时间:2017-10-03 01:58:45


1、单项选择题 下列关于定量数据的图形表示方法,错误的是()。
A.直方图横坐标代表变量分组,纵坐标代表各变量值出现的频数
B.折线图利用线段的升降来说明数据方向变动
C.散点图可以用来反映两个变量之间的关系
D.定量数据的直方图与定性数据的条形图实际上是相同的上是相同的
2、多项选择题 按照所采用的计量精度,数据类型包括()。
A.分类数据
B.实验数据
C.顺序数据
D.二手数据
E.数值数据
3、判断题 第二手数据可以通过抽样调查获得。()
4、多项选择题 普查的特点包括()
A.是一种全面调查
B.是一次性专门调查
C.工作量较大
D.所需时间较长
E.一般不宜经常举行
5、单项选择题 在其他条件不变的情况下,总体数据的方差越大,估计时所需的样本量()。
A.越大
B.越小
C.可能大也可能小
D.不变
6、多项选择题 编制指数时,()。
A.拉氏指数与派氏指数的权数固定在不同时期
B.拉氏指数的权数固定在基期
C.拉氏指数的权数固定在报告期
D.派氏指数的权数固定在基期
E.派氏指数的权数固定在报告期
7、判断题 简单算术平均数是加权算术平均数的一个特例,是权数相等条件下的加权算术平均数。()
8、单项选择题 如果一个数据的标准分数是-3,表明该数据()。
A.比平均数高出3个标准差
B.比平均数低3个标准差
C.等于3倍的平均数
D.等于3倍的标准差
9、单项选择题 累计增长量与其相应的各个逐期增长量的关系表现为()。
A.累计增长量等于相应的各个逐期增长量之积
B.累计增长量等于相应的各个逐期增长量之和
C.累计增长量等于相应的各个逐期增长量之差
D.累计增长量大于相应的各个逐期增长量之和
10、多项选择题 定量数据的图形表示方法一般有()
A.直方图
B.折线图
C.散点图
D.茎叶图
E.箱线图
11、判断题 A某家公司进行审计,该公司年度内的所有发票是66400张,审计人员从中随机抽查了100张发票进行审查,发现有2张发票有差错。则总体是100张发票,样本是2张发票。()
12、多项选择题 在编制综合指数时,首先必须()
A.计算个体指数
B.确定指数化因素
C.固定同度量因素
D.选择同度量因素所属的时期
E.选择代表商品
13、单项选择题 用综合指数计算总指数的主要问题是()
A.选择同度量因素
B.同度量因素时期的确定
C.同度量因素选择和时期的确定
D.个体指数和权数的选择
14、单项选择题 其他条件相同时,要使样本均值的标准误差减少1/4,样本量必须增加()。
A.1/4
B.4倍
C.7/9
D.3倍
15、单项选择题 当调查的任务只要求掌握事物的基本状况与发展趋势,而不要求掌握全面的准确资料,下列调查中比较适宜的是()
A.全面调查
B.典型调查
C.抽样调查
D.重点调查
16、多项选择题 某产品的生产总成本2007年为20万元,比2006年多支出0.4万元,单位成本2007年比2006年降低2%,则()。
A.生产总成本指数为102%
B.单位成本指数为2%
C.产品产量指数为104%
D.单位成本指数为98%
E.产品产量指数为96%
17、单项选择题 设q为销售量,p为价格,当∑q0p0=120万元,∑q1p1=165万元,∑q1p0=135万元,∑q0p1=140万元时,则派氏物量指数为()。
A.112.5%
B.116.7%
C.117.9%
D.122.2%
18、多项选择题 下列指数中属于数量指数的是()
A.产品销售量指数
B.产品成本指数
C.农产品产量指数
D.零售物价指数
E.职工人数指数
19、单项选择题 变量值与其平均数的离差除以标准差后的值称为()。
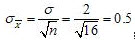
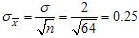
A.标准分数
B.离散系数
C.方差
D.标准差
20、单项选择题 已知某地粮食产量的环比发展速度2006年为105%,2007年为103.5%,2009年为104%,又知以2005年为基期的2009年的定基发展速度为116.4%,则2008年的环比发展速度为()。
A.105.2%
B.103%
C.102.4%
D.109.2%
21、单项选择题 下列变量是定量变量的是()
A.天气形势
B.籍贯
C.职业
D.天气温度
22、单项选择题 下列说法错误的是()
A.极差容易受数据中极端值的影响,不能准确地反映数据的分散程度
B.标准差的大小会受到数据本身数值大小的影响
C.一组数据的离散系数除以均值即为标准差
D.标准差相同的两组数据的差异程度可能不同
23、多项选择题 对某商店某时期商品销售额变动情况进行分析,其指数体系包括()
A.销售量指数
B.销售价格指数
C.总平均价格指数
D.销售额指数
E.个体指数
24、单项选择题 某一地区所估计的营养过剩人数达到10%,然而有人认为实际上比这个比例还要高,要检验该说法是否正确,则假设检验的形式为()。
A.H0:π≤0.1,H1:π>0.1
B.H0:π=0.1,H1:π≠0.1
C.H0:π≥0.1,H1:π<0.1
D.H0:π<0.1,H1:π≥0.1
25、单项选择题 一部贺岁片收视率进行调查,随机抽取100人,其中有20人没有看过该部贺岁片,则看过该部贺岁片人数比率的点估计值为()。
A.20%
B.20
C.80
D.80%
26、判断题 季节比率=同季平均数/总的季度平均数。()
27、单项选择题 定基增长速度与环比增长速度的关系是()。
A.定基增长速度是环比增长速度之和
B.定基增长速度是环比增长速度的连乘积
C.各环比增长速度加1后的连乘积减1
D.各环比增长速度减1后的连乘积减1
28、判断题 一个包含长期趋势的时间序列在进行季节变动分析时应先消除长期趋势的影响。()
29、多项选择题 累积增长量与逐期增长量的关系有()
A.前者基期不变,后者基期逐期在变动
B.二者存在关系式:逐期增长量之和=累积增长量
C.相邻的两个逐期增长量之差等于相应的累积增长量
D.根据这两个增长量都可以计算平均每期增长量
E.这两个指标都是相对指标
30、单项选择题 乳癌改良根治术中损伤了胸长神经,患侧肢体会出现()。
A.前锯肌瘫痪,翼状肩胛
B.上臂后内侧皮肤麻木
C.胸大肌外侧萎缩
D.前臂内旋、外展无力
E.胸小肌萎缩
31、判断题 在任何相关条件下,都可以用相关系数说明变量之间相关的密切程度。()
32、判断题 产品产量随生产用固定资产价值的减少而减少,说明两个变量之间存在正相关关系。()
33、单项选择题 在时间序列加法模型中()。
A.假定T、S、C、I甲种变动因素相互独立
B.假定T、S、C、I甲种变动因素相互影响
C.假定T、S、C三种变动因素相互独立
D.假定T、S、C三种变动因素相互影响
34、判断题
以99.73%的置信水平推断总体参数的置信区间为
。()
35、判断题 假设检验依据的基本原理是小概率原理。()
36、单项选择题 下列图示方法中,最适于用来研究总体中各组成部分所占比重的是()。
A.条形图
B.饼图
C.折线图
D.散点图
37、判断题 抽样调查和重点调查的主要区别是选取调查单位的方式不同。()
38、单项选择题 一组数据的离散系数为0.6,平均数为10,则方差为()。
A.0.4
B.4
C.6
D.36
39、多项选择题 假定甲、乙、丙三种商品的零售物价指数为115.4%,则说明()
A.甲商品零售价格上涨了15.4%
B.甲商品零售价格上涨可能超过15.4%
C.甲商品零售价格上涨可能低于15.4%
D.总体上看,零售物价上涨了15.4%
E.总体上看,零售物价上涨了115.4%
40、判断题 设样本是来自正态总体N(μ,σ2),其中σ2未知,那么检验假设H0:μ=μ0时,用的是Z检验。()
41、判断题 推断统计是研究数据搜集、处理和描述的统计学方法。()
42、单项选择题 在物价上涨后,同样多的人民币少购买商品3%,则物价指数为()。
A.97%
B.103.09%
C.3 %
D.109.13%
43、判断题 & nbsp;定基发展速度反映了现象在一定时期内发展的总速度,环比发展速度反映了现象比前一期的增长程度。()
44、多项选择题 从变量之间相互关系的表现形式看,相关关系可分为()。
A.正相关
B.负相关
C.直线相关
D.非线性线相关
E.不相关和完全相关
45、判断题 计算样本容量,如果总体比例的值不知道可以用样本比例来代替,或者取总体比例值为0.5,使得π(1-π)达到最大。()
46、单项选择题   ;某商品销售额本年同上年相比没有变化,而商品价格平均上涨了7%,则商品销售量平均()
A.下降了6.5%
B.上涨了5%
C.下降了7%
D.上涨了7%
47、判断题 平均增长速度不是根据各期环比增长速度直接求得的,而是根据平均发展速度计算的,并且平均增长速度的值总是小于平均发展速度的值。()
48、判断题 从指数化指标的性质来看,单位成本指数是数量指标指数。()
49、判断题
小样本情况下,总体服从正态分布,总体方差已知,总体均值在置信水平(1-α)下的置信区间为
()
50、判断题 常用的点估计是用样本均值估计总体均值,用样本比例估计总体比例,用样本方差估计总体方差。()
51、单项选择题 有一批灯泡共1000箱,每箱200个,现随机抽取20箱并检查这些箱中的全部灯泡,这种抽样方式属于()。
A.纯随机抽样
B.类型抽样
C.整群抽样
D.等距抽样
52、单项选择题 从某个城市中随机抽取15个家庭组成一个随机样本,得到样本均值为84.50元,标准差为14.50元。在α=0.05的显著性水平下,检验假设H0:μ=90,H1:μ≠90,得到的结论是()。
A.拒绝H0
B.接受H0
C.可以拒绝也可以接受H0
D.可能拒绝也可能接受H0
53、单项选择题 饼图是利用圆形及圆内扇形的()来表示数值大小
A.面积
B.弧线长度
C.角度
D.颜色
54、单项选择题 移动平均法是通过计算逐项移动的序时平均数,来形成派生数列,从而达到()对数列的影响。
A.消除偶然因素引起的不规则变动
B.消除非偶然因素引起的不规则变动
C.消除绝对数变动
D.消除计算误差
55、单项选择题 为了掌握全国乳制品的质量,选出蒙牛、伊利、光明和三元等几个大型乳制品企业进行调查,这种调查方法属于()。
A.普查
B.典型调查
C.重点调查
D.统计报表
56、单项选择题 在抽样估计中,随着样本容量的增大,样本统计量接近总体参数的概率就越大,这一性质称为()。
A.无偏性
B.有效性
C.及时性
D.一致性
57、多项选择题 定性数据的图形表示方法一般有()
A.饼图
B.直方图
C.条形图
D.环形图
E.柱形图
58、多项选择题 相关系数r的数值()。
A.可为正值
B.可为负值
C.可大于1
D.可等于-1
E.可等于1
59、单项选择题 下列调查中,属于全面调查的是 ()。
A.普查
B.重点调查
C.典型调查
D.抽样调查
60、判断题 一种回归直线只能作一种推算,不能反过来进行另一种推算。()
61、单项选择题 如果相关系数r为正,说明()。
A.随着一个变量增加,另一个变量减少
B.随着一个变量减少,另一个变量也减少
C.y一般小于x
D.x一般小于y
62、判断题 当正态总体方差已知时,在小样本情况下可以用正态分布对总体均值进行估计。()
63、单项选择题 企业要提出一项改革措施,为估计职工中赞成该项改革的人数的比例,要求允许误差不超过0.03,置信水平为90%,应抽取的样本量为()。
A.552
B.652
C.757
D.852
64、判断题 统计报表可以摸清一个国家的国情、国力,特别是可以了解与掌握人力、财力、物资资源状况及其利用状况,为国家制定长远规划与政策提供可靠的依据。()
65、单项选择题 下列四个相关系数中反映变量之间关系最密切的数值是()。
A.0.6
B.0.91
C.-0.8
D.-0.95
66、判断题 质量指标指数是固定质量指标因素,只观察数量指标因素的综合变动。()
67、判断题 在趋势直线方程Tt=a+bt中,b的数值应等于相邻两个趋势值之差。()
68、多项选择题 下列有关相关系数数值大小的叙述中正确的有()。
A.与回归系数没有关系
B.表明两个变量的相关关系程度的高低
C.和估计标准误差数值成反比
D.和估计标准误差数值成正比
E.和估计标准误差没关系
69、单项选择题 从一般意义上讲,抽样分布的含义是指()。
A.一个样本中各观察值的分布
B.总体中各元素的观察值所形成的分布
C.抽样推断中假设的分布
D.样本统计量的概率分布
70、判断题
大样本情况下,总体服从正态分布,总体方差未知,总体均值在置信水平(1-α)下的置信区间为
。()
71、多项选择题 区间估计中总体指标所在范围()。
A.是一个可能范围
B.是绝对可靠的范围
C.不是绝对可靠的范围
D.是有一定把握程度的范围
E.是毫无把握的范围
72、单项选择题 在某城市中随机抽取9个家庭.调查得到每个家庭的人均月收入数据如下(单位:元):2080;1750;2080;2080;1850;1960;3000;2250;2630则众数为()。
A.3
B.2080
C.2158
D.2187
73、判断题 加法模式是假定四种变动因素存在着某种相互影响关系,互不独立;乘法模式是假定影响时间数列的四种变动因素是相互独立的。()
74、单项选择题 累计增长量是指()。
A.基期水平
B.报告期水平
C.报告期水平与前一时期水平之差
D.报告期水平与某一固定时期水平之差
75、单项选择题 以下为样本统计量的是()
A.总体平均数
B.总体方差
C.总体比例
D.样本平均数
76、判断题 数量指标指数和质量指标指数的划分具有相对性。()
77、判断题 平均数反映了总体分布的离散趋势。()
78、判断题 如果两个数列的极差相同,那么,它们的离散程度就相同。()
79、单项选择题
某企业三种产品的单位成本和产量资料如下表,若根据上表资料编制三种产品的总成本指数、成本总指数、产量总指数,并分析由于单位产品成本和产量变动对产品总成本的影响,请回答下述问题:

A.由于单位产品成本的变动,使总成本增长5.88%,增加2117元
B.由于单位产品成本的变动,使总成本增长6.65%,增加2400元
C.由于单位产品成本的变动,使总成本下降5.56%,减少2000元
D.由于单位产品成本的变动,使总成本下降3.43%,减少1235元
80、判断题
在不重置抽样时,样本均值的标准差为
()
81、单项选择题 到商场购物停车变得越来越困难,管理人员希望掌握顾客找到停车位的平均时间。为此某一个管理人员跟踪了50名顾客并记录下他们找到车位的时间。这里管理人员感兴趣的样本是()。
A.管理人员跟踪过的50名顾客
B.上午在商场停车的顾客
C.在商场停车的所有顾客
D.到商场购物的所有顾客
82、判断题 典型调查是根据调查的目的与要求,在对被调查对象进行全面分析的基础上,有意识地选择若干具有典型意义的或有代表性的单位进行的调查。()
83、单项选择题 网球中心销售额各季度的季节比率分别为80%、115%、135%和70%。则该网球中心一季度销售额()。
A.比全期水平高20%
B.比全期水平低20%
C.比全期平均水平高20%
D.比全期平均水平低20%
84、多项选择题
大样本情况下,总体均值检验的统计量可能为()。

A.A
B.B
C.C
D.D
E.E
85、单项选择题 用Z检验法,作双边统计假设检验时,如果是拒绝了H0,其判定的依据必是()。
A.%7cZ%7c≤Zα/2
B.%7cZ%7c≥Zα/2
C.%7cZ%7c≤Zα
D.%7cZ%7c≥Zα
86、多项选择题 下列说法中正确的有()
A.时间序列数据不一定按数据的时间先后顺序排列
B.发展速度和增长速度都是动态相对指标
C.长期趋势分析方法中的回归方程法中的参数可以用最小二乘法进行估计
D.指数平滑法中的平滑系数可以大于1但不能小于0
E.季节变动分析方法中的回归方程法消除法消除了长期趋势的影响
87、单项选择题 按重置抽样方式从总体随机抽取样本量为n的样本。假设总体标准差σ=2,如果样本量n=16增加到n=64,则样本均值的标准误差()。
A.减少4倍
B.增加4倍
C.减少一半
D.增加一半
88、多项选择题 下列选项中,属于概率抽样的方法的是()。
A.简单随机抽样
B.分层抽样
C.方便抽样
D.整群抽样
E.滚雪球抽样
89、单项选择题 调查大庆、胜利等几个主要油田来了解我国石油生产的基本情况,这种调查方式属于()。
A.普查
B.典型调查
C.重点调查
D.抽样调查
90、单项选择题 顺序数据()
A.是一种定量数据
B.可以进行排序,表明事物之间的大小、优劣关系等
C.可以反映事物在数量上的差异
D.其计算功能与数值型数据相同
91、单项选择题 为了调查某校学生的每月的生活费支出,从全校抽取6个班级的学生进行调查,这种调查方法是()。
A.简单随机抽样
B.系统抽样
C.分层抽样
D.整群抽样
92、单项选择题 一项民意调查的目的是想确定年轻人愿意与其父母讨论的话题。调查结果表明:60%的年轻人愿意与其父母讨论家庭财务状况,35%的年轻人愿意与其父母讨论有关教育的话题,10%的年轻人愿意与其父母讨论爱情问题。该调查所收集的数据是()。
A.观测数据
B.顺序数据
C.分类数据
D.实验数据
93、判断题 如果一个估计量是一致估计量,那么样本量越大,它就越可靠。()
94、单项选择题 当时间序列的环比发展速度大体相同时,适宜拟合()。
A.抛物线
B.指数曲线
C.直线
D.A数曲线
95、单项选择题
设p表示商品的价格,q表示商品的销售量,
说明了()。
A.在基期销售量条件下,价格综合变动的程度
B.在报告期销售量条件下,价格综合变动的程度
C.在基期价格水平下,销售量综合变动的程度
D.在报告期价格水平下,销售量综合变动的程度
96、多项选择题 下列数据属于观测数据的有()
A.某十字路口一天内通过的机动车数量
B.在实验条件下,细胞的分裂速度
C.北京市2012年城镇居民可支配收入
D.在温度和湿度一定的情况下,某一标号水泥的凝固时间
E.2012年我国财政收入数据
97、单项选择题 设一个总体共有6个元素,从中随机抽取一个容量为2的样本,在重置抽样时,共有()个不同的样本。
A.36
B.12
C.6
D.1
98、单项选择题 某地区出生人数呈下降趋势,2006年与2005年相比降低3%,2007年又比2006年降低5%,2008年是2007年的98%,则2008年与2005年相比,下降幅度为()。
A.10.3%
B.90.3%
C.9.7%
D.89.7%
99、单项选择题 居民消费价格指数反映了()。
A.一定时期内商品零售价格的变动趋势和程度
B.一定时期内居民家庭所购买生活消费品价格水平变动的情况
C.一定时期内居民家庭所购买服务价格水平变动的情况
D.一定时期内居民家庭所购买的生活消费品和服务价格水平变动的情况
100、单项选择题 有偿合同是指因为享有一定权利而必须偿付()代价的合同。
A.绝对
B.相应
C.估计
D.市场