不大于3mm;②同一电场前后两个框架的平面度不大于5mm。
(3)阴极小框架:平面度不大于5mm,垂直度不大于3mm,极线完好,放电尖齐全,无松动和弯曲变形。
(4)阳极板无弯曲移位、悬挂垂直,各紧固螺栓齐全。
(5)同极距误差不大于5mm,异极距误差不大于±10mm。
40、问答题 电动机检修时其拆卸步骤如何?
点击查看答案
本题答案:(1)拆开电动机接线;
(2)松掉地基螺栓及
本题解析:试题答案(1)拆开电动机接线;
(2)松掉地基螺栓及接地线螺栓,并将电动机吊至检修位置且放置稳固;
(3)拆开靠背轮、两侧端盖、风罩、风扇等;
(4)抽出转子,然后放稳;
(5)拆卸其他需要拆卸的零件,如轴承等。
41、单项选择题 阴极小框架平面度不大于5mm,垂直度不大于()。
(A)5mm;
(B)1mm;
(C)2.5mm;
(D)3mm。
点击查看答案
本题答案:D
本题解析:暂无解析
42、问答题 电除尘器本体包括哪些主要部件?
点击查看答案
本题答案:电除尘器本体包括如下主要部件:进出气烟箱、阴极系统、阳
本题解析:试题答案电除尘器本体包括如下主要部件:进出气烟箱、阴极系统、阳极系统、槽板系统、储灰系统、壳体、管路系统、保温及护壳、梯子及平台以及钢支柱、卸灰平台、顶部起吊装置、顶部防雨棚等
43、单项选择题 一般电除尘器产生高压直流电采用()来实现。
(A)机械整流;
(B)电子管整流;
(C)硒整流器;
(D)硅整流器。
点击查看答案
本题答案:D
本题解析:暂无解析
44、单项选择题 宽极距电除尘器的同极距为()。
A.250~300mm;
B.400~750mm;
C.300mm;
D.400mm。
点击查看答案
本题答案:B
本题解析:暂无解析
45、单项选择题 电除尘器一次电压正常,一次电流正常,二次电压正常,二次电流增大,可能()。
(A)开路;
(B)仪表问题;
(C)短路;
(D)失电。
点击查看答案
本题答案:B
本题解析:暂无解析
46、单项选择题 常见的电缆敷设方式基本上可分为()形式。
(A)五种;
(B)十种;
(C)三种;
(D)七种。
点击查看答案
本题答案:A
本题解析:暂无解析
47、问答题 画组合体视图前为什么要进行形体分析?
点击查看答案
本题答案:因为组合体总是由若干基本几何体组合而成的,画组合体前进
本题解析:试题答案因为组合体总是由若干基本几何体组合而成的,画组合体前进行形体分析是认识、了解组合体的最有效的方法,是用形体分析法画组合体视图的必备条件和重要步骤。
48、问答题 电缆敷设方式分哪几种?
点击查看答案
本题答案:电缆敷设方式分为隧道、沟道、排管、直埋和悬挂五种。
本题解析:试题答案电缆敷设方式分为隧道、沟道、排管、直埋和悬挂五种。
49、单项选择题 常见的电缆敷设方式基本上可分为()形式。
(A)五种;
(B)十种;
(C)三种;
(D)七种。
点击查看答案
本题答案:A
本题解析:暂无解析
50、单项选择题 工作人员进入电除尘器电场前,电场内部温度必须低于()。
(A)50℃;
(B)40℃;
(C)60℃;
(D)70℃。
点击查看答案
本题答案:B
本题解析:暂无解析
51、单项选择题 电除尘器设置进、出气烟箱的作用是()。
A.改善电场中气流的均匀性;
B.减小烟气流速的阻力损失;
C.避免粉尘沉积在进、出口管道内壁上;
D.提高电除尘效率。
点击查看答案
本题答案:A
本题解析:暂无解析
52、问答题 计算题:用150³150mm(0.02mm/m)可调水平仪检查某台泵轴水平,轴颈A点垫高塞尺为0.05mm,轴颈B点垫塞尺为0.30mm,A、B两点中心距为3m,轴颈A点的扬度应垫高多少?
点击查看答案
本题答案:
试题答案
轴颈A点的扬度应垫高2.5mm。
53、单项选择题 可控硅关断的充分条件是()。
(A)触发脉冲消失;
(B)电源电压过零点;
(C)电流过零;
(D)闪络不规则。
点击查看答案
本题答案:C
本题解析:暂无解析
54、单项选择题 电除尘器设置进、出气烟箱的作用是()。
A.改善电场中气流的均匀性;
B.减小烟气流速的阻力损失;
C.避免粉尘沉积在进、出口管道内壁上;
D.提高电除尘效率。
点击查看答案
本题答案:A
本题解析:暂无解析
55、单项选择题 收尘极常见故障有()。
(A)极板移位;
(B)极板变形和阳极板紧固件松动断裂
(C)极板下沉和阳极板紧固件松动断裂;
(D)极板变形。
点击查看答案
本题答案:B
本题解析:暂无解析
56、单项选择题 现在我国使用的电力电缆电压等级有()。
(A)五种;
(B)十二种;
(C)十种;
(D)十五种。
点击查看答案
本题答案:C
本题解析:暂无解析
57、问答题 更换阴极振打轴耐磨套的方法是什么?
点击查看答案
本题答案:更换耐磨套的方法:拆除压板,用倒链将其轴吊起10mm左
本题解析:试题答案更换耐磨套的方法:拆除压板,用倒链将其轴吊起10mm左右,用内六角螺栓扳手松开耐磨套紧固螺栓,取下耐磨套、上下瓦取出键,将大轴处打磨光洁,然后依次装上新更换的耐磨套,对称紧固两边的内六角螺栓直至内瓦对正,松开倒链将轴放正,调整上下压板与耐磨套之间的间隙,符合要求后用螺母锁紧。
58、单项选择题 下面使用工具的方法中()不当。
(A)使用活扳手,承力点应为固定钳口;
(B)使用手锤时,为了保护手,要戴手套;
(C)锉刀不准当手锤和撬棍用;
(D)千斤顶可用来作划线工具。
点击查看答案
本题答案:B
本题解析:暂无解析
59、问答题 怎样进行电除尘器振打轴弯曲变形的测量?
点击查看答案
本题答案:单根轴弯曲度允许偏差小于0.4%。轴长大于5m时,弯曲
本题解析:试题答案单根轴弯曲度允许偏差小于0.4%。轴长大于5m时,弯曲度允许偏差小于3mm。测量方法:用一只千分表或几只千分表,装在一侧等高面上,表距力求相等,并避开振打锤,表杆垂直轴面,表面要经过检查,确认准确完好。
将表对零,先将轴旋转一周,表应回零。轴再旋转一周,千分表有一个最大读数和最小读数,最大读数与最小读数之差即是轴的跳动值。差值的一半即为轴的弯曲值。多测几个点,就能得出轴的弯曲程度。
60、单项选择题 振打传动轴中装有绝缘瓷轴的是()。
(A)阴极振打系统;
(B)阳极振打系统;
(C)槽板振打系统;
(D)以上三者。
点击查看答案
本题答案:A
本题解析:暂无解析
61、问答题 怎样检查检修电除尘器阴极极线?
点击查看答案
本题答案:用振打或钩动极线的方法检查极线是否有开焊或螺丝脱扣,对
本题解析:试题答案用振打或钩动极线的方法检查极线是否有开焊或螺丝脱扣,对锯齿线、鱼骨线、RS线、芒刺线,如变形严重就应用火焊割去,更换新线,鱼骨线如有掉针应补上后用电焊点焊,每个阴极小框架上的极线应保持平直,松紧程度适宜且在同一平面内。
62、单项选择题 松开锁气器前后端盖螺栓,将尾部端盖拆卸,用塞尺检查转子叶片与外壳的间隙,如大于(),则应更换转子。
(A)10mm;
(B)8mm;
(C)3mm;
(D)5mm。
点击查看答案
本题答案:D
本题解析:暂无解析
63、单项选择题 单块阳极板的悬挂方式有()。
A.单点偏心悬挂;
B.两点紧固连接;
C.单点偏心悬挂和两点紧固连接;
D.焊接和两点紧固连接。
点击查看答案
本题答案:C
本题解析:暂无解析
64、问答题 什么是机械式密封?
点击查看答案
本题答案:靠两个经过精密加工的断面(动环和静环)沿轴向紧密接触,
本题解析:试题答案靠两个经过精密加工的断面(动环和静环)沿轴向紧密接触,来达到密封目的的一种密封结构。
65、问答题
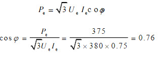
计算题:已知某三相电动机,其Pe=375W,安在线电压Ue=380V的三相对称电源上,额定均等时测得其电流Ie为0.75A,求该电动机的额定功率因数cos
?
点击查看答案
本题答案:
试题答案
66、单项选择题 命令DIRA:*.*/W的功能是()。
(A)宽行显示A盘当前目录的所有文件;
(B)宽行显示A盘所有目录的所有文件;
(C)宽行显示A盘的所有目录;
(D)显示A盘中的文件名,每满一屏后停顿一下。
点击查看答案
本题答案:A
本题解析:暂无解析
67、名词解释 单眼
点击查看答案
本题答案:结构简单,在一角膜下面有许多视网膜细胞,周围有色素细胞
本题解析:试题答案结构简单,在一角膜下面有许多视网膜细胞,周围有色素细胞包围。功能:只能感光,不能成象
68、单项选择题 用压铅丝的方法检查间隙,一般是用来测量()部间隙。
(A)顶;
(B)底;
(C)侧;
(D)根。
点击查看答案
本题答案:A
本题解析:暂无解析
69、单项选择题 反电晕造成的根本原因是()。
(A)粉尘比电阻太小;
(B)粉尘比电阻过高;
(C)粉尘浓度大;
(D)粉尘浓度小。
点击查看答案
本题答案:B
本题解析:暂无解析
70、单项选择题 命令DIRA:* .*/W的功能是()。
(A)宽行显示A盘当前目录的所有文件;
(B)宽行显示A盘所有目录的所有文件;
(C)宽行显示A盘的所有目录;
(D)显示A盘中的文件名,每满一屏后停顿一下。
点击查看答案
本题答案:A
本题解析:暂无解析
71、问答题 起重工作包括哪些基本操作方法?
点击查看答案
本题答案:撬、拨、转、捆、吊、顶与落、滑与滚。
本题解析:试题答案撬、拨、转、捆、吊、顶与落、滑与滚。
72、单项选择题 零件图的读图顺序一般为()。
(A)先看主要部分,后看次要部分;
(B)先看容易确定的,后看难于确定的;
(C)先看整体形状,后看细节形状;
(D)先看主要部分,后看次要部分;先看容易确定的,后看难于确定的;先看整体形状,后看细节形状。
点击查看答案
本题答案:D
本题解析:暂无解析
73、问答题 计算题:试计算一块长l=8m,宽b=1.5m,厚度δ为20mm的钢板的质量m?(钢的密度ρ=7.85t/m3)
点击查看答案
本题答案:
试题答案
74、问答题 变压器检修年限如何确定?
点击查看答案
本题答案:(1)220kV以上,4年检修一次;
(2)
本题解析:试题答案(1)220kV以上,4年检修一次;
(2)动作5000次应检修一次。
75、单项选择题 电除尘器一次电压正常,一次电流正常,二次电压正常,二次电流增大,可能()。
(A)开路;
(B)仪表问题;
(C)短路;
(D)失电。
点击查看答案
本题答案:B
本题解析:暂无解析
76、单项选择题 阴极振打系统的叉式轴承固定在()上。
(A)立柱;
(B)阴极大框架;
(C)阴极小框架;
(D)大梁顶部。
点击查看答案
本题答案:B
本题解析:暂无解析
77、单项选择题 有一段均匀导线,其电阻为4Ω,如果把它均匀地拉长为原来的4倍,则电阻值变为()。
(A)16Ω;
(B)1Ω;
(C)64Ω;
(D)4Ω。
点击查看答案
本题答案:C
本题解析:暂无解析
78、单项选择题 填写检修技术记录的目的是()。
A、表明工作始末;
B、作为验收的依据;
C、作为班组台帐的一部分;
D、与检修前的设备比较,并为下次检修提供依据。
点击查看答案
本题答案:D
本题解析:暂无解析
79、问答题 划线操作应注意什么?
点击查看答案
本题答案:应注意:
(1)工件支持要稳定,以防滑倒或移
本题解析:试题答案应注意:
(1)工件支持要稳定,以防滑倒或移动;
(2)在一次支承中,应把需要划出的平行线划全,以免再次支承补划,造成误差;
(3)应正确使用划针、划线盘及直角尺等划线工具,以免产生误差。
80、问答题 为什么照明或动力线路中要有熔断器?
点击查看答案
本题答案:熔断器是由电阻率较大而熔点较低的铝锑或铅锡合金制成的,
本题解析:试题答案熔断器是由电阻率较大而熔点较低的铝锑或铅锡合金制成的,熔断器有各种规格,每种规格都规定有额定电流。当发生过载或短路而使电路中的电流超过额定值后,串联在电路中的熔断器断开,切断电源与负载的通路,起到保险作用,所以熔断器必须按规格使用,不能以粗代细,更不能用铁丝和铜丝代替,否则会造成重大事故。
81、单项选择题 电压突然从较高变成较低时,消除方法不当的是()。
(A)剪除断线;
(B)将阳极板重新定位,焊定位销;
(C)可能是加热器失灵或严重漏风引起,排除故障;
(D)更换损坏件。
点击查看答案
本题答案:D
本题解析:暂无解析
82、单项选择题 检查轴承珠架磨损不得超过珠架厚度的()。
(A)1/3;
(B)2/3;
(C)1/2;
(D)1/4。
点击查看答案
本题答案:A
本题解析:暂无解析
83、单项选择题 高压控制柜内温度不得超过(),否则打开通风机冷却。
(A)30℃;
(B)20℃
(C)50℃;
(D)40℃。
点击查看答案
本题答案:D
本题解析:暂无解析
84、问答题 一张完整的零件图应包括哪些内容?
点击查看答案
本题答案:一张完整的零件图应包括一组视图,各种尺寸,技术要求(或
本题解析:试题答案一张完整的零件图应包括一组视图,各种尺寸,技术要求(或技术条件),标题栏。
85、问答题 钳工工艺包括哪些内容?
点击查看答案
本题答案:包括零件测量(量具)、划线、錾削、锯割、钻孔、锪孔、铰
本题解析:试题答案包括零件测量(量具)、划线、錾削、锯割、钻孔、锪孔、铰孔、攻丝与套丝、铆接、刮削、锡焊、轴承合金浇铸以及矫直与弯曲、镀锡、钣金下料(薄板)和简单热处理等。
86、问答题 试述电杆上或高处触电急救的方法和步骤。
点击查看答案
本题答案:当发现电杆上的工作人员突然触电时,杆下人员必须立即进行
本题解析:试题答案当发现电杆上的工作人员突然触电时,杆下人员 必须立即进行抢救。首先是使伤员很快脱离电源和高压,将触电者降到安全的地面再进行救护。
具体方法和步骤如下:①脱离电源;②做好营救的准备工作;③选好营救位置;④确定伤员病情;⑤对症急救;⑥下放伤员。
87、单项选择题 填写检修技术记录的目的是()。
A、表明工作始末;
B、作为验收的依据;
C、作为班组台帐的一部分;
D、与检修前的设备比较,并为下次检修提供依据。
点击查看答案
本题答案:D
本题解析:暂无解析
88、单项选择题 强酸或碱灼伤应立即用大量清水彻底冲洗,冲洗时间一般不少于()min。
(A)5;
(B)20;
(C)15;
(D)10。
点击查看答案
本题答案:D
本题解析:暂无解析
89、单项选择题 离心式水膜除尘器利用()。
A.离心分离原理;
B.水冲洗原理;
C.水膜原理;
D.离心分离原理,同时还利用水的冲洗、湿润和吸附作用来分离飞灰。
点击查看答案
本题答案:D
本题解析:暂无解析
90、问答题 使用安全带的注意事项有哪些?
点击查看答案
本题答案:使用时必须做外观检查。如有破损、变质等情况禁止使用。<
本题解析:试题答案使用时必须做外观检查。如有破损、变质等情况禁止使用。
安全带应高挂低用或平行拴挂。切忌低挂高用。安全带不宜接触120℃以上的高温、明火和酸类物质,以及有锐角的坚硬物质和化学药品。
91、问答题 电气设备着火应如何处理?
点击查看答案
本题答案:应立即将设备的有关电源切断,然后进行救火。对带电设备以
本题解析:试题答案应立即将设备的有关电源切断,然后进行救火。对带电设备以及电动机、发电机等,使用干式灭火器、CO2灭火器或1211灭火器。对油开关、变压器(已隔绝电源),可使用干式灭火器,不得已可用干砂灭火,不能扑灭时可用泡沫灭火器灭火,地面上绝缘油着火时应用干砂灭火。
92、问答题
计算题:将下列压力单位换算成Pa?
(1)125kgf/cm2;
(2)750mmH2O;
(3)8000mmHg;
(4)0.9807MPa。
点击查看答案
本题答案:
试题答案
93、问答题 怎样正确使用手锤装配轴承?
点击查看答案
本题答案:使用手锤敲打装配轴承时,应有附加工件,不能用手锤直接锤
本题解析:试题答案使用手锤敲打装配轴承时,应有附加工件,不能用手锤直接锤击轴承。轴承与轴配合时,力作用在内环上;轴承与孔配合时,力要作用在外环上。敲打时应四周均匀用力,渐渐打入。
94、单项选择题 放电电极附近的气体电离产生大量的()。
A.正离子和电子;
B.正离子和负离子;
C.正电荷和负电荷;
D.中子和电子。
点击查看答案
本题答案:A
本题解析:暂无解析
95、单项选择题 为了使电除尘器安全、经济、高效运行,要求电晕线()。
A.不断线,放电性能好,强度高;
B.断线少,伏安特性好;
C.强度高,极易放电,起晕电压高;
D.对烟气条件变化的适应性强。
点击查看答案
本题答案:A
本题解析:暂无解析
96、问答题 振打装置保险片、销的作用是什么?有哪些一般要求?
点击查看答案
本题答案:振打装置保险片、销的作用是保障振打机构的安全,一旦保险
本题解析:试题答案振打装置保险片、销的作用是保障振打机构的安全,一旦保险片、销断裂,电动机、减速机将空载运行。
要求保险片、销的破坏扭矩低于减速机的输出轴允许的最大扭矩,一旦出现故障,保险片、销首先被破坏。
97、填空题 晶体管的功率为()
点击查看答案
本题答案:50w
本题解析:试题答案50w
98、问答题 怎样起锯?
点击查看答案
本题答案:起锯的方法有远起锯和近起锯两种。起锯时左手拇指靠住锯条
本题解析:试题答案起锯的方法有远起锯和近起锯两种。起锯时左手拇指靠住锯条,起锯角度约为15°,要求最少可有3个锯齿接触工件。起锯操作要求:行程短,压力小,速度慢,起锯角度正确。
99、单项选择题 DL-10型电流继电器的返回系数偏低,可()。
(A)调整继电器左上方限制螺杆,使舌片远离磁极;
(B)调整继电器左上方限制螺杆,使舌头靠近磁极;
(C)变更舌片两端弯曲程度,减小舌 片与磁极距离;
(D)变更舌片两端弯曲程度,增大舌片与磁极距离。
点击查看答案
本题答案:B
本题解析:暂无解析
100、单项选择题 一个完整的锉销动作开始时,即开始锉时,身体向前倾斜(),左肘弯曲,右肘稍向后,但不可太大。
(A)15°左右;
(B)18°左右;
(C)30°左右;
(D)10°左右。
点击查看答案
本题答案:D
本题解析:暂无解析
题库试看结束后
微信扫下方二维码即可打包下载完整版《★除灰、除渣、电除尘考试》题库
手机用户可保存上方二维码到手机中,在微信扫一扫中右上角选择“从相册选取二维码”即可。
题库试看结束后微信扫下方二维码即可打包下载完整版《除灰、除渣、电除尘考试:电除尘设备检修(初级工)》题库,分栏、分答案解析排版、小字体方便打印背记!经广大会员朋友实战检验,此方法考试通过率大大提高!绝对是您考试过关的不二利器!
手机用户可保存上方二维码到手机中,在微信扫一扫中右上角选择“从相册选取二维码”即可。
微信搜索关注"91考试网"公众号,领30元,获取公务员事业编教师考试资料40G