时间:2017-10-01 18:23:24


1、单项选择题 考虑荷载偏心及倾斜影响的极限承载力计算公式为:
	A.太沙基公式
	B.魏锡克公式
	C.赖斯纳公式
	D.普朗特尔公式
2、填空题 朗肯土压力理论的基本出发点是根据半无限土体中各点应力处于()状态,由平衡条件求解土压力。
3、问答题 某挡土墙高5m,墙背直立、光滑、墙后填土面水平,作用有连续均布荷载q=20kPa,土的物理力学性质如图8-5所示,试求主动土压力。
4、问答题 某挡土墙高6m,墙背直立、光滑、墙后填土面水平,填土重度γ=18kN/m3,φ=30°,c=0kPa,试确定:(1)墙后无地下水时的主动土压力;(2)当地下水位离墙底2m时,作用在挡土墙上的总压力(包括水压力和土压力),地下水位以下填土的饱和重度为19kN/m3。
5、问答题
	计算如图所示桥墩下地基的自重应力及附加应力。已知桥墩的构造如图。作用在基础中心的荷载:N=2520kN,H=0,M=0。地基土的物理及力学性质见下表:
	
	 
	
6、填空题 安全保护装置是当操作者一旦进入()时,能直接对操作者进行()的机构。
7、问答题
	如图所示矩形面积(ABCD)上作用均布荷载p=150kpa,试用角点法计算G点下深度6m处M点的竖向应力σz值。
	
8、填空题 朗肯土压力理论的假定是()、()。
9、填空题 计算车辆荷载引起的土压力时,∑G应为挡土墙的()长度与挡土墙后填土的()长度乘积面积内的车轮重力。
10、问答题
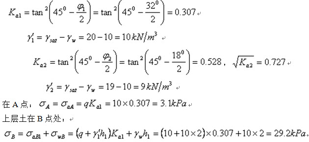
某挡土墙高6m,墙背直立、光滑、墙后填土面水平,填土分两层,第一层为砂土,第二层为粘性土,各层土的物理力学性质指标如图8-4所示,试求:主动土压力强度,并绘出土压力沿墙高分布图。
	
11、问答题 挡土墙的位移及变形对土压力有何影响?
12、单项选择题 符合朗金条件,挡土墙后填土发生主动破坏时,滑动面的方向如何?()
	A.与水平面夹角呈45°
	B.与水平面夹角呈45°
	C.与水平面夹角呈45°
13、单项选择题 当墙后填土处于主动朗肯状态时,滑动面与水平面的夹角为()。
	A.45°-φ/2
	B.45°
	C.45°+φ/2
	D.90°
14、单项选择题 如果在外力作用下,墙推挤土体,使土体达到极限平衡状态,这时作用在墙上的土压力是何种土压力?()
	A.被动土压力
	B.主动土压力
	C.静止土压力
15、单项选择题 当地下水位从地表处下降至基底平面处,对土中附加应力有何影响?
	A.附加应力增加
	B.附加应力减少
	C.附加应力不变
16、填空题 变形观测是测定建筑物及其地基在建筑物荷载和()下随时间而变形的工作。
17、问答题 比较朗肯土压力理论和库仑土压力理论的基本假定及适用条件。
18、判断题 按哪一种土压力(主动、静止或被动土压力)计算完全取决于挡土墙的位移方向(向前、静止不动或向后位移)。
19、单项选择题 按库仑理论计算作用在墙上的土压力时,墙背面是粗糙的好还是光滑的好?()
	A.光滑的好
	B.都一样
	C.粗糙的好
20、问答题 某挡土墙高5m,墙背直立、光滑、墙后填土面水平,填土重度γ=19kN/m3,φ=30°,c=10kPa,试确定:(1)主动土压力强度沿墙高的分布;(2)主动土压力的大小和作用点位置。
21、填空题 挡土墙达到主动土压力时所需的位移()挡土墙达到被动土压力时所需的位移。
22、问答题
	高度为8m的挡土墙,墙背直立、光滑,墙后填土面水平,填土面上有均布荷载q=20kPa。填土分为两层,地表下3.5m范围内土层γ1=18.5kN/m3,c1=15kPa,φ1;3.5~8m内土层γsat=20.0kN/m3,c2=10kPa,φ2=25°,地下水位在土层分界处。试求:
	(1)为测量作用在墙背上的主动土压力,土压力盒的最小埋置深度应是多少?
	(2)作用在墙背上的总侧压力及作用点位置。
23、单项选择题 临塑荷载Pcr是指塑性区最大深度Zmax为下列中的哪一个对应的荷载:
	A.Zmax=0
	B.Zmax=1/4
	C.Zmax=b/4
	D.Zmax=l/4
24、问答题
如右上图所示条形分布荷载p=150kpa,计算G点下3m处的竖向压力值。
	
25、判断题 墙后填土愈松散,其对挡土墙的主动土压力愈小。
26、问答题
	试计算图8-1所示地下室外墙上的土压力分布图、合力大小及其作用点位置。
	 
	
27、问答题 何为重力式挡土墙?
28、单项选择题 挡土墙后填土的内摩擦角φ、内聚力C大小不同,对被动土压力EP大小的影响是:
	A.φ越大、C越小,EP越大
	B.φ越大、C越小,EP越小
	C.φ、C越大,EP越大
	D.φ、C越大,EP越小
29、单项选择题 按朗肯土压力理论计算挡土墙的主动土压力时,墙背是何种应力平面?()。
	A.大主应力作用面
	B.小主应力作用面
	C.滑动面
	D.与大主应力作用面呈45°角
30、单项选择题 产生三种土压力所需的挡土墙位移值,最大的是()。
	A.产生主动土压力所需的位移值
	B.产生静止土压力所需的位移值
	C.产生被动土压力所需的位移值
31、单项选择题 库伦土压力理论通常适用于()。
	A.粘性土
	B.无粘性土
	C.各类土
32、判断题 库伦土压力理论可以计算墙后填土为成层土的情况。
33、单项选择题 挡土墙后的填土应该密实些好,还是疏松些好?为什么?()
	A.填土应该疏松些好,因为松土的重度小,土压力就小
	B.填土应该密实些好,因为土的大,土压力就小
	C.填土的密实度与土压力大小无关
34、单项选择题 均质粘性土被动土压力沿墙高的分布图为:
	A.矩形
	B.梯形
	C.三角形
	D.倒梯形
35、单项选择题 在相同条件下,三种土压力之间的大小关系是()。
	A.Ea<E0<Ey
	B.Ea<Ey<E0
	C.E0<Ea<Ey
	D.E0<Ey<Ea
36、问答题 某挡土墙高4m,墙背倾斜角α=20°,填土面倾角β=10°,填土重度γ=20kN/m3,φ=30°,c=0,填土与墙背的摩擦角δ=15°,如图8-3所示,试按库仑理论求:(1)主动土压力大小、作用点位置和方向;(2)主动土压力强度沿墙高的分布。
37、单项选择题 若挡土墙的墙背竖直且光滑,墙后填土面水平,粘聚力c=0,采用朗肯解和库仑解,得到的主动土压力有何差异?()
	A.朗肯解大
	B.库仑解大
	C.相同
38、单项选择题 地基的临塑荷载随
	A.φ、C、q的增大而增大。
	B.φ、C、q的增大而减小。
	C.φ、C、q、γ、b的增大而增大。
	D.φ、C、q、γ、b的增大而减小。
39、单项选择题 地基破坏时滑动面延续到地表的破坏形式为:
	A.刺入式破坏
	B.冲剪式破坏
	C.整体剪切破坏
	D.局部剪切破坏
40、填空题 整体剪切破坏发生时,有()滑动面形成,基础()急剧增加。
41、单项选择题 对墙背粗糙的挡土墙,按朗肯理论计算的主动土压力将()。
	A.偏大
	B.偏小
	C.基本相同
42、单项选择题 用朗肯土压力理论计算挡土墙土压力时,适用条件之一是什么()。
	A.墙后填土干燥
	B.墙背粗糙
	C.墙背直立
	D.墙背倾斜
43、单项选择题 某墙背倾角α为10°的仰斜挡土墙,若墙背与土的摩擦角δ为10°,则主动土压力合力与水平面的夹角为:
	A.0°
	B.10°
	C.20°
	D.30°
44、问答题 已知某一矩形基础,宽为2m,长为4m,基底附加应力为80kpa,角点下6m处竖向附加应力为12.95kpa,现另一基础,宽为4m,长为8m,基底附加应力为90kpa,试问该基础中心线下6m处竖向附加应力是多少?
45、单项选择题 已知一宽度为2m,长为4m和另一宽为4m,长为8m的矩形基础,若两基础的基底附加应力相等,则两基础角点下竖向附加应力之间有何关系?
	A.两基础角点下z深度处的竖向应力分布相同
	B.小尺寸基础角点下z深度处应力与大尺寸基础角点下2z深度处应力相等
	C.大尺寸基础角点下z深度处应力与小尺寸基础角点下2z深度处应力相等
46、判断题 库伦土压力理论假设墙后填土填土中的滑动破裂面是平面,且通过墙踵。
47、填空题
静止土压力E0属于()平衡状态,而主动土压力Ea及被动土压力Ey属于()平衡状态,它们三者大小顺序为()。
49、单项选择题 如在开挖临时边坡以后砌筑重力式挡土墙,合理的墙背形式是:
	A.直立
	B.俯斜
	C.仰斜
	D.背斜
50、单项选择题 根据库仑土压力理论,挡土墙墙背的粗糙程度与主动土压力Ea的关系为:
	A.墙背越粗糙,Ka越大,Ea越大
	B.墙背越粗糙,Ka越小,Ea越小
	C.墙背越粗糙,Ka越小,Ea越大
	D.Ea数值与墙背粗糙程度无关
51、单项选择题 在影响挡土墙土压力的诸多因素中,()是最主要的因素。
	A.挡土墙的高度
	B.挡土墙的刚度
	C.挡土墙的位移方向及大小
	D.挡土墙填土类型
52、单项选择题 某墙背光滑、垂直,填土面水平,墙高6m,填土为内摩擦角φ=30°、粘聚力C=8.67KPa、重度γ=20KN/m3的均质粘性土,作用在墙背上的主动土压力合力为:
	A.60KN/m
	B.75KN/m
	C.120KN/m
	D.67.4KN/m
53、单项选择题 当挡土墙向离开土体方向偏移至土体达到极限平衡状态时,作用在墙上的土压力称为()。
	A.主动土压力
	B.被动土压力
	C.静止土压力
54、问答题 在哪些实际工程中,会出现主动、静止或被动土压力的计算?试举例说明。【华南理工大学2006年攻读硕士学位研究生入学考试试卷】
55、单项选择题 整体剪切破坏通常在下列哪种地基中发生?
	A.埋深浅、压缩性低的土层
	B.埋深浅、压缩性高的土层
	C.埋深大、压缩性低的土层
	D.埋深大、压缩性高的土层
56、问答题 某挡土墙高6m,墙背直立、光滑、墙后填土面水平,填土重度γ=18kN/m3,φ=30°,c=0kPa,试确定:(1)墙后无地下水时的主动土压力;(2)当地下水位离墙底2m时,作用在挡土墙上的总压力(包括水压力和土压力),地下水位以下填土的饱和重度为19kN/m3。
57、单项选择题 设计地下室外墙时,土压力一般按()计算。
	A.主动土压力
	B.被动土压力
	C.静止土压力
	D.静水压力
58、填空题 当墙后填土达到主动朗肯状态时,填土破裂面与水平面的夹角为()。
59、单项选择题 当挡土墙后的填土处于主动极限平衡状态时,挡土墙()。
	A.在外荷载作用下推挤墙背土体
	B.被土压力推动而偏离墙背土体
	C.被土体限制而处于原来的位置
	D.受外力限制而处于原来的位置
60、单项选择题 下列指标或系数中,哪一个与库伦主动土压力系数无关?()。
	A.γ
	B.α
	C.δ
	D.φ
61、问答题 静止土压力的墙背填土处于哪一种平衡状态?它与主动、被动土压力状态有何不同?
62、问答题 在哪些实际工程中,会出现主动、静止或被动土压力的计算?试举例说明。【华南理工大学2006年攻读硕士学位研究生入学考试试卷】
63、单项选择题 某墙背直立、光滑,填土面水平的挡土墙,高4m,填土为内摩擦角φ=20°、粘聚力C=10KPa、重度γ=17KN/m3的均质粘性土,侧向压力系数K0=0.66。若挡土墙没有位移,作用在墙上土压力合力E0大小及其作用点距墙底的位置h为:
	A.E0=52.64kN/m、h=2.67m
	B.E0=52.64kN/m、h=1.33m
	C.E0=80.64kN/m、h=1.33m
	D.E0=89.76kN/m、h=1.33m
64、单项选择题 采用条形荷载导出的地基界限荷载计算公式用于矩形底面基础设计时,其结果:
	A.偏于安全
	B.偏于危险
	C.不能采用
	D.安全度不变
65、单项选择题 在粘性土中挖土,最大直立高度为()。
	A.z=2c·tan(45°-φ/2)/γ
	B.z=2c·tan(45°+φ/2)/γ
	C.z=2c·cot(45°-φ/2)/γ
66、单项选择题 当挡土墙后的填土处于被动极限平衡状态时,挡土墙()。
	A.在外荷载作用下推挤墙背土体
	B.被土压力推动而偏离墙背土体
	C.被土体限制而处于原来的位置
	D.受外力限制而处于原来的位置
67、单项选择题 粘性土地基上的条形基础,若埋深相同,地基的极限荷载与基础宽度、地基破坏类型之间存在的关系为:
	A.基础宽度大、发生整体剪切破坏的地基极限荷载大
	B.基础宽度小、发生整体剪切破坏的地基极限荷载大
	C.基础宽度大、发生局部剪切破坏的地基极限荷载大
	D.基础宽度小、发生局部剪切破坏的地基极限荷载大
68、单项选择题 库仑土压力理论通常适于哪种土类?()
	A.粘性土
	B.砂性土
	C.各类土
69、判断题 地基土受压时间越长,地基变形则越大,孔隙水压力也越大。
70、问答题 为什么挡土墙墙后要做好排水设施?地下水对挡土墙的稳定性有何影响?
71、判断题 朗肯土压力理论的基本假设是:墙背直立、粗糙且墙后填土面水平。
72、填空题 人们常说朗肯土压力条件是库仑土压力条件的一个特殊情况,这是因为此时()、()、()三者全为零。
73、单项选择题 按朗肯土压力理论计算挡土墙背面上的被动土压力时,墙背是何种应力平面?()
	A.大主应力作用面
	B.小主应力作用面
	C.滑动面
74、判断题 作用在地下室外墙上的土压力也可以按被动土压力计算。
75、判断题 当挡土墙向离开土体方向移动或转动时,作用在墙背上的土压力是主动土压力。
76、问答题
高度为6m的挡土墙,墙背直立、光滑,墙后填土面水平,其上作用有均布荷载q=20kPa。填土分为两层,上层填土厚2.5m,γ1=16kN/m3,c1=12kPa,φ1=20°,地下水位在填土表面下2.5m处与下层填土面齐平,下层填土γsat=20kN/m3,c2=10kPa,φ2=35°。试作出墙背主动土压力分布图,并求作用在墙背上的总侧压力合力的大小和作用点位置。
77、问答题 某重力式挡土墙高6.1m,墙背垂直、光滑,墙后填土面水平。填土为中砂,其内摩擦角为300,重度为17.3kN/m3。试按楔体法求主动土压力合力的大小。
78、判断题 墙背和填土之间存在的摩擦力将使主动土压力减小、被动土压力增大。
79、单项选择题 已知土层的饱和重度为rsat干重度为rd,在计算低级沉降时,采用以下哪个公式计算地基土地下水位以下的自重应力?
	A.Σziγsat
	B.Σziγdi
	C.Σzi(rsat-rw)
80、问答题 一矩形基础,宽为3m,长为4m,在长边方向作用一偏心荷载F+G=1200kN。偏心距为多少时,基底不会出现拉应力?试问当Pmin=0时,最大压力为多少?
81、判断题 土中附加应力的计算公式为σz=Kp0,因此在同样的地基上,基底附加应力相同的两个建筑物,其沉降值应相同。
82、单项选择题 相同条件下,作用在挡土构筑 物上的主动土压力、被动土压力、静止土压力的大小之间存在的关系是:
	A.EP>Ea>Eo
	B.Ea>EP>Eo
	C.EP>Eo>Ea
	D.Eo>EP>Ea
83、填空题 库伦土压力理论的基本假定为()、()、()。
84、填空题 地下室外墙所受到的土压力,通常可视为()土压力,拱形桥桥台所受到的一般为()土压力,而堤岸挡土墙所受的是()土压力。
85、判断题 在任何情况下,土体的自重应力都不会引起地基沉降。
86、单项选择题 有明显三个破坏阶段的地基破坏型式为:
	A.刺入式破坏
	B.冲剪式破坏
	C.整体剪切破坏
	D.局部剪切破坏
87、问答题 试阐述主动、静止、被动土压力的定义和产生的条件,并比较三者的数值大小。【湖北工业大学2005年招收硕士学位研究生试题、长安大学2005、2006年硕士研究生入学考试试题(A卷)】
88、问答题
	某挡土墙高5m,墙背竖直光滑,填土面水平,
。试计算:①该挡土墙主动土压力分布、合力大小及其作用点位置;②若该挡土墙在外力作用下,朝填土方向产生较大的位移时,作用在墙背的土压力分布、合力大小及其作用点位置又为多少?
89、判断题 地下水位下降会增加土层的自重应力,从而引起地积沉降。
90、问答题
	某粉质粘土层位于两砂层之间,如图所示。下层砂土受承压水作用,其水头高出地面3m。已知砂土的重度(水上)r=16.5kN/m3,饱和重度rsat=18.8kN/m3;粉质粘土的饱和重度rsat=17.3kN/m3,试求土中总应力孔隙水压及有效应力,并绘图表示。
	 
	
91、填空题 在相同条件下,产生主动土压力所需的墙身位移量Δa与产生被动土压力所需的墙身位移量Δp的大小关系是()。【三峡大学2006年研究生入学考试试题】
92、单项选择题 当挡土墙静止不动,土体处于弹性平衡状态时,土对墙的压力称为()。
	A.主动土压力
	B.被动土压力
	C.静止土压力
93、单项选择题 若计算方法、填土指标相同、挡土墙高度相同,则作用在挡土墙上的主动土压力数值最大的墙背形式是:
	A.直立
	B.仰斜
	C.俯斜
	D.向斜
94、单项选择题 设计仅起挡土作用的重力式挡土墙时,土压力一般按()计算。
	A.主动土压力
	B.被动土压力
	C.静止土压力
	D.静水压力
95、单项选择题 挡土墙墙后填土的内摩擦角,对被动土压力的大小有何影响?()
	A.越大,被动土压力越大
	B.越大,被动土压力越小
	C.的大小对被动土压力无影响
96、判断题 按朗肯土压力理论计算主动土压力时,墙后填土中破裂面与水平面的夹角为45°-φ/2。
97、填空题 地基表面有较大隆起的地基破坏类型为()剪切破坏,地基表面无隆起的地基破坏类型为()剪切破坏。
98、问答题
如图8-6所示挡土墙,高4m,墙背直立、光滑,墙后填土面水平。试求总侧压力(主动土压力与水压力之和)的大小和作用位置。
	
99、单项选择题 条形均布荷载中心线下,附加应力随深度减小,其衰减速度与基础宽度b有何关系?
	A.与b无关
	B.b越大,衰减越慢
	C.b越大,衰减越快
100、问答题
	高度为H的挡土墙,墙背直立、墙后填土面水平。填土是重度为γ、内摩擦角φ=0、粘聚力为c的粘土,墙与土之间的粘聚力为ca,外摩擦角δ=0。若忽略拉裂的可能性,试证明作用于墙背的主动土压力为: