时间:2017-10-02 10:26:38


1、判断题 异步电动机相间突然短路,当发生在定子绕组端部附近时,故障最严重。()
2、判断题 变压器不对称运行,对变压器本身危害极大。()
3、单项选择题 变压器二次电压相量的标志方法和电动势相量的标志方法()。
A.相反;
B.相同;
C.相似;
D.无关系。
4、单项选择题 黄色试温腊片,在常温下()时开始熔化。
A.40℃;
B.50℃;
C.60℃;
D.70℃。
5、问答题 某正弦电流的初相角为30°,在t=T/2时,瞬时值为-0.4A,求这个正弦电流的有效值。
6、问答题 功率放大器有哪几类工作状态?
7、判断题 在同样的绝缘水平下,变压器采用星形接线比三角形接线可获取较高的电压。()
8、问答题 制图题:画出电阻、电感串联后再与电容并联的交流电路及相量图。
9、单项选择题 对称三相电路的有功功率P为()。
A. ULILcosθph;
B. ULILcosθL;
C. UphIphsinQL;
D. UphIphsinθph。
10、判断题 输电线路本身的零序阻抗大于正序阻抗。()
11、单项选择题 对称三相交流电路,中性点电压等于()。
A.0;
B.1;
C.
;
D.
。
12、问答题 什么是电灼伤?
13、判断题 当系统振荡或发生两相短路时,会有零序电压和零序电流出现。()
14、问答题 一台三相的变压器的低压侧线电压为6000V电流为10A,功率因数cosφ=0.866,求有功功率P,视在功率S,无功功率Q。
15、单项选择题 电功率的计算公式P=UI,式中的U表示用电器两端的电压,I为通过用电器的电流,此公式适用于()。
A.计算电风扇的电功率;
B.计算电灯泡的电功率;
C.计算蓄电池充电的电功率;
D.计算电风扇、电灯泡、蓄电池的充电的电功率。
16、问答题 一个负载为星形接线,每相电阻R为5Ω,感抗XL为4Ω,接到线电压UL为380V的对称三相电源上,求负载电流。
17、判断题 距离保护是反应故障点到保护安装处的电气距离,并根据此距离的大小确定动作时间的一种保护。
18、问答题 制图题:画出电阻、电容串联单相交流电路图及电压相量图。
19、判断题 电容器充电时的电流,由小逐渐增大。()
20、单项选择题 对称三相电源星形连接,线电压等于()。
A.相电压;
B.
倍的相电压;
C.3倍相电压;
D.2倍的相电压。
21、名词解释 支路
22、判断题 蓄电池的自放电是一种现象,而不会引起损耗。()
23、单项选择题 发电机带部分有功负荷运行,转子磁极轴线与定子磁极轴线的相互位置是()。
A.限制负载电流;
B.限制激磁电流;
C.限制调压环流;
D.不限电流。
24、问答题 制图题:画出油泵电机()三相交流回路图。
25、判断题 一切物体的负电荷的总量,永远多于正电荷的总量,否则就不会有多余的电子流动以形成电流。()
26、多项选择题 导体对电流的阻力是()。
A.电纳;
B.电阻;
C.导纳;
D.阻抗。
27、问答题
如图所示发电机的内阻是0.1Ω,每个输电线的电阻rL=0.1Ω,负载电阻R=22Ω,电路中电流强度是I=10A。求负载两端电压UR是多少?发电机的电动势E是多少?端电压U是多少?整个外电路上消耗的功率P外是多少?负载获得的功率PR是多少?输电线损失功率PL是多少?发电机内P发热损失功率P内是多少?发电机发出的有功功率P是多少?

28、单项选择题 要求酿造大麦水分含量在()以下,否则难以贮存。
A、25%
B、20%
C、15%
D、13%
29、判断题 把电容器与负载或用电设备并联叫并联补偿。()
30、判断题 电势和电压的方向一样,都是由高电位指向低电位。()
31、问答题 什么是电击伤?
32、单项选择题 绿色试温腊片,在常温下()时开始熔化。
A.60℃;
B.70℃;
C.80℃;
D.90℃。
33、单项选择题 蓄电池是一种储能设备,它能把电能转变为()能。
A.热;
B.化学;
C.机械;
D.光。
34、单项选择题 蓄电池充电结束后,连续通风()小时以上,室内方可进行明火工作。
A.2;
B.1;
C.半;
D.1.5。
35、判断题 超高压系统产生的电晕是一种无功功率损耗。()
36、判断题 流过电阻的电流与电阻成正比,与电压成反比。()
37、判断题 异步电动机定子电流为空载电流与负载电流的和。()
38、问答题 一单相电动机由220V的电源供电,电路中的电流为11A,cosφ=0.83。试求电动机的视在功率S,有功功率P、无功功率Q。
39、单项选择题 整流式电流表能测出()是它的特长
A.畸变交流电流;
B.交流毫安级至安培级电流;
C.直流微安级电流;
D.直流大电流。
40、问答题 从事电业工作中造成触电的原因主要有哪些?
41、单项选择题 在一个电阻上加电压10V时,电阻中流过2A www.91exAm.org的电流,若在此电阻上加电压20V时,电阻中流过的电流是()。
A.1A;
B.1.5A;
C.3A;
D.4A。
42、单项选择题 在电阻、电感、电容和电抗组成的电路中,消耗电能的元件是()。
A.电阻;
B.电感;
C.电抗;
D.电容。
43、单项选择题 通过人体电流的大小主要决定于施加于人体的电压和人体电阻。一般情况下成年人体的电阻是:()。
A.100~200Ω;
B.1000~2000Ω;
C.10000~20000Ω;
D.20000以上。
44、判断题 复杂电路与简单电路的根本区别,在于电路中元件数量的多少。()
45、单项选择题 电阻的单位是()。
A.焦耳;
B.欧姆;
C.西门子;
D.电抗。
46、问答题 变压器在什么情况下要进行特殊检查?
47、问答题 制图题:一个载流直导体,按截面电流的方向(流出纸面),画出周围磁力方向。
48、问答题 电容器的放电电阻应符合哪些要求?
49、问答题 变压器的温度与温升有什么区别?
50、单项选择题 对称三相电源三角形连接,线电流是()。
A.相电流;
B.3倍的相电流;
C.2倍的相电流;
D.
倍的相电流。
51、问答题 发电机运行时,内部有哪些损耗?
52、判断题 在相同工作电压下的电阻元件,电阻值越大的功率越大(小)。()
53、单项选择题 对称三相电源星形连接时,线电流等于()。
A.相电流;
B.相电流的倍
;
C.额定容量除以额定电压;
D.2倍相电流。
54、问答题
如图所示电路。求各支路电流I1、I2、I3是多少?

55、单项选择题 两个电阻并联,R1=2Ω,通过的电流为5A,R2=4Ω,通过的电流应是()。
A.8A;
B.3.5A;
C.10A;
D.2.5A。
56、判断题 金属导体的电阻与外加电压无关。()
57、单项选择题 电流互感器的二次绕组严禁()。
A.开路运行;
B.短路运行;
C.负载是容性;
D.负载是感性。
58、判断题 发生接地故障时,特有的电气量是零序电压和零序电流。()
59、判断题 雷电流由零值上升到最大值所用的时间叫波头。()
60、判断题 变压器的寿命是由线圈绝缘材料的老化程度决定的。()
61、填空题 电阻的英文是()。
62、填空题 一般油脂的加工方法有:()、熬炼法、()、机械分离法。
63、问答题 制图题:画出中性点非直接接地电力网绝缘监察装置接线图。
64、判断题 变压器输出无功功率,也会引起有功损耗。()
65、问答题 制图题:画出升压变压器低阻抗保护原理图。
66、判断题 在由零序电压滤过器组成的距离保护的电压断线闭锁装置中,有一个零序电流继电器是起反闭锁作用的。
67、单项选择题
如图所示三极管电路,试指出其电路的连接方式为()。

A.共基极电路;
B.共射极电路;
C.共集电极电路;
D.其他形式。
68、单项选择题 对称三相交流电路总功率等于相功率的()倍。
A.
;
B.3;
C.
;
D.
69、判断题 电容量的大小,反映了电容器储存电荷的能力。()
70、判断题 导线越长,电阻越大,它的电导也就越大。
71、单项选择题 多台电动机的公用保险丝的额定电流,是按()。
A.其中最大额定电流的3倍;
B.各台额定电流之和;
C.功率最大的一台电动机额定电流的1.5~2.5倍,加上其他同时工作的电动机额定电流之和来确定;
D.最大电流的1.5~2.5倍。
72、判断题 电力系统电压过高会使并列运行的发电机定子铁芯温度升高。()
73、问答题 制图题:画出变压器过电流保护(单相)原理接线图。
74、问答题 并联电容器的补偿方式有几种?
75、问答题
已知电路中电压
,电流i=ImsinwtA,电路频率为50Hz。试求电压与电流的相位差,并说明两者相位是超前还是滞后的关系?两者时间差是多少?
76、单项选择题 电压互感器的二次绕组严禁()。
A.开路运行;
B.短路运行;
C.负载是容性;
D.负载是感性。
77、判断题 当发生单相接地故障时,零序功率的方向可以看做以变压器中性点为电源向短路点扩散。()
78、单项选择题
在星形连接的对称电路中,线电压UL等于()倍相电压Uph。
A.
;
B.3;
C.
;
D.
。
79、单项选择题 共射极放大电路中,输入信号加在三极管的()。
A.基极与 发射极之间;
B.基极与集电极之间;
C.发射极与集电极之间;
D.其他连接方式。
80、名词解释 网孔
81、问答题
如图所示的电路,利用戴维南定理求支路电流I3。已知E1=140V,E2=90V,R1=20Ω,R2=5Ω,R3=6Ω。

82、判断题 一个线圈的电感与外加电压无关。()
83、问答题 制图题:画出发电机动态稳定曲线。
84、问答题 电力电容器的型号都代表什么?
85、问答题 测量某电动机的电压为380V,电流是20A。试求电压、电流的最大值,已知电压超前电流60°,试写出电压电流的瞬时值表达式。
86、单项选择题 三极管集电极的作用是()。
A.发射载流子;
B.输送和控制载流子;
C.收集载流子;
D.不一定。
87、判断题 采用(V-V型)接线的电压互感器,只能测量相电压。()
88、判断题 发电机转子回路发生一点接地故障时,其励磁绕组的电压降低。()
89、问答题
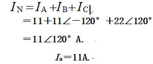
制电路如图所示,其各相电阻分别为Ra=Rb=20Ω,Rc=10Ω。已知的线电压UL=380V,求(相电流)、线电流和中性线电流各是多少?

90、单项选择题 男孩,4岁。因发热、呕吐2天,抽搐1次来院急诊。体检:神萎,颈抵抗,心、肺检查无异常,腹软,肝、脾无肿大,布氏征阳性,双侧巴氏征阳性,背部发现一疖肿,周围发红。脑脊液外观混浊,白细胞数2500×10/L,中性粒细胞0.90,糖1.68mmol/L,蛋白1.2g/L,氯化物118mmol/L。诊断首先考虑()
A.病毒性脑膜炎
B.化脓性脑膜炎
C.结核性脑膜炎
D.隐球菌脑膜炎
E.淋巴细胞脉络丛脑膜炎
91、单项选择题 变压器温度计所反映的温度是变压器的()
A.上部温度;
B.中部温度;
C.下部温度;
D.匝间温度。
92、单项选择题 发电机正常运行时既发有功,也发无功,我们称为功率迟相(又称滞后)。此时发电机送出的是()无功功率。
A.感性的;
B.容性的;
C.感性和容性的。
D.都不是
93、单项选择题 发电机并列过程中,当发电机电压与系统电压相位不一致时,将产生冲击电流,此冲击电流最大值发生在两个电压相差为()时。
A.0°;
B.90°;
C.180°;
D.100°。
94、判断题 在串联电路中,总电阻等于各电阻的倒数之和。
95、名词解释 回路
96、问答题 制图题:画出电流相位()比较式继电器接线图。
97、单项选择题 用一直流电压表和一直流电流表测量一分流器的电阻时,常用两种接线方式:甲分流器与电流表串联后再与电压表并联;乙分流器与电压表并联后再与电流表串联,比较两种接线的测量误差,()。(这就是高中物理里电路中电流表的内接和外接)
A.甲比乙小;
B.乙比甲小;
C.甲乙一样;
D.无规律性。
98、问答题
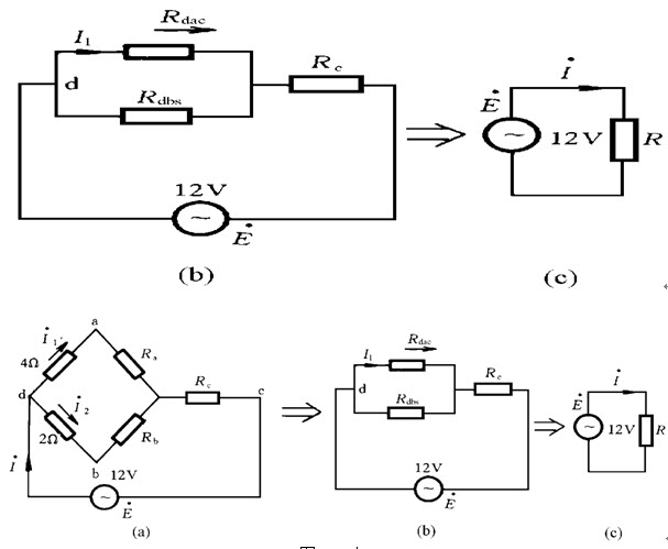
电路如图所示,图中E=12V,Rab=4Ω,Rac=8Ω,Rab=4Ω,Rbd=2Ω,Rbc=4Ω参数用三角、星形变换求支路电流I1是多少?

99、问答题
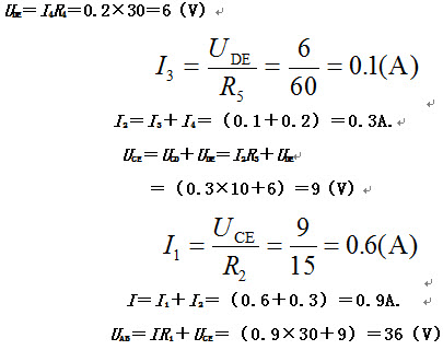
在图所示电路中,已知电阻R1=R4=30Ω,R2=15Ω,R3=10Ω,R5=60Ω,通过电阻R4支路的电流I4=0.2A,试根据以上条件求电路中的总电压U和总电流I的值各是多少?

100、单项选择题 单位时间内,电流所做的功称为()。
A.电功率;
B.无功率;
C.视在功率;
D.有功率加无功率。