时间:2017-10-02 07:46:14


1、判断题 要提高过程能力指数必须减少该过程质量特性值分布的标准偏差。来源:91exam .org()
2、多项选择题 当控制对象为“均值和离散程度”时,控制图可选()。
	A.P图
	B.—R图
	C.U图
	D.—R图
3、填空题 过程能力是指过程的加工水平满足()的能力,它是衡量过程加工内在—致性的标准。
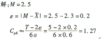
4、问答题 计算题:某食用油灌装过程,要求为10000+5g,实测均值为1002.3g,测定值标准偏差s=0.6g,求CPK。
5、判断题 &nb sp;控制图的控制界限可以用压缩的规范界限代替。()
6、判断题 控制图中的点子全部落在控制限内说明没有异常出现。()
7、填空题 导致质量特性波动的因素根据来源的不同,可分为()6个方面,简称为5M1E。
8、问答题 计算题:某工序加工的材料屈服强度不得低于500Mp,标本实测均值为531Mp,样本标准偏差为6.2Mp,求CPL。
9、问答题 论道德评价标准的绝对性与相对性的统一。
10、多项选择题 提高过程能力指数的途径是()。
	A.对过程因素进行控制,减少过程因素的波动
	B.调整计算方法,扩大样本抽样量
	C.调整产品质量特性的分布中心,减少中心偏移量
	D.在必要的情况下,调整公差范围
11、判断题 当控制图上出现异常点时,就表示有不合格品发生。()
12、填空题 在均值控制图巾,判断异常的8条检验准则有:()个点落在A区以外;连续()点落在中心线同一侧;连续()点递增或递减;连续()点中相邻点交替上下;连续3点中有()点落在中心线同一侧的B区以外;连续5点中有4点落在中心线同一侧的c区以外;连续15点落在中心线两侧的C区内;连续8点落在中心线两侧且无一在C区内。
13、问答题
	请观察下图,回答下列问题:
	(1)这是什么图?
	(2)什么用途?
	(3)工序处于什么状态?
	(4)判断的依据?
14、问答题 计算题:某零件尺寸500.015-0.010mm,实测均值50.001mm,s=O.003mm,求CPK。
15、单项选择题 控制图的主要用途是()。
	A.评价工序的质量特性
	B.发现不合格
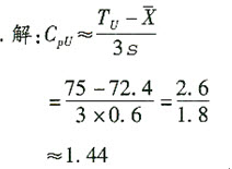
	C.及时反映和 区分正常波动和异常波动
	D.显示质量波动分布的状态
16、问答题
有一张现场工序质量控制图,由于染上油污,样本量(n)已经看不清楚,但其UCL=52.90,LCL=4774,平均极差R=3.54还是清晰可见。问:样本量(n)究竟是多少?
	
17、单项选择题
	
控制图中连续()点落在中心线同一侧判为异常。
	A.5
	D.6
	C.9
	D.14
18、判断题 控制图是对过程质量加以测定、记录并进行控制管理的一种用统计方法设计的图。()
19、多项选择题 以下数据:2561MM、934MM、2850MM对应着CRH1型动车组受电弓哪些技术参数()。
	A.降弓位高度
	B.折叠后高度
	C.最低工作高度
	D.最高工作高度
20、问答题 切除空载变压器过电压的产生原因主要有些?
21、问答题
请观察下图,回答下列问题:
	
	(1)这是什么图?
	(1)什么用途?
	(3)工序处于什么状态?
	(4)判断的依据?
22、单项选择题 控制图的横坐标一般表示()。
	A.项目
	B.质量特性值
	C.自变量
	D.时间或样本号
23、判断题 运用控制图有利于及时判断工序是否处于稳定状态。()
24、问答题 计算题:某工序加工一批零件,公差范围T=0.65mm,标准偏差s=0.08mm,尺寸中心与分布中心偏移量∑=0.01mm,求CPK
25、判断题 运用控制图可以找出质量问题的主要原因。()
26、单项选择题
	
控制图中连续()点落在中心线两侧的C区内判为异常。
	A.15
	B.14
	C.9
	D.6
27、判断题 运用控制图可以分析和掌握质量数据的分布状况。()
28、填空题 “合理子组原则’是休哈特提出的控制图基础理论之一。在抽取样本时要使:组内波动仅由()引起的;组间波动主要由()引起的。
29、多项选择题 产生质量波动的原因是()。
	A.主要原因
	B.客观原因
	C.偶然原因
	D.异常原因
30、单项选择题
	
控制图中连续()点递增或递减,应判为异常。
	A.6
	B.7
	C.8
	D.9
31、问答题 计算题:某建筑工地施上时场界噪声测定的值均为72.4dB,测定值的标准偏差s=0.6dB,国家标准规定不能超过75dB,求CPU。
32、问答题
	某厂用图对某下序进行控制。今测得样本量(n)为3的25组数据。经分析计算后得到图的控制上限为84.00,控制下限为77.00。问:图的控制目标(中心)应该在何处?
	
33、填空题 控制图中,上控制界限用符号()表示;中心线用符号()表示;下控制界限用符号()表示。
34、判断题 质量波动是完全可以避免的,只要控制住影响过程(工序)质量的六个因素。()
35、填空题 常规控制图的种类很多,一般按数据的性质分成()控制图和()控制图两大类。