时间:2017-10-02 02:27:45


1、多项选择题 下列关于湖泊、水库水质取样的正确说法有()。
A、尽量覆盖推荐的整个调查范围
B、能够反映湖泊、水库的水质和水文特征
C、取样位置的间隔一般采取均匀间隔的方法
D、可采用以建设项目的排放口为中心,向周围辐射的布设采样位置
2、单项选择题
环境质量预测与评价基本步骤正确的顺序是()。
①分析各类污染源在网格点上的日均浓度场和年均浓度场;
②分析各类污染源对关心点或敏感区的小时浓度、日均浓度和年均浓度;
③分析新增污染源最大落地浓度出现的位置和发生的概率,环境卜是否可以接受;
④和现状监测值进行叠加分析,即新增污染源预测值+现状监测值一削减污染源计算值一被取代污染源计算值一项目建成后最终的环境影响;
⑤对解决方案进行进一步预测和评价,给出最终的推荐方案和建设项目或规划项目可行性等结论;
⑥对项目建成后最终的环境影响进行评价,比较各种排放方案的优劣,并对存在的问题提出解决方案。
A.①②③④⑤⑥
B.③②①④⑥⑤
C.①④②⑤③⑥
D.③②①④⑤⑥
3、问答题 大气污染环境评价技术导则要求预测的内容?
4、名词解释 空气污染指数评价法
5、填空题 通常水体中DO含量越高,说明水质状况越()。
6、单项选择题 声源1和2在M点产生的声压级分别为Lp1=100dB,Lp2=98dB,则M点的总声压级Lp1+p2为()dB。
A、198
B、102
C、104
D、195
7、单项选择题 监测固体废物可能造成的二次污染时,随机监测一次,每一类固体废物采样和分析样品数均不应少于()个。
A.4
B.5
C.6
D.7
8、单项选择题 下列定义中错误的是()。
A.生态环境影响定义:生态系统受到外来作用时所发生的响应与变化
B.生态环境影响预测:科学地分析与预估生态受到外来作用时所发生的响应与变化的趋势
C.生态环境影响评价:对影响预测的结果进行显著性分析、人为地判别可否接受的过程
D.生态环境影响评价:对现状影响的结果进行显著性分析、人为地判别可否接受的过程
9、填空题 风险评价的基本内容:()()()()以及()
10、多项选择题 常用的扩散模式是()。
A.有风、小风、静风扩散模式
B.气态污染物和颗粒污染物扩散模式
C.短期浓度和长期浓度扩散模式
D.点源、面源、线源和体源等扩散模式
11、多项选择题 下列水质模型正确的是:()。
A.点源河流稀释混合模式:
B.非点源河流稀释混合模式:
C.河流的一维稳态水质模式: 
D.Streeter-Phelps模式:
12、多项选择题 关于氧垂曲线,正确的是()。
A.氧垂曲线的最低点称为临界氧亏点
B.临界氧亏点的亏氧量称为最大亏氧量
C.氧垂曲线图上临界氧亏点的右侧,耗氧大于复氧
D.在临界氧亏点处,耗氧和复氧平衡
13、多项选择题 固体废弃物就其来源可分为()。
A、工业废弃物
B、农业废弃物
C、城市生活垃圾
D、林业废弃物
14、填空题 地表水的预测分为()、平水期、()三个时期。一般而言,枯水期自净能力最小,三级评价要求预测()时期的环境影响。
15、多项选择题 地下水水质现状调查与评价的内容包括()
A.评价因子的选择
B.评价标准的选择
C.地下水监测
D.确定调查参数
16、单项选择题 关于噪声源的数据获得途径,错误的是()。
A.类卜匕测量法和弓l用已有数据两种途径
B.首先应当考虑引用己有数据
C.评价等级为一级必须采用类比测量法
D.评价等级二、三级,可引用已有的噪声源噪声级数据
17、多项选择题 生态环境的调查方法有()
A.收集现有资料
B.访问专家
C.野外调查
D.收集遥感资料
18、多项选择题 水生生态调查内容包括()
A.初级生产量
B.浮游生物
C.底栖生物
D.有时还有水生植物调查
19、问答题 环境评价的原则有哪些?
20、单项选择题 旅游资源开发过程中应严重关注的生态问题是()。
A.生态功能改变
B.视觉景观重建
C.水土流失危害
D.土地资源占用
21、单项选择题 大气环境影响评价中要求评价内容最详细的是()。
A、三级评价
B、二级评价
C、一级评价
D、四级评价
22、多项选择题 关于影响地表水环境的污染物的分类,说法正确的是()。
A.按排放方式可分为点源、线源和面源
B.按污染性质可分为持久性污染物、非持久性污染物、水体酸碱度和热效应四美
C.点源:污染物产生的源点和进人环境的方式为点
D.面源:污染物产生的源点为面,进人环境的方式可为面、线或点,位置不固定
23、单项选择题 在区域或流域的污染源调查中,说法确切的是()。
A、必须进行污染物流失原因分析
B、一般分为普查和详查两个阶段
C、通常要研究污染物的物理、化学特性
D、一般要对主要污染物进行追踪分析
24、多项选择题 完全混合模型的适用条件包括()。
A、河流是稳态的,定常排污
B、污染物在整个河段内均匀混合
C、废水的污染物为非持久性污染物
D、河流无支流和其他排污口废水进入
25、单项选择题
小风和静风点源扩散模式中,以排气筒地面位置为原点,下风向地面任一点的浓度的计算公式为()

A.A
B.B
C.C
D.D
26、单项选择题 下列计算方法,公式错误的是()。
A.相对密度=一个种的密/所有种的密度×100%
B.相对优势度=一个种优势度/所有种优势度×100%
C.相对频度=一个种的频度/所有种的频度×100%
D.重要值=相对密度-相对优势度一相对频度
27、多项选择题 大气环境质量现状监测点的布点方法,主要有()。
A.扇形布点
B.网络布点
C.功能布点
D.同心圆布点
28、问答题
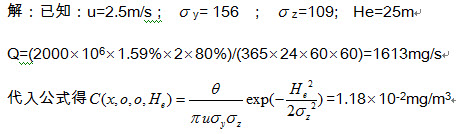
计算题:某厂使用硫含量1.590的煤,其年用量为2000t,烟囱的有效高度为25米,烟囱的出口处风速为2.5m/s,烟气排放量为760万N.m3/a,试问计算在D稳定度下,距离该厂烟囱1000米的某一环境敏感点SO2的地面轴线浓度?【已知在D稳定度下1000米处的水平方向扩散参数为156,垂直方向扩散参数为109,地面轴线浓度公式为:

29、单项选择题 废气监测技术中要求,对有明显生产周期的建设项目的有组织排放行为,对污染物的采样和测试一般为()个生产周期,每个周期()次。
A.2~3、3~5
B.2~4、3~5
C.2~3、4~5
D.2~4、4~6
30、多项选择题 生态环境影响评价的指标有()。
A.生态学评价指标与基难
B.可持续发展评估指标和基准
C.以政策与战略作为评估指标与基准
D.以环境保护法规和资源保护法规作为评估基准
31、单项选择题 不属于大气环境现状调查的是()
A.大气污染源调查
B.污染气象调查分析
C.大气环境质量现状调查
D.大气环境质量预测
32、填空题 环境基本特征()。
33、多项选择题 对于工业非点源污染,应调查的内容包括()。
A、原料堆放方式
B、排放方式
C、主要水质参数
D、排放浓度及其变化
34、单项选择题 定性的分析大气稳定度,下列说法不正确的是()。
A.夜间大气稳定度一般为中性、较稳定或稳定类
B.阴天或者大风时,大气稳定度一般为强不稳定
C.强不稳定类一般出现在白天、晴天和风速小于2m/s的情况下
D.稳定类一般出现在夜间、晴天和风速小于3m/s的情况下
35、填空题 声压级相同的声音,高频声音听起来比低频声音()一些。
36、多项选择题 关于常规气象资料调查期间的规定,下列说法正确的是()。
A.一级评价项目,获取至少最近五年的气象资料
B.二级评价项目,获取至少最近三年的气象资料
C.三级评价项目,获取至少最近一年的气象资料
D.一级评价项目,获取至少最近三年的气象资料
37、多项选择题 当环境影响筛选完成时,所有的环境影响被分类为()。
A.被剔除、不再做任何评价分析的影响
B.需要做定性说明的影响
C.需要做半定量说明的影响
D.需要并且能够量化和货币化的影响
38、多项选择题 常用的扩散模式中需要的气象参数包括()。
A.风速、风向
B.环境温度
C.稳定度
D.混合层高度
39、填空题 评价因子的筛选在()基础上得到的。
40、多项选择题 建设项目环境影响经济损益评价包括()。
A.建设项目环境影响经济评价
B.各环境要素的经济影响评价
C.环保措施的经济损益评价
D.进行环境保护措施的经济论证以选择适宜的环境保护措施
41、单项选择题 下列选项中,()是新建项目评价需要的污染物最终排放量。
A、工程自身的污染物设计排放量
B、按治理规划和评价规定措施实施后能够实现的污染物削减量
C、工程自 身的污染物设计排放量减去按治理规划和评价规定措施实施后能够实现的污染物削减量
D、新建项目达到国家排放标准后的污染物排放量
42、多项选择题 下列关于国家和地方标准说法不正确的是()
A、国家标准适用于全国范围;
B、地方标准是根据本地区的实际情况对某些标准制定得更严格于国家标准的标准;
C、地方标准是对国家标准的补充和完善;
D、当国家标准和地方标准并存时,应执行国家标准。
43、多项选择题 针对水文现象所存在的基本规律,主要的研究途径包括()。
A.成因分析
B.数理统计
C.地区综合
D.资料分析
44、多项选择题 有关确定大气环境影响预测范围和计算点,下列说法正确的是()。
A.在计算区域浓度场时,一般取污染源所在的位置为原点(0,0)坐标
B.在计算区域浓度场时,一般取东西向为X坐标轴
C.在计算区域浓度场时,一般取南北向为Y坐标轴
D.计算污染源对下风向影响时,取污染源所在的位置为原点,取下风向为X坐标轴
45、填空题 环境标准按环境要素进行分类,可分为()
46、多项选择题 划入“轻度影响”的项目的特征有()
A.污染因素单一、而且污染物种类少、产生量小或毒性较低的建设项目
B.对地形、地貌、水义、土壤、生物多样性等有一定的影响,但不改变生物系统结构和功能的建设项目
C.基本不对环境敏感区造成影响的小型建设项目
D.所有流域开发、开发区建设、城市新区建设和旧区改建等区域性开发活动或建设项目
47、多项选择题 下列属于从声源上降低噪声的方法有()。
A.在工程设计和设备选型时尽量采用符合要求的低噪声设备
B.在工程设计中改进生产工艺和加工操作方法,降低工艺噪声
C.在生产管理和工程质量控制中保持设备良好运转状态,不增加不正常运行噪声
D.对声源采用隔振、减振降噪或消声降噪措施
48、多项选择题 填埋场址地质屏障作用可分为()。
A.隔离作用和去除作用
B.阻隔和阻滞作用
C.去除作用
D.降解作用
49、名词解释 筛选
50、多项选择题 栖息地评价的主要方法有()。
A.分类法
B.相对生态评价图法
C.生态价值评价图法
D.扩展的生态价值评价法
51、多项选择题 关于河川径流,下列概念正确的是()。
A.流量Q:单位时间通过河流某一断面的水量,单位为m3/s
B.径流总量W:在T时段内通过河流某一断面的总水量,W=QT
C.径流深Y:Y=QT/1000F(F为流域面积,单位km2)
D.径流系数:某一时段内径流深与相应降雨深P的比值
52、单项选择题 关于大气环境现状监测点的设置条件,不正确的是()。
A.各监测点的设置条件应尽可能一致或标准化,一经确定不宜轻易变动
B.监测点周围10~I5m范围内不应有局部污染排放源。
C.监测点设置应避开于扰地带,如交通要道等
D.用两台或两台以上采样器进行平行采样时,可将采样器放置于同一位置
53、名词解释 环境标准
54、填空题 污染气象分析的主要内容包括()资料分析和()资料分析。
55、填空题 ()是把环境影响评价工作用环境法律或行政规章规定为一个必须遵守的制度。
56、多项选择题 对渗滤液产生量的估算过程包括的参量有()。
A、地面、地下水径流量
B、降雨量
C、固体废弃物原有含水量
D、蒸发量
E、固体废弃物在堆置过程中的失水量
57、多项选择题 对于常规污染物环境质量标准的时间限值一般分为()。
A.每分钟浓度值
B.小时浓度值
C.日均浓度值
D.年均浓度值
58、多项选择题 景观遥感数据的常见预处理方法包括()。
A.大气校正
B.植被成分
C.帽状转换
D.质地分析
59、单项选择题 收集资料法的缺点是()
A.应用范围广、收效大
B.受到季节、仪器设备条件的限制;
C.费用较大
D.只能获得第二手资料
60、填空题 污水水质的复杂程度的确定是根据污染物的()和需预测某类污染物浓度的()两个指标。
61、多项选择题 固体废物对水环境的影响包括()。
A.把水体作为固体废物的接纳体
B.固体废物在堆积过程中,经过自身分解和雨水淋溶产生的渗滤液流人河、湖泊和渗人地下引起地表水和地下水污染
C.废物堆放、储存和处置过程中挥发,污染大气中的水
D.固体废物堆放、处理和处置过程中,有害成分浸出
62、填空题 《中华人民共和国环境保护法》的颁布时间:()
63、单项选择题 该电厂烟尘排放量是()千克。
A、240
B、24000000
C、2400
D、24000
64、单项选择题 《生活垃圾填埋污染控制标准》(GBl6889-1997)适用于()。
A、生活垃圾填埋处置场所
B、工业固体废物填埋处置场所
C、危险废物填埋处置场所
D、放射性固体废物填埋处置场所
65、多项选择题 垃圾填埋场污染防治措施的主要内容有()。
A.渗滤液的治理和控制措施以及填埋场衬里破裂补救措施
B.释放气的导排或综合利用措施以及防臭措施
C.减振防噪措施
D.评价垃圾运输、场地施工、垃圾填埋操作、封场各阶段由各种机械产生的振动和噪声对环境的影响
66、多项选择题 以下各项中可选取为清洁生产指标的是()
A、设备热利用效率
B、吨产品COD最终排放量
C、循环冷却水循环率
D、粉尘无组织排放占总排放百分比
67、多项选择题 工程分析之前,进行的污染源调查一般包含()。
A、工业污染源调查
B、生活污染源调查
C、室内卫生状况调查
D、农业污染源调查
68、多项选择题 飞机场环境噪声现状水平调查方法是()。
A.机场周围环境调查,应调查评价范围内声环境功能区划、敏感目标和人口分布,噪声源种类、数量和相应的噪声级
B.没有明显噪声源的,可以根据评价等级选择3~6个测点
C.改扩建工程,分别选择5~12个测点进行飞机噪声监测
D.每种机型测量的起降状态不得少于3次
69、填空题 垃圾焚烧的两个重要技术问题:()、()。
70、填空题 生态环境影响识别的内容包括()。
71、填空题 环境影响报告书格式应该由什么单位来制定()
72、名词解释 环境风险评价
73、多项选择题 环境的程度和显著性的相关因素包括()
A.拟建项目的活动特征
B.拟建项目的活动强度
C.相关环境要素的承载能力
D.各项环境要素指标本底值
74、填空题 空气污染生物评价法中,以大气污染的()应用最广。
75、填空题 989年12月26日颁布的()是我国环境保护的基本法。
76、多项选择题 城市固体废物包括()。
A.生活垃圾
B.城建渣土
C.商业固体废物
D.粪便
77、单项选择题 我国现行的《城市区域环境噪声标准》(GB3096-93)规定了城市五类区域的环境噪声最高限值,其中居住、商业、工业混杂区应采用的标准是()。
A、0类标准
B、1类标准
C、2类标准
D、3类标准
E、4类标准
78、填空题 环境质量监测系统中的各种监测指标和参数具有()和()两大特点。
79、填空题 污染物排放标准按其适用范围可分为()排放标准和行业污染物排放标准。
80、多项选择题 根据调节池的功能,可将其分为()。
A.均量池
B.均质池
C.均化池
D.事故池
81、单项选择题 关于景观遥感分类,下列说法错误的是()。
A.常见的数据预处理方法:大气校正、几何纠正、光谱比值、主成分、植被成分、帽状转换、条纹消除和质地分析等
B.遥感影像分类包括:非监督分类、监督分类和特殊分类
C.分类结果的后处理包括:光滑或过滤、几何校正、矢量化及人机交互解译
D.分类精度评价,通常采用选取有代表性的检验区的方法,检验区的类型包括:监督分类的训练区、指定的同质检验区和随机选取检验区
82、问答题 环境影响评价和环境质量评价有哪些相同和区别?
83、名词解释 区域环境承载力
84、填空题 按影响的性质(程度)分,环境影响可分为()。
85、多项选择题 声音三要素包括()。
A.声源
B.介质
C.接收器
D.听众
86、单项选择题 某企业年投入物料中的某污染物总量9000吨,进入回收产品中的某污染物总量为2000吨,经净化处理掉的某污染物总量为500吨,生产过程中被分解、转化的某污染物总量为100吨,某污染的排放量为5000吨,则进入产品中的某污染物总量为()吨。
A、14000
B、5400
C、6400
D、1400
87、多项选择题 环境过程的分类为()。
A.形态变化过程:酸碱平衡、吸附/解析
B.迁移过程:沉淀和溶解
C.转化过程:生物降解、光反应、水解、氧化-还原
D.生物积累:生物浓缩、生物放大
88、单项选择题 如果监测数据样本量较小,而数据值变化幅度较大,则水质参数选取()
A.监测数据的平均值
B.监测数据的最大值
C.平均值与最大值的均方根
D.平均值与最大值的立方根
89、单项选择题 在固体废物监测分析过程中,实验室样品分析时应加测不少于()的平行样。
A.5%
B.10%
C.15%
D.20%
90、填空题 湖泊富营养化控制指标()()
91、问答题 简述运行中的垃圾填埋场的主要环境影响。
92、问答题 影响大气预测准确度的因素有哪些?
93、问答题 环境影响评价基本内容?
94、多项选择题 对工矿企业环境噪声现状水平调查方法包括()
A.现有车间,重点为处于85D.B.以上的噪声源分布及声级分析
B.厂区内一般采用网格法布点测量
C.厂界噪声水平测量点布置在厂界外lm处,间隔为50~100m
D.生活居住区,可以用网格法,也可以针对敏感目标监测
95、多项选择题 防治地下水污染的措施有()
A.采补平衡,持续利用
B.浅层为主,深层适度,咸淡结合
C.合理调控,以丰补歉
D.综合规划,科学管理
96、多项选择题 按照对建设项目所排放污水中拟预 测的污染物类型及某类污染物中水质参数的多少,建设项目所排放污水水质的复杂程度可划分为()。
A、复杂
B、一般
C、中等
D、简单
97、填空题 环境质量监测项目的选择要遵循优先()优先监测的原则。
98、多项选择题 非正常排放一般包括的内容有()
A.非正常凯、停车或部 分设备检修时排放的污染物
B.正常开、停车或部分设备检修时排放的污染物
C.工艺设备或环保设施达不到设计规定指标运行时的排污
D.工艺设备或环保设施达到设计规定指标运行时的排污
99、名词解释 非守恒污染物
100、多项选择题 水污染防治法有如下规定正确的是()
A.禁止利用渗井、深坑裂隙和溶洞排放倾倒含有毒物的废水,含病原体的污水和其他废弃物
B.多层地下水的含水层水质差异大的,应当分层开采;对易受污染的潜水和承压水,不得混合开采
C.兴建地下工程设施或者进行地下勘探、采矿等活动,应当采取防护性措施,防治地下水污染
D.人工回灌补给地下水,不得恶化地下质