手机用户可
保存上方二维码到手机中,在
微信扫一扫中右上角选择“从
相册选取二维码”即可。
1、问答题 计算题:某大工业电力用户,按容量计收基本电费,有3台受电变压器,T1、T2、T3容量分别是S1=400kV•A,S2=560kV•A,S3=200kV•A。其中,T1、T2在其一次侧装有连锁装置,互为备用。某月,其受电方式为T1、T3运行,T2退出。若基本电价为16元/(月•kV•A),求该客户本月基本电费。
点击查看答案
本题答案:根据《供电营业规则》第八十五条规定:"在受电
本题解析:试题答案根据《供电营业规则》第八十五条规定:"在受电装置一次侧有连锁装置互为备用的变压器,按可能同时使用的变压器容量之和的最大值计收基本电费",则
基本电费=(560+200)×16=12160(元)
本月基本电费为12160元。
2、单项选择题 对售电量、售电收入、售电平均单价完成情况的分析称()。
A、经济分析
B、电费管理分析
C、营销分析
D、计量分析
点击查看答案
本题答案:C
本题解析:暂无解析
3、问答题 试述长期边际成本电价的含义。
点击查看答案
本题答案:世界各国目前制定电价的基本方法,归纳起来主要有两种,即
本题解析:试题答案世界各国目前制定电价的基本方法,归纳起来主要有两种,即会计成本定价法和边际成本定价法。这两种不同的定价方法实质上是反映不同的成本核算方法。我国现行电价采用的是会计成本定价法。改革开放以来,我国由世界银行贷款的电力建设项目,一般都推荐或要求按边际成本定价。
边际成本是指由于产量微增所引起的生产成本的微增。"长期"就是经常测算,对未预见到的情况进行调整。"边际",以严格的数学意义可解释为无穷小的变化,而通常"微增"可解释为成本或负荷小量的、非连续的变化。所以,"微增"和"边际"两词,可以互换地表示非连续的变化。简单地讲,在一定期限(一般为10年),根据微增负荷发生的微增成本编制的成本计划,叫作长期边际成本,以这个成本为基础确定的电价,叫作长期边际成本电价。
边际成本定价法是根据新增用户或增加单位千瓦用电而增加的成本进行核算,按各类用户的供电电压、用电时间,严格计算增加单位千瓦用电而引起的系统成本增加值,计算系统长期边际容量成本和边际电量成本,并结合用户的负荷特性来设计电价结构及其比价,制定电价表。
边际成本定价理论被认为能反映资源的真实成本价格,能较好地对成本进行合理分摊,有利于资源优化配置。
4、单项选择题 根据制作弹簧的材料类型,一般将弹簧分为()三类。
A、压缩弹簧,拉伸弹簧,蝶形弹簧
B、扭力弹簧,压缩弹簧,拉伸弹簧
C、螺旋弹簧,圈弹簧,片弹簧
D、扭力弹簧,压缩弹簧,螺旋弹簧
点击查看答案
本题答案:C
本题解析:暂无解析
5、单项选择题 电力监督检查的实施主体是()。
A、电力管理部门
B、供电企业
C、技术监察部门
D、物价部门
点击查看答案
本题答案:A
本题解析:暂无解析
6、单项选择题 蓄电池电量不足或电源线接线柱接触不良,则起动机()。
A、起动齿轮不回位
B、空转
C、不转动或运转无力
点击查看答案
本题答案:C
本题解析:暂无解析
7、问答题 简述我国电价的构成。
点击查看答案
本题答案:简述电价的构成,必须先从电价制定的基本方法和我国电价的
本题解析:试题答案简述电价的构成,必须先从电价制定的基本方法和我国电价的制定原则说起,现叙述如下。
(1)电价制定的基本方法。世界各国制定电价的基本方法主要有两种,即会计成本定价法和边际成本定价法。成本是定价的基础,两种不同的定价方法实质上是反映不同的成本核算方法。我国现行电价采用的是会计成本定价法。
(2)我国电价的制定原则。电价制定应在国家价格政策指导下,合理确定电价水平和电价结构。电价水平的确定应使投资者通过公平竞争取得合理的收益电价结构的确定应能促进电能资源优化配置,体现公平负担。具体原则为:
1)成本补偿原则
2)合理收益原则
3)市场竞争原则
4)公平负担原则
5)相对稳定原则。
(3)电价的构成。根据会计成本定价法和上述定价原则,电价构成应包括价格执行期内电力成本、税金和合理收益。
1)电力成本是指电力企业日常生产、经营过程中发生的燃料费、折旧费、水费、材料费、工资及福利费、维修费等成本以及合理的管理费用、销售费用和财务费用。
2)税金是指电力企业按国家税法应交纳,并可计入电价的税费。
3)合理收益是指电力企业正常生产、经营应获得的收益。
简言之,电价=成本+税金+合理利润。
8、判断题 阻燃型合成纤维绝缘绳是我国绝缘绳的发展方向。
点击查看答案
本题答案:对
本题解析:暂无解析
9、问答题 什么叫临时用电?办理临时用电的规定和注意事项有哪些?
点击查看答案
本题答案:对基建工地、农田水利、市政建设、抢险救灾等非永久性用电
本题解析:试题答案对基建工地、农田水利、市政建设、抢险救灾等非永久性用电,由供电企业供给临时电源的叫临时用电。
办理临时用电的规定如下:
(1)临时用电期限除供电企业准许外,一般不得超过6个月,逾期未办理延期手续或永久性正式用电手续的,供电企业应终止供电。
(2)使用临时电源的用户不得向外转供电,也不得转让给其他用户,供电企业也不受理其变更用电事宜,如需改为正式用电,应按新装用电办理。
(3)因抢险救灾需要紧急供电时,供电企业应迅速组织力量,架设临时电源供电。架设临时电源所需工程费用和应付电费,由地方人民政府有关部门负责从救灾经费中拨付。
营业部门在办理临时用电手续时,应注意以下事项:
(1)用户申请临时用电时,必须明确提出使用日期。如有特殊情况需延长用电期限者,应在期满前向供电企业提出申请,经同意后方可继续使用。
(2)临时用电应按规定的分类电价,装设计费电能表收取电费。如因紧急任务或用电时间较短,也可不装设电能表,按用电设备容量、用电时间和规定的电价计收电费
(3)在供电前,供电企业应按临时供电的有关内容与临时用电户签订临时供用电合同
10、判断题 单相电气设备选择低压三相二元件电能表计量时,可造成漏计电量。
点击查看答案
本题答案:对
本题解析:暂无解析
11、单项选择题 用户办理暂拆手续后,供电企业应在()内执行暂拆。
A、3天
B、5天
C、7天
D、10天
点击查看答案
本题答案:B
本题解析:暂无解析
12、问答题 如何办理暂停用电?
点击查看答案
本题答案:用户暂停用电须在5天前向供电企业提出申请。供电企业应按
本题解析:试题答案用户暂停用电须在5天前向供电企业提出申请。供电企业应按下列规定办理:
(1)用户在每一日历年内可申请全部(含不通过受电变压器的高压电动机)或部分用电容量暂时停止用电2次,每次不得少于15天,1年累计暂停时间不得超过6个月。季节性用电或国家另有规定的用户,累计暂停时间可以另议。
(2)按变压器容量计收基本电费的用户,暂停用电必须是整台或整组变压器停止运行。供电企业受理后,根据用户申请暂停的日期对暂停设备加封,从加封之日起,按原计费方式减收其相应容量的基本电费。
(3)暂停期满或每一日历年内累计暂停用电时间超过6个月者,不论用户是否申请恢复用电,供电企业须从期满之日起,按合同约定的容量计收基本电费。
(4)在暂停期限内,用户申请恢复暂停用电容量用电时,须在预定恢复日前5天向供电企业提出申请。暂停时间少于15天者,暂停期间基本电费照收。
(5)按最大需量计收基本电费的用户,申请暂停用电必须是全部容量(含不通过受电变压器的高压电动机)的暂停,并遵守本条(1)~(4)项的有关规定。
13、问答题 露天进行高处工作时对作业人员及安全带、工具袋和气候环境有什么要求。
点击查看答案
本题答案:(1)安全带在使用前应进行检查,并应定期(每隔6个月)
本题解析:试题答案(1)安全带在使用前应进行检查,并应定期(每隔6个月)进行静荷重试验试验荷重为2205N,试验时间为5min,试验后检查是否有变形、破裂等情况,并做好试验记录。不合格的安全带应及时处理。
(2)安全带的挂钩或绳子应挂在结实牢固的构件上,或专为挂安全带用的钢丝绳上。禁止挂在移动或不牢固的物件上。
(3)高处作业应一律使用工具袋。较大的工具应用绳拴在牢固的构件上,不准随便乱放,以防止从高空坠落发生事故。
(4)在进行高处工作时,除有关人员外,不准他人在工作地点的下面通行或逗留,工作地点下面应有围栏或装设保护装置,防止落物伤人。
如在格栅式的平台上工作,为了防止工具和器材掉落,应铺设木板。
(5)不准将工具及材料上下投掷,要用绳系牢后往下或往上吊送,以免打伤下方工作人员或击毁脚手架。
(6)上下层同时进行工作时,中间必须搭设严密牢固的防护隔板、罩棚或其他隔离设施。工作人员必须戴安全帽。
14、问答题 计算题:在R、C、L串联电路中,L=500μH,C为可变电容,变化范围在10~290pF,R=10Ω,若外加电压的频率f=1000kHz,问C为何值时电路发生谐振?
点击查看答案
本题答案:
试题答案
15、单项选择题 用户由于产品工艺改变使生产任务变化,致使原容量过大不能充分利用而提出申请减少一部分用电容量的,叫()。
A、暂停用电
B、减容
C、暂拆
D、调整
点击查看答案
本题答案:B
本题解析:暂无解析
16、问答题 如何办理暂换变压器?
点击查看答案
本题答案:用户暂换(因受电变压器故障而无相同容量变压器替代,需要
本题解析:试题答案用户暂换(因受电变压器故障而无相同容量变压器替代,需要临时更换大容量变压器)须在更换前向供电企业提出申请。供电企业应按下列规定办理:
(1)必须在原受电地点内整台地暂换受电变压器。
(2)暂换变压器的使用时间,10kV及以下的不得超过2个月,35kV及以上的不得超过3个月。逾期不办理手续的,供电企业可中止供电。
(3)暂换的变压器经检验合格后才能投入运行。
(4)对两部制电价用户须在暂换之日起,按替换后的变压器容量计收基本电费。
17、问答题 计算题:某农场由于天气干旱少雨,需要临时安装一台30kW电动机抽水抗旱,由于条件所限,未安装计费电能表。该农场与供电企业约定每天用电6h,期限90天,并预交电费5000元,60天后,拆除临时用电设备中止用电。试求供电企业应退该农场电费多少元?[电度电费单价0.20元/(kW•h)。]
点击查看答案
本题答案:(1)该农场实际应交纳电费为
30×6×90×0
本题解析:试题答案(1)该农场实际应交纳电费为
30×6×90×0.20=3240(元)
(2)应退该农场电费
5000-3240=1760(元)
供电企业应退电费1760元。
18、判断题 5kV及以上电压供电的用户,其计量用的电流互感器二次绕组的连接线,可以与保护回路共用。
点击查看答案
本题答案:错
本题解析:暂无解析
19、问答题 计算题:某大工业用户现有1000kV•A变压器1台,供电企业委托其对某普通工业用户转供电,该普通工业用户为三班制生产,某月该大工业用户最大需量表读数为800kW,普通工业用户的有功抄见电量81000kW•h,试求该大工业用户当月的基本电费为多少?[假设按最大需量计算的基本电费电价为20元/(kW•月)。]
点击查看答案
本题答案:根据《供电营业规则》第十四条规定,该普通工业用户有功电
本题解析:试题答案根据《供电营业规则》第十四条规定,该普通工业用户有功电量折合的最大需量为
81000÷540=150kW
故该大工业用户当月的基本电费为
(800-150)×20=13000(元)
该大工业用户当月的基本电费为13000元。
20、单项选择题 两根平行直导体分别有相反方向的电流通过时,它们产生的电动力使两直导体()。
A、两力抵消
B、相互吸引
C、相互排斥
D、两力相加
点击查看答案
本题答案:C
本题解析:暂无解析
21、单项选择题 电动操动机构一般用于()及以上电压等级的隔离开关。
A、10kV
B、35kV
C、110kV
D、220kV
点击查看答案
本题答案:C
本题解析:暂无解析
22、单项选择题 基尔霍夫第一定律,即节点()定律。
A、电阻
B、电压
C、电流
D、电功率
点击查看答案
本题答案:C
本题解析:暂无解析
23、单项选择题 用户办理复装接电手续并按规定交付费用后,供电企业应在()内为该用户复装接电。
A、3天
B、5天
C、7天
D、10天
点击查看答案
本题答案:B
本题解析:暂无解析
24、判断题 电压等级越高的设备,其耐雷水平也越高。
点击查看答案
本题答案:对
本题解析:暂无解析
25、单项选择题 有功电能的单位正确表示是()。
A、kW•h
B、度
C、kvar•h
D、kW•h
点击查看答案
本题答案:A
本题解析:暂无解析
26、判断题 等电位作业时完全不会有电流通过人体。
点击查看答案
本题答案:错
本题解析:暂无解析
27、判断题 电场对放在其中的任何电荷均表现为力的作用。
点击查看答案
本题答案:对
本题解析:暂无解析
28、问答题 什么是违约用电?其主要内容是什么?对查获用户擅自使用已办暂停手续的电力设备如何处理?
点击查看答案
本题答案:危害供用电安全、扰乱正常供用电秩序的行为,属于违约行为
本题解析:试题答案危害供用电安全、扰乱正常供用电秩序的行为,属于违约行为,通常称违章用电行为。供电企业对查获的违约行为应及时予以制止。
违约用电行为主要包括:
(1)擅自改变用电类别
(2)擅自超过约定的合同容量用电
(3)擅自超过计划分配的用电指标
(4)擅自使用已经在供电企业办理暂停使用手续的电力设备,或者擅自启用已经被供电企业查封的电力设备
(5)擅自迁移、更动或者擅自操作供电企业的电能计量装置、电力负荷控制装置、供电设施以及约定由供电企业调度的用户受电设备
(6)未经供电企业许可,擅自引入、供出电源或者将自备电源擅自并网。
对查获用户擅自使用已经在供电企业办理暂停使用手续的电力设备,属于违约用电行为,应停用违约使用的设备。属于两部制电价的用户,应补交擅自使用或启用封存设备容量和使用月数的基本电费,并承担2倍补交基本电费的违约使用电费其他用户应承担擅自使用或启用封存设备容量30元/(次·kW)或30元/(次·kV·A)的违约使用费。
29、问答题 计算题:国标GB6568.1-1986中规定A型屏蔽服的屏蔽率不低于40dB,故其屏蔽效率η可达99%,当在500kV系统下带电作业时,人头顶周围场强E0达480kV/m,试求身穿A型屏蔽服的穿透率θ及作业人员头部实际受到的场强Ei。
点击查看答案
本题答案:穿透率θ为:
本题解析:试题答案穿透率θ为:

30、单项选择题 在大电流的用电线路中,为解决()问题,电能表的电流线圈要经过电流互感器接入。
A、抄表
B、收费
C、统计
D、计量
点击查看答案
本题答案:D
本题解析:暂无解析
31、单项选择题 电费管理的重要任务是按照商品()的原则从用户处收回电费。
A、等价交换
B、货币化
C、价格
D、价值
点击查看答案
本题答案:A
本题解析:暂无解析
32、问答题 计算题:某市轻机厂10kV受电设备160kV•A变压器2台,按容量计收基本电费,约定抄表结算日期为每月24日。2000年7月30日,该用户永久性减容160kV•A,退运变压器一台。其7.24~7.30~8.24期间,生产计费电量分别为:有功20000kW•h、30000kW•h无功12000kvar•h、20000kvar•h。电价标准见表D-2。计算其生产电费总额[不分时计费,不含二次加价、城市附加,三峡基金、电建资金标准分别为0.015、0.02元/(kW•h)]。
点击查看答案
本题答案:求全月功率因数值cos=costg-1(WQ/WP)=
本题解析:试题答案求全月功率因数值cos=costg-1(WQ/WP)=0.84,
分两段计算电费。
(1)7.24~7.30段,功率因数标准为0.90,调整率+3%,大工业两部制电价
基本电费=320×16×6/30=1024.00(元)
电度电费=20000×0.34=6800.00(元)
功率因数调整电费=7824.00×3%=234.72(元)
(2)7.30~8.24段,功率因数值标准为0.85,调整率+0.5%,普通工业单一电价
电度电费=30000×0.464=13920.00(元)
功率因数调整电费=13920.00×0.5%=69.60(元)
电费小计=1024+6800+234.72+13920.00+69.60=22048.32(元)
电建基金=50000×0.02=1000.00(元)
三峡基金=50000×0.015=750.00(元)
生产电费总额=22048.32+1000.00+750.00=23798.32(元)
其生产电费为23798.32元。
33、问答题 计算题:当作业人员在场强E0=80kV/m的电场中工作时,测得其所穿屏蔽服内的场强为Ei=0.1kV/m,试求该屏蔽服的屏蔽率。
点击查看答案
本题答案:
试题答案
34、单项选择题 对于110kV和220kV电压等级,小型水冲洗的安全距离由()决定。
A、操作过电压
B、暂态过电压
C、工频电压
D、冲击电压
点击查看答案
本题答案:A
本题解析:暂无解析
35、单项选择题 在分闸过程中,断路器动触头到分闸位置会反弹,反弹应小于()mm,无油或卡死会造成缓冲器间隙过大。
A、8~12
B、20
C、25
D、25~30
点击查看答案
本题答案:A
本题解析:暂无解析
36、单项选择题 用户用电均应安装(),以电力、电量计收电费,不允许实行包灯费制。
A、电能计量装置
B、电流装置
C、电压装置
D、计费装置
点击查看答案
本题答案:A
本题解析:暂无解析
37、问答题 某棉纺厂因市场形势好转,生产规模扩大,原来400kV•A受电变压器不能满足生产需要,经批准从6月8日起,增投一台200kV•A变压器,其受电器总容量达到600kV•A。若约定电费结算日期为每月28日,则该客户6月份基本电费是多少[基本电价16元/(月•kV•A)]?
点击查看答案
本题答案:根据《供电营业规则》有关规定,其基本电费为
40
本题解析:试题答案根据《供电营业规则》有关规定,其基本电费为
400×16+200×16×(20/30)=8533.33(元)
6月份基本电费是8533.33元。
38、问答题 防污闪的技术措施有哪些?
点击查看答案
本题答案:(1)定期清扫
(2)提高绝缘水平
本题解析:试题答案(1)定期清扫
(2)提高绝缘水平
(3)采用防污绝缘子或复合绝缘子
(4)定期测试和更换不良绝缘子
(5)绝缘子表面涂防污涂料。
39、问答题 怎样进行间接验电?
点击查看答案
本题答案:通过设备的机械指示位置、电气指示、带电显示装置、仪表及
本题解析:试题答案通过设备的机械指示位置、电气指示、带电显示装置、仪表及各种遥测、遥信等信号的变化来判断。判断时,应有两个及以上的指示,且所有指示均已同时发生对应变化,才能确认该设备已无电;若进行遥控操作,则应同时检查隔离开关(刀闸)的状态指示。
40、判断题 常用电气设备容量低于电能表标定值20%时,造成少计电量。
点击查看答案
本题答案:错
本题解析:暂无解析
41、问答题 变压器油箱盛满油时,箱内可装126t变压器油,今需充氮运输,如果每瓶高纯氮气的体积为0.13m3,充在变压器油箱中,其体积释放为原来的125倍,问把油放净最少需要几瓶氮气?(变压器油密度为0.9g/cm3。)
点击查看答案
本题答案:
试题答案
42、问答题 委托转供电应遵守哪些规定?
点击查看答案
本题答案:委托转供电应遵守下列规定:
(1)供电企业与
本题解析:试题答案委托转供电应遵守下列规定:
(1)供电企业与委托转供户(以下简称转供户)应就转供范围、转供容量、转供期限、转供费用、转供用电指标、计量方式、电费计算、转供电设施建设、产权划分、运行维护、调度通信、违约责任等事项签订协议。
(2)转供区域内的用户(以下简称被转供户),视同供电企业的直供户,与直供户享有同样的用电权利,其一切用电事宜按直供户的规定办理。
(3)向被转供户供电的公用线路与变压器的损耗电量应由供电企业负担,不得摊入被转供户用电量中。
(4)在计算转供户用电量、最大需量及功率因数调整电费时,应扣除被转供户、公用线路与变压器消耗的有功、无功电量。
(5)委托的费用,按委托业务项目的多少,由双方协商确定。
43、判断题 进行等电位作业时人体表面电场强度一般不应超过2.4kV/cm。
点击查看答案
本题答案:错
本题解析:暂无解析
44、单项选择题 等电位作业时,屏蔽服所起的主要作用是()。
A、屏蔽电场、分流高频电流
B、屏蔽电场
C、分流静电感应电击电流
D、与带电部分隔离
点击查看答案
本题答案:A
本题解析:暂无解析
45、判断题 直击雷过电压的大小与输电线路杆塔的结构、导线的高度、导线的布置及接地电阻等因素无关。
点击查看答案
本题答案:错
本题解析:暂无解析
46、判断题 油浸式电力变压器的储油柜和套管的油位检查及油温测量必须在停电情况下进行。
点击查看答案
本题答案:错
本题解析:暂无解析
47、判断题 高压供电用户申请保安电源,供电企业可选择同一条高压线路供电的低压供电点供给该用户作保安电源。
点击查看答案
本题答案:错
本题解析:暂无解析
48、判断题 电缆金属外皮可作零线。
点击查看答案
本题答案:错
本题解析:暂无解析
49、问答题 计算题:规程规定220kV人身与带电体的最小安全距离为1.8m。已知220kV系统最大操作过电压为620kV,远方(5km以外)落雷可能传到作业点的最高雷电过电压为591kV,查得其间隙危险距离分别为1.4m和0.99m,试求安全距离的安全裕度。
点击查看答案
本题答案:由题意可见,决定带电作业距离的过电压是操作过电压,即至
本 题解析:试题答案由题意可见,决定带电作业距离的过电压是操作过电压,即至少应满足1.4m,而规程规定为1.8m,则安全裕度为

50、单项选择题 输电线路上发生相间短路故障的主要特征是()。
A、电流不变
B、电压不变
C、电流突然下降、电压突然升高
D、电流突然增大、电压突然降低
点击查看答案
本题答案:D
本题解析:暂无解析
51、问答题 什么是电力供应的长期边际成本?
点击查看答案
本题答案:电力供应的长期边际成本是指在某一年为增加额外的供电量所
本 题解析:试题答案电力供应的长期边际成本是指在某一年为增加额外的供电量所增加的额外发电、输电和配电成本。此时电力企业有可能已适当地对增加发电、输电和配电来源:91考试网容量做出相应投资。
52、单项选择题 在新的城镇化机制的作用下,我国的城镇化进程出现了一些新的发展趋势,以下说法正确的是()。
A.以大城市为主体的多元化的城镇化道路将成为我国城镇化战略的主要选择
B.都市带城市群等将成为城镇化的重要空间单元
C.在沿海一些发达的特大城市,开始出现了社会居住分化、“集聚城镇化”趋势
D.部分城市正逐步走向国际化
点击查看答案
本题答案:A
本题解析:暂无解析
53、问答题 物种形成的方式?
点击查看答案
本题答案:分为3类:
(1)异域性物种形成;
本题解析:试题答案分为3类:
(1)异域性物种形成;
(2)邻域性物种形成;
(3)同域性物种形成。
54、判断题 当用管子滚动搬运重物时,管子承受重物后,两端应各露出约30cm。
点击查看答案
本题答案:错
本题解析:暂无解析
55、判断题 降低线路损耗的技术措施有:①配电网技术改造②提高电网功率因数。
点击查看答案
本题答案:对
本题解析:暂无解析
56、问答题
某客户计量装置经查接线如图D-8所示,其中A相电流互感器变比为150/5,B相电流互感器变比为150/5,C相电流互感器变比为200/5,计量期间,按200/5结算电量为500000kW•h。问应退补该客户多少电量?

点击查看答案
本题答案:以二次功率为参照:
正确接线时功率P1=UI
本题解析:试题答案以二次功率为参照:
正确接线时功率P1=UIcos×3÷(200/5)
错误接线时功率P2=UIcos÷(150/5)+UIcos÷(150/5)-UIcos÷(200/5)
更正系数K=(P1-P2)÷P2)×100%=80%
K为正,应补收电量
补收电量W′=K×W=80%×500000=400000(kW•h)
应补收该客户电量400000kW•h。
57、判断题 检查万用表直流档的故障时,可用串联毫安表或其他无故障的万用表毫安档测定。
点击查看答案
本题答案:对
本题解析:暂无解析
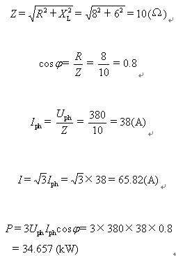
58、问答题 计算题:一三相对称电路,每相电阻R=8,感抗XL=6Ω,如果三相负载连接成三角形,接到线电压为380V的三相电源上,试求负载的相电流、线电流及总的有功功率。
点击查看答案
本题答案:
试题答案
负载的相电流为38A、线电流为65.82A、总的有功功率为34.657kW。
59、填空题 学习型组织指通过()、共享知识,从而提高组织绩效的组织体系。
点击查看答案
本题答案:团队学习
本题解析:试题答案团队学习
60、问答题 什么是负荷曲线?它的作用是什么?
点击查看答案
本题答案:(1)电力负荷曲线表明了负荷随时间变化的规律。电力负荷
本题解析:试题答案(1)电力负荷曲线表明了负荷随时间变化的规律。电力负荷曲线的横坐标表示时间,纵坐标表示负荷的绝对值,曲线所包含的面积代表一段时间内用户对电能需求的总量,亦即要求电厂(电力系统)供出的电能供应量。
(2)用户耗电的多少和电能的使用方式,是决定电力系统和各个发电厂运行方式和制定生产计划的主要依据。负荷曲线是表明用电情况的最好方式。编制和正确使用负荷曲线,对电力系统制订长远规划和日常生产安排都起到重要作用。使用负荷曲线还可以帮助或指导用户加强需求侧管理、调整用电负荷、提高设备利用率、削峰填谷、合理用电、减少电费支出、降低用电成本。
负荷曲线的种类繁多,在用电方面常按两类划分:按时间分类,如日负荷曲线、日平均负荷曲线等按用电特性分类,如各个行业的用电负荷曲线等。
61、问答题 带电更换阻波器应注意哪些安全事项?
点击查看答案
本题答案:(1)必须采用合格的短接消弧断路器,并应满足负荷电流及电压降
本题解析:试题答案(1)必须采用合格的短接消弧断路器,并应满足负荷电流及电压降的要求。
(2)消弧断路器合闸及断开前,均需得到监护人的许可,操作后应检查消弧断路器的闭锁装置。
(3)消弧断路器处于断开位置时,严禁等电位电工短接阻波器及两端引线。
(4)安装消弧断路器上下引线时,应先接上端,后接下端,拆时顺序相反。
(5)作业人员与断路器应保持适当距离。
(6)起吊及放落阻波器时,应加绝缘拉绳控制,保持与接地部分和邻近带电体的安全距离。
(7)进行更换阻波器时应经调度部门同意。
62、判断题 在电路的任何一个闭合回路里,回路中各电动势的代数和小于各电阻上电压降的代数和。
点击查看答案
本题答案:错
本题解析:暂 91exam .org无解析
63、问答题 隔离开关具备哪些条件才能评为一类设备?
点击查看答案
本题答案:如把铜和铝用简单的机械法直接连接在一起,特别是在潮湿并
本题解析:试题答案如把铜和铝用简单的机械法直接连接在一起,特别是在潮湿并含盐分的环境中(空气中总含有一定水份和少量的可溶性无机盐类),铜铝接头就相当于浸泡在电解液内的一对电极,会形成电位差(1.68V原电池)。在原电池作用下,铝会很快地丧失电子而被腐蚀,从而使电气接头慢慢松弛,造成接触电阻增大当流过电流时,接头发热,温度升高,还会引起铝本身的塑性变形,更使接头部分的接触电阻增大。如此恶性循环,直到接头烧毁为止。
因此,电气设备的铜、铝接头应采用经闪光焊连接在一起的"铜铝过渡接头"后,再分别连接。
64、单项选择题 抄表、核算、收费和上缴电费这四道工序的统称为()。
A、营业管理
B、用电管理
C、电费管理
D、账务管理
点击查看答案
本题答案:C
本题解析:暂无解析
65、单项选择题 下列有关科学常识的表述,不正确的是()。
A.月亮对海水的吸引力比太阳大,引起地球上潮汐现象的主要原因是月亮对海水的吸引力
B.世界著名的"死海"位于西亚,尽管"死海"的含盐量较高,但其中的营养物质很丰富,"死海"中有大量的水生动植物
C.云和雾都是水蒸气达到饱和并凝结成细小的水滴而形成的,它们在本质上是相同的
D."X射线"是一种波长比紫外线更短的光,它是由德国物理学家伦琴在1895年发现的
点击查看答案
本题答案:B
本题解析:死海是位于西南亚的著名大咸湖,湖面低于地中海海面392米,是世界最低洼处,因温度高、蒸发强烈,含盐度极高,达25%~30%,除个别的微生物外,水生植物和鱼类等生物都不能生存,故得死海之名。故选B。
66、判断题 切空载线路实质上就是切容性负荷。
点击查看答案
本题答案:对
本题解析:暂无解析
67、单项选择题 计算机网络是电子计算机及其应用技术和通信技术逐步发展日益密切结合的()。
A、工具
B、目的
C、要求
D、产物
点击查看答案
本题答案:D
本题解析:暂无解析
68、问答题 什么叫电价?电价是怎样组成的?制定电价的原则是什么?
点击查看答案
本题答案:电能销售的价格就叫电价,电价是电能价值的货币表现。本题解析:试题答案电能销售的价格就叫电价,电价是电能价值的货币表现。
电价由电力部门的成本、税收和利润三部分组成。
根据《电力法》第三十六条的规定:制定电价应当坚持合理补偿成本、合理确定收益、依法计入税金、坚持公平负担、促进电力事业发展的原则。
69、判断题 电流互感器的极性错误不影响接入电能表的计量错误。
点击查看答案
本题答案:错
本题解析:暂无解析
70、问答题 带电作业工具的设计安全系数与机械试验的安全系数哪个大?为什么?
点击查看答案
本题答案:设计安全系数大。原因是:为了保证工具在经受监督性试验时
本题解析:试题答案设计安全系数大。原因是:为了保证工具在经受监督性试验时不会产生永久变形,必须使设计安全系数比机械试验安全系数大。
71、单项选择题 电路分析的目的是对电路的电性能进行定性或者定量的预测,其分析工具是()。
A.电学
B.力学
C.数学
D.光学
点击查看答案
本题答案:C
本题解析:暂无解析
72、判断题 带电更换阻波器时,等电位作业人员必须双手分开 扶稳阻波器。
点击查看答案
本题答案:错
本题解析:暂无解析
73、判断题 带电更换GW5系列高压交流隔离开关时,首先应将隔离开关短接。
点击查看答案
本题答案:对
本题解析:暂无解析
74、单项选择题 检修施工需进行电缆沟洞扒开的工作,当天不能完工的,收工时电缆沟洞()。
A、要临时封堵
B、不需封堵
C、做好标志
D、防止雨水进入
点击查看答案
本题答案:A
本题解析:暂无解析
75、问答题 试述我国现使用的阻燃绝缘绳的材料特征。
点击查看答案
本题答案:我国现在使用的阻燃绝缘绳主要有蚕丝绳和阻燃型合成纤维绳
本题解析:试题答案我国现在使用的阻燃绝缘绳主要有蚕丝绳和阻燃型合成纤维绳。
蚕丝绳在干状态下具有良好的电气性能,但容易吸湿且价格昂贵,货源受到较大的限制。
阻燃型合成纤维绝缘绳由合成纤维、混合阻燃剂、稳定剂(抗氧化剂、紫外线吸收剂)以及染料等成分进行热炼、共混改性后切成颗粒状原料,然后采用渗融法纺丝制成合成纤维单丝,再按一定方向捻制成绳。阻燃型合成纤维绝缘绳在湿状态下的泄漏电流很小,湿闪电压高,是我国今后绝缘绳的发展方向。
76、单项选择题 用户用电分户账是营业部门销售电能业务中记录用户相关业务的()账户。
A、会计
B、统计
C、汇总
D、明细
点击查看答案
本题答案:D
本题解析:暂无解析
77、问答题 在高压回路上的工作中,关于接地线的移动或拆除,有何严格规定?
点击查看答案
本题答案:1)严禁工作人员擅自移动或拆除接地线;2)高压回路上的
本题解析:试题答案1)严禁工作人员擅自移动或拆除接地线;2)高压回路上的工作,需要拆除全部或一部分接地线后始能进行工作者,必须征得运行人员的许可(根据调度员指令装设的接地线,必须征得调度员的许可),方可进行;3)工作完毕后,应立即恢复接地。
78、单项选择题 接装容量是指接入计费电能表的全部设备()之和。
A、额定电流
B、额定电压
C、额定容量
D、额定频率
点击查看答案
本题答案:C
本题解析:暂无解析
79、判断题 三相二元件有功电能表由一个电流线圈和两个电压线圈组成。
点击查看答案
本题答案:错
本题解析:暂无解析
80、单项选择题 无功补偿的基本原理是把容性负载与感性负载接在同一电路中,当容性负载()能量时,感性负载吸收(释放)能量。
A、释放(吸收)
B、释放(释放)
C、吸收(吸收)
D、吸收(释放)
点击查看答案
本题答案:A
本题解析:暂无解析
81、单项选择题 用户遇有特殊情况需延长供电方案的有效期的,应在有效期到期前()向供电企业提出申请,供电企业应视情况予以办理延长手续。
A、30天
B、10天
C、15天
D、20天
点击查看答案
本题答案:C
本题解析:暂无解析
82、问答题 无功补偿的措施有哪些?如何确定无功补偿的容量?
点击查看答案
本题答案:无功补偿的措施较多,常见的有调相机补偿、过激磁同步电动
本题解析:试题答案无功补偿的措施较多,常见的有调相机补偿、过激磁同步电动机补偿、异步电动机同步化补偿、静止补偿装置补偿、电力电容器补偿等。其中利用电力电容器进行无功补偿是最为有效且经济的补偿方式。
确定补偿容量的计算公式为
QC=P(tg1-tg2)
或QC=Pq
式中QC--欲补偿电容器容量,kvar
1,2--分别为补偿前后的功率因数角
P--用户最大负荷月的平均有功功率,kW
q--每千瓦有功功率所需补偿的容量,kvar/kW,可从表中查得。
83、单项选择题 申请新装用电、临时用电、增加用电容量、变更用电和终止用电均应到当地供电企业办理手续,并按照国家有关规定()。
A、填写申请
B、上交书面报告
C、交付费用
D、履行报装手续
点击查看答案
本题答案:C
本题解析:暂无解析
84、问答题 带电冲洗悬垂、耐张绝缘子串、瓷横担时,应有哪些注意事项?
点击查看答案
本题答案:应从导线侧向横担侧依次冲洗。冲洗支柱绝缘子及绝缘瓷套时
本题解析:试题答案应从导线侧向横担侧依次冲洗。冲洗支柱绝缘子及绝缘瓷套时,应从下向上冲洗。
85、单项选择题 基尔霍夫第一定律,即节点()定律。
A、电阻
B、电压
C、电流
D、电功率
点击查看答案
本题答案:C
本题解析:暂无解析
86、问答题 如何办理减容?
点击查看答案
本题答案:用户减容须在5天前向供电企业提出申请。供电企业应按下列
本题解析:试题答案用户减容须在5天前向供电企业提出申请。供电企业应按下列规定办理:
(1)减容必须是整台或整组变压器的停止或更换小容量变压器用电。供电企业受理后,根据用户申请减容的日期对设备进行加封,从加封之日起,按原计费方式减收其相应容量的基本电费。若用户申明为永久性减容或从加封之日起满2年又不办恢复用电手续的,其减容后的容量已达不到实施两部制电价规定容量标准时,应改为单一制电价计费。
(2)减少用电容量的期限应根据用户所提出的申请确定,但最短期限不得少于6个月,最长期限不得超过2年。
(3)在减容期限内,供电企业应保留用户对减少容量的使用权,超过减容期限要求恢复用电时,按新装或增容手续办理。
(4)在减容期限内要求恢复用电时,应在5天前向供电企业办理恢复用电手续,基本电费从启封之日起计收。
(5)减容期满后的用户以及新装、增容用户,2年内不得申办减容或暂停。如确需继续办理减容或暂停的,减少或暂停部分容量的基本电费应按50%计算收取。
87、问答题 列举两种造成少计漏计电量的不合理电能计量方式,并提出解决办法。
点击查看答案
本题答案:以下两种计量电能表装接不合理的计量方式,会造成少计或漏
本题解析:试题答案以下两种计量电能表装接不合理的计量方式,会造成少计或漏计电量。
(1)用三相三线电能表计量单相负荷电量
(2)电能表容量过大,常用负荷在电能表标定值10%以下,或电能表容量过小,长期大量过载运行。
若发生上述情况时,抄表或检查人员应及时了解用户内部电气设备使用情况及负荷情况。判断误差时,可测定电能表圆盘转动一定转数所需的时间,与标定标准时间相比较,即可初步确定电能表运行的相对误差。经计算核对后,出具工作单转有关部门改变计量方式,分别将三相三线电能表更换为三相四线电能表计量,将常规电能表更换为宽负载电能表计量。对大工业用户还可以采用新型的宽负载0.5S级或0.2S级的电流互感器计量电量。
88、问答题 什么是数据库和数据库管理系统(DBMS)?
点击查看答案
本题答案:(1)数据库就是在计算机中按照一定数据模型组织存储和使
本题解析:试题答案(1)数据库就是在计算机中按照一定数据模型组织存储和使用的互相关联的数据集合。简单地说,数据库就是存储数据的"仓库"。
(2)数据库管理系统(DBMS)是数据库与用户之间的界面,是管理和维护数据库数据的一组软件。DBMS在操作系统的支持下负责处理用户存取数据的各种请求,如数据库的建立、编辑、使用和数据库内容的输出等,并提供对数据库的维护,以使数据库中的数据不受到破坏。
89、问答题 用户配电变压器并列运行应满足哪些条件?
点击查看答案
本题答案:必须满足以下条件:
(1)接线组别相同
本题解析:试题答案必须满足以下条件:
(1)接线组别相同
(2)变比差值不得超过±0.5%
(3)短路电压值不得超过10%
(4)两台并列变压器容量比不宜超过3∶1。
90、单项选择题 ()用电是社会主义经济发展的需要。
A、合理
B、计划
C、节约
D、安全
点击查看答案
本题答案:B
本题解析:暂无解析
91、单项选择题 汽油发动机达正常工作温度后仍使用阻风门时,则会()。
A.节省燃料
B.机油被冲淡
C.可使混合气完全燃烧
D.混合气过稀
点击查看答案
本题答案:B
本题解析:暂无解析
92、问答题 屏蔽服保护人体的基本原理是什么?对屏蔽服各部分的技术要求有哪些?
点击查看答案
本题答案:屏蔽服保护人体的基本原理是利用金属导体在电场中的静电屏
本题解析:试题答案屏蔽服保护人体的基本原理是利用金属导体在电场中的静电屏蔽效应。对屏蔽服各部分的技术要求有:
(1)上衣或裤子任意两个最远端之间的电阻均不得大于20Ω
(2)手套或短袜两端之间的电阻均不得大于15Ω
(3)鞋子的电阻不得大于500Ω
(4)帽子的帽舌或帽沿必须确保人体外露部位(如面部)不产生不舒适感
(5)作业人员穿着整套屏蔽服后流经人体的电流不得大于50μA。
93、判断题 采用氮气压力带电进行变压器套管补油的优点有:避免大量气泡进入设备内工具简单、操作方便经济。
点击查看答案
本题答案:对
本题解析:暂无解析
94、问答题 带电作业对绝缘材料的具体要求有哪些?
点击查看答案
本题答案:具体要求有:
(1)电气性能:要求具有较高的
本题解析:试题答案具体要求有:
(1)电气性能:要求具有较高的绝缘电阻、较低的介质损耗及优良的绝缘强度。
(2)机械性能:要求具有足够的抗拉、抗弯曲、抗剪切、抗冲击的强度和一定的硬度和塑性,特别是抗拉和抗弯性能。
(3)工艺性能:要求具有良好的机械加工性能,如锯割、钻孔、车丝、刨光等。
(4)要求具有较强的防潮、防水、防臭氧侵蚀的能力。
95、问答题 与气体和液体介质相比,固体介质主要具有哪些特点?
点击查看答案
本题答案:固体介质主要具有以下特点:
(1)固体介质的
本题解析:试题答案固体介质主要具有以下特点:
(1)固体介质的击穿是不可逆的,当介质被击穿后,其绝缘不能自行恢复
(2)固体介质的密度比较大,其击穿强度比气体和液体高得多。
(3)固体介质总是处于气体或液体介质包围之中,所以存在沿面放电现象。
96、单项选择题 测量10kV以上变压器绕组绝缘电阻,采用()V绝缘电阻表。
A、2500及以上
B、500
C、1000
D、1500
点击查看答案
本题答案:A
本题解析:暂无解析
97、填空题 目标管理是一种通过科学地制定目标、(),依据目标进行考核评价来实施组织管理任务的过程。它强调以成果为目标的管理,重点在于自我控制。
点击查看答案
本题答案:实施目标
本题解析:试题答案实施目标
98、单项选择题 解答用户有关用电方面的询问工作属于()。
A、用电管理
B、用户服务
C、业扩服务
D、杂项业务
点击查看答案
本题答案:B
本题解析:暂无解析
99、单项选择题 真空灭弧室内的金属波纹管的作用是()。
A、密封
B、灭弧
C、屏蔽
D、导电
点击查看答案
本题答案:A
本题解析:暂无解析
100、单项选择题 电来源:91考试网 www.91eXam.org力系统要安全经济运行,必须装设一些(),以对电压、电流、功率、电能等电气量值进行测量。
A.开关
B.互感器
C.电气设备
D.测量仪表
点击查看答案
本题答案:D
本题解析:暂无解析
题库试看结束后
微信扫下方二维码即可打包下载完整版《★变电检修工考试》题库
手机用户可保存上方二维码到手机中,在微信扫一扫中右上角选择“从相册选取二维码”即可。
题库试看结束后微信扫下方二维码即可打包下载完整版《变电检修工考试:变电检修工考试》题库,分栏、分答案解析排版、小字体方便打印背记!经广大会员朋友实战检验,此方法考试通过率大大提高!绝对是您考试过关的不二利器!
手机用户可保存上方二维码到手机中,在微信扫一扫中右上角选择“从相册选取二维码”即可。
微信搜索关注"91考试网"公众号,领30元,获取公务员事业编教师考试资料40G