时间:2017-10-01 05:15:10


1、单项选择题 法律和合同、企业申请书分别规定有法定有效期限和受益年限的,则无形资产的有效期限为()。
A.法定有效期限
B.受益年限
C.法定有效期限和受益年限中较短者
D.10年
2、单项选择题 资产评估报告书摘要与资产评估报告书正文二者关系表述正确的是()。
A.资产评估报告书摘要的法律效力高于资产评估报告书摘要
B.资产评估报告书正文的法律效力高于资产评估报告书摘要
C.二者具有同等法律效力
D.二者法律效力的高低由当事人协商确定
3、单项选择题 在清算假设前提下要求评估资产的()。
A、继续使用价值
B、市场价格
C、清算价格
D、拍卖价格
4、单项选择题 公开市场假设常用于()的评估
A.固定资产
B.房产和土地使用权
C.机器设备
D.无形资产
5、问答题
被评估设备购建于1997年11月,账面原值为100万元,其中设备购置价80万元,基础及安装费用18万元,运杂费2万元。2000年11月对该设备进行评估,现收集到以下数据资料:
(1)2000年该类设备的购置价比1997年上涨了50%,基础及安装费的物价上涨了30%,该设备的运杂费用达到3万元。
(2)由于开工不足,该设备的实际利用率仅为正常利用率的60%,尚可使用5年。
(3)与同类技术先进设备相比,该设备预计每月工人超支额为1000元。
(4)该企业的正常投资报酬率为10%,所得税率为33%.
(1)根据上述资料,分别计算机器设备的重置成本和各项贬值指标。
(2)计算被估设备的评估值。
6、单项选择题 交易实例土地每平方米价格为2000元,待估土地的环境条件达到交易实例土地的环境条件预计需要5年,折现率为10%,则该待估土地价格为:()
A.1241.8万元
B.758.2万元
C.1379.1万元
D.2000万元
7、单项选择题 资产评估具有的最基本的内在功能是()。
A、评价和评值
B、管理
C、鉴定
D、定价
8、单项选择题 在地块面积一定的条件下,容积率越高,意味着建筑面积()
A.不变
B.增加
C.减少
D.不一定
9、单项选择题 把以联营、合资合作为目的的评估对象的作用空间限定在联营企业及合资合作企业中的假设是()。
A、公开市场假设
B、继续使用假设
C、清算假设
D、最佳使用假设
10、单项选择题 资产评估为特定资产业务提供公平的()。
A、评价标准
B、价值尺度
C、计量标准
D、交易标准
11、单项选择题 关于进行资产评估有关事项的说明应由()共同撰写。
A.评估机构与委托方
B.评估机构与资产占有方
C.委托方与资产占有方
D.委托方、资产占有方、评估机构
12、问答题 成本加和法及其应用的现实性和局限性?
13、单项选择题 下列资产中,不可确指的资产是()。
A、商标
B、专利
C、商誉
D、土地使用权
14、多项选择题 就其构成而言,折现率的基本组成部分包括()。
A.无风险报酬率
B.超额收益率
C.市场平均收益率
D.风险报酬率
E.内部收益率
15、单项选择题 某被评估资产2000年购建,账面价值12万元,账面净值6万元,2005年进行评估,已知2000年和2005年该类资产定基物价指数分别为130%和150%,由此确定该资产的重置成本为()
A.13.85万元
B.10.40万元
C.6.92万元
D.5.20万元
16、单项选择题 资产评估最基本的作用是()。
A、管理
B、咨询
C、鉴定
D、定价
17、单项选择题 三孔喷头与单孔喷头相比增大了氧气流股对熔池的冲击面积。()
A、增大了冲击深度,提高了供氧强度
B、减小了冲击深度,提高了供氧强度
C、减小了冲击深度,降低了供氧强度
18、单项选择题 一台数控机床,重置成本为200万元,已使用2年,其经济寿命为20年,现在该机床的数控系统损坏,估计修复费用为20万元,其他部分工作正常。该机床的实体性贬值额为()。
A.38万元
B.18万元
C.20万元
D.30万元
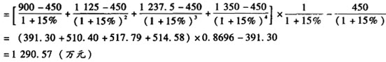
19、问答题 某企业拟购买A专利权以使本企业生产的甲种产品达到升级换代的目的,该企业实施A专利后不仅使升级后的产品市场销售量大幅度提高,而且价格也会明显上升,但同时也会引起成本的增加。已知该企业原甲种产品年销售量在6万台左右,出厂价格为每台2000元,每台全部成本及税费为1900元。经分析,甲种产品在升级后第1年销售量约为8万台,第2年约为10万台,第3年约为11万台,从第4年起至第10年的销售量将保持在12万台左右,出厂价格约为每台2300元,每台的全部成本及税费约为2150元。现委托评估机构对A专利的所有权转让价值进行评估。评估基准日为2012年1月1日。经评估人员调查得知,该专利为实用新型,2006年12月31日申请,2007年12月31日获得专利授权,该专利尚未许可他人使用,专利权所有人也未曾使用,该专利目前有效,本次为专利所有权转让,而且上述分析符合实际,但需要停产一年进行技术改造。适用所得税税率为25%,适用折现率为15%。要求: 根据上述资料,在不考虑技术改造费用及其他因素的条件下,对该专利所有权的转让价值进行评估。
20、单项选择题 关于房屋建筑物的说法不正确的是:()
A.房屋建筑物的基本组成有:基础、主体承重结构和屋顶及围护结构
B.建筑物作为商品有以下特性:不可位移性、产权边界复杂性、和功能变异性
C.对建筑物分类,能使评估人员更好的了解房屋建筑物的特点,使评估更科学
D.土地使用权划拨具有无偿性、无期限性、可转让性
21、单项选择题 评估基准日被评估企业年利润总额为1000万元,年折旧及摊销额为200万元,净资产总额为2000万元,企业适用的所得税税率为33%。同行业的同类型上市公司平均每股价格与每股净利润之比是8,平均每股销售收入与每股净资产之比为2.5,仅就上述数据分析,被评估企业的股东全部权益评估价值可能最接近于()万元。
A.4288
B.5000
C.5360
D.8000
22、单项选择题 在继续使用假设前提下要求评估资产的()。
A、继续使用价值
B、市场价格
C、清算价格
D、拍卖价格
23、单项选择题 某食品生产企业有原料配方20种,每种配方的研究、实验等费用根据现行价格分析确定平均为30000元。根据未来市场需求的分析预测,这20种配方的剩余使用年限为9年,总使用年限为15年。则评估该企业所有原料配方的总价值为()万元。
A.60
B.30
C.36
D.24
24、多项选择题 下列说法中,正确的是()。
A.在分段型股利政策下股票价值评估中,第一段是指能够较为客观地预测股票的收益期间或股票发行企业某一经营周期
B.在分段型股利政策下股票价值评估中,以不易预测收益的时间为起点,以企业持续经营到永续为第二段
C.分段型股利政策下股票价值的评估是指将两段收益现值相加得出评估值
D.股份公司的股利分配政策通常可以划分为固定红利型、红利增长型和分段型
25、单项选择题 由于外部条件的变化引起资产闲置,收益下降等而造成的资产价值损失是资产的()贬值。
A.实体性
B.经济性
C.功能性
D.内在性
26、多项选择题 价格指数法适用于()设备重置成本的估测。
A.无账面原值的
B.无现行购置价的
C.无财务核算资料的
D.无参照物的
27、单项选择题 流动资产评估的程序包括:①对具有实物形态的流动资产进行质量和技术状况调查;②对企业的债权情况进行分析;③合理选择评估方法;④评定估算流动资产 ,出具评估结论;⑤定评估对象和评估范围。其正确的排序是()。
A.①②③④⑤
B.⑤①②③④
C.⑤③②①④
D.⑤②①③④
28、问答题 被评估对象为2002年进口的A成套设备,并于当年12月31日正式投入使用。评估基准日为2010年1月1日。评估人员经调查获得以下资料及信息:(1)A设备在运行过程中由于工人操作失误导致控制中心的程控部分损坏并造成停产,至评估基准日已停产一年整,委托方希望尽快修复A设备,以便继续使用,要使A设备正常运转,必须对程控部分进行全部更换;(2)在程控部分损坏前,A设备一直满负荷运转;(3)除程控部分外,A设备其他部分均处于可正常运转状态,在停产期间由于保养良好,未发生影响使用寿命的情况;(4)经现场鉴定,除程控部分外,A设备其他部分若保持90%的负荷率可继续使用10年;(5)要更换程控部分只能向A设备原生产厂家购买;(6)在评估基准日,与被评估设备型号完全相同的新设备的离岸价为1000万美元,其中程控部分占设备价格的10%,但是如果单独购置程控部分,则其离岸价格要比成套购买时的程控部分的价格高10%,而且卖方不再负责安装调试所需费用;(7)在评估基准日,若成套进口全新A设备,海外运输保险费为21.43万美元,海外运输费为离岸价的5%,关税税率为13%,增值税税率为17%,其他进口环节费用为到岸价的3%,国内运输费为到岸价的1.5%,配套费用为到岸价的2%,设备的安装及调试费用含在设备的价格之中;(8)在评估基准日时,若单独购买程控部分,海外运输保险费为2.93万美元,海外运输费为离岸价的4%,关税、增值税及其他进口环节的各税费率及国内运输费费率不变,安装调试费用为到岸价的0.5%,不再需要配套费用;(9)被评估A设备不存在功能性及经济性贬值;(10)引进设备采取货到企业后立即付款方式;(11)评估基准日时美元对人民币的汇率为1:7。要求: 假定不考虑残值及其他因素,根据上述条件,试评估被评估设备的价值。
29、单项选择题 不属于普通股评估类型的是:()
A.年金化模型
B.红利增长模型
C.分段式模型
D.固定红利模型
30、单项选择题 资产评估是判断资产价值的经济活动,评估值是资产的()。
A、时期价值
B、时点价值
C、时区价值
D、阶段价值
31、单项选择题 决定被评资产评估值的最基本的因素是()。
A、资产社会的社会必要劳动
B、资产的预期效用
C、资产的历史收益水平
D、资产的账面价值
32、单项选择题 某设备的年收益额为10万元,适用本金化率为10%,则该设备的评估价值为()
A、110万元
B、150万元
C、100万元
D、50万元
33、单项选择题 清算价格与现行市价相类似,所不同的是清算价格适用于停业或破产。因此,清算价格往往()现行市场价。
A.高于
B.低于
C.等于
34、单项选择题 在A、B两组人群中进行筛选,假定筛选试验的灵敏度和特异度是已知的,A人群患病率为10%,B人群为1%,则下列哪种结论是正确的()
A.A人群阳性结果者中假阳性者所占比例低于B人群
B.A人群阳性结果者中真阳性的比例低于B人群
C.A人群中可靠性高于B人群
D.A人群中特异度低于B人群
E.A人群中灵敏度高于B人群
35、单项选择题 木脚手板搭接铺时,两块板端头的搭接长度应不小于()。
A.10cm
B.15cm
C.20cm
D.25cm
36、单项选择题 我国的资产评估基本上形成了以()及其方法为主的评估技术特点。
A.收益途径
B.收入途径
C.成本途径
D.市场途径
37、单项选择题 企业存在不可确指的无形资产。分别按单项评估加总的方法和整体评估的方法所得到的评估结果会有一个差额,这个差额通常被称作()。
A.商标
B.专利权
C.专营权
D.商誉
38、多项选择题 下列说法正确的有:()
A.功能价值法是假设资产的成本与其生产能力呈线性关系,生产能力越大、成本越高,而不是成等比例变化
B.规模价值法假设资产的成本与其生产能力不呈线性关系,但是生产能力越大、成本越高,而不是成等比例变化
C.计算功能性贬值时,如果重置成本是复原重置成本,则功能性贬值包括超额投资成本和运营性贬值
D.运用使用年限法计算成新率时,不能使用会计年限
39、单项选择题 由发起人共同出资设立,共同经营,对债务承担无限连带责任的资产评估机构的组成形式是()。
A、业主制
B、合伙制
C、有限责任制度
D、股份有限制
40、多项选择题 建筑物评估中关于市场法说法正确的有()
A.建筑物评估中市场法主要有两种方法:交易实力比较法和基准价格对照法
B.建筑物评估中市场法主要有两种方法:直接法和间接法
C.区域因素修正有三种方法:双百分制比较法,十等份因素比较法和环境成熟度修正法
D.建筑物评估中市场法对个别因素修正时,主要采用售价调整法,一般由简单平均法和加权平均法
E.个别因素是决定相同区域房地产出现差异的依据
F.区域因素的修正是市场法的关键和难点之一
41、单项选择题 甲、乙企业拟各投一部分资产组成一个新的公司,甲企业以某项技术投资,该技术的重置成本为200万元,企业无形资产成本利润率为500%,乙企业以部分有形资产投资,有形资产的重置成本为5000万元,成本利润率为15%。甲企业投资的无形资产的利润分成率为()
A.3.85%
B.18.46%
C.17.27%
D.28.57%
42、单项选择题 资产评估必须按照统一的公允的准则和技术规范执业,这是资产评估公正性的()
A.组织基础
B.制度基础
C.技术基础
D.思想基础
43、单项选择题 要在Word中建一个表格式简历表,最简单的方法是()。
A、用插入表格的方法
B、用绘图工具进行绘制
C、在新建中选择简历向导中的表格型向导
D、在“表格”菜单中选择表格自动套用格式
44、单项选择题 某企业的预期年收益额为16万元,该企业各单项资产的重估价值之和为60万元,企业所在行业的平均收益率为20%。以此作为适用本金化率计算出的商誉的价值为()。
A.10万元
B.20万元
C.30万元
D.40万元
45、单项选择题 下列各项中,()不属于注册资产评估师注册管理办法规定,予以撤销注册,收回注册资产评估师证书的。
A.不具有完全民事行为能力的
B.停止执行资产评估业务满12个月的
C.受刑事处罚的
D.受谈话提醒的
46、问答题 李某系A资产评估公司的注册资产评估师、部门经理和项目负责人,于2011年5月8日与甲企业商讨房地产评估事宜。由于李某曾于2008年5月~2009年10月在甲企业财务部门任经理,双方比较熟悉,故甲企业以该企业房地产平均每平方米评估价值不低于8000元为条件,决定是否委托A评估公司进行评估。李某为了评估公司的利益,口头承诺了甲企业的要求,并接受了甲企业的评估委托。李某按照资产评估协议书的要求在5日内完成了对甲企业房地产的评估,评估结果为每平方米7300元。因李某曾对甲企业有过口头承诺,即不动产评估值不低于每平方米8000元。李某认为7300元/平方米与8000元/平方米之差并未超过10%,属于正常误差范围,而且资产评估本身就是一种估计,带有咨询性质,故以每平方米8000元出具了评估报告;并打电话给本所已在外地开会一周的注册资产评估师周某,得到允许后,加盖李某本人和周某的注册资产评估师印鉴并签字,又以项目负责人的名义签字,加盖公章出具了资产评估报告书,交与甲企业;同时将该评估报告书送给在乙企业当顾问的评估界专家赵某一份。要求: 根据以上背景资料,指出4处违反资产评估行业规范的行为,并说明理由。
47、单项选择题 运用加和法评估企业价值时,对于持续经营假设前提下的各单项资产的评估,应遵循()。
A.替代原则
B.贡献原则
C.供求原则
D.预期原则
48、问答题 待估企业预计未来5年的预期收益额分别为100万元,110万元,105万元,110万元和110万元,假定折现率和资本化率均为10%,该企业可确指的各单项资产评估后的价值之和为1100万元。要求:1.采用年金法确定该企业整体资产评估价值。2.该企业是否有商誉?为什么?(计算结果保留小数点后两位)
49、多项选择题 市场价值以外的价值包括()。
A.再用价值
B.投资价值
C.保险价值
D.持续经营价值
E.清算价值
50、多项选择题&n 91ExaM.orgbsp; 关于低值易耗品的评估说法正确的有()
A.在库低值易耗品的评估,可以采用与库存材料评估相同的方法
B.在用低值易耗品的评估,采用成本法进行评估
C.在用低值易耗品采用成本法时,一般不考虑其功能性损耗和经济性损耗
D.低值易耗品评估时候,要注意区分出低值易耗品和固定资产的界限
51、单项选择题 资产评估结果的价值类型与()直接相关。
A、评估的特定目的
B、评估方法
C、评估程序
D、评估基准日
52、单项选择题 一般讲,资产评估就是对资产某一()的估算。
A、时点价值
B、时期价值
C、未来价值
D、过去价值
53、问答题 某地块是通过城镇土地出让取得的,出让金为10万元/亩,拆迁费5万元/亩,其他费用(含税费)3万元/亩,开发费3亿元/平方公里。当地银行一年期贷款利率为9%,两年期为10%,开发周期为两年,第一年投资占总投资的75%,利润为10%,试计算熟地的价格(注明:一亩=667平方)
54、单项选择题 对评估结果价值类型的选择必须要考虑()因素。
A.评估方法
B.评估计划
C.评估目的
D.行业管理
55、单项选择题 被评估对象为一经营性资产,经评估人员分析预测,该资产评估基准日后第一年预期净收益为50万元,以后每年递增5万元,假设折现率为10%,收益期为20年,该资产的评估价值最接近于()万元。
A.550
B.700
C.1000
D.1150
56、单项选择题 通常把资产业务对评估结果用途的具体要求称为资产评估的()
A、一般目的
B、特定目的
C、评估原则
D、评估假设
57、问答题 1993年购入一套设备,账面原值100万元,1996年花费4万元更新,1999年又用5万元改进其功能,预计尚可使用10年。该设备正常运作需要10人,年均工资6000元/人,材料消耗折合人民币100万元,能耗折合人民币10万元。目前的新式设备仅需7人,且料耗和能耗,均可节约10%。另外,从1993年至2001年间年物价上涨率10%,规模指数0.7,适用折现率8%,所得税率33%。(P/A,8%,10)=6.710 要求:根据以上资料估算该设备2001年的价格
58、单项选择题 对商业用房价格影响最大的因素是()
A.环境质量度
B.繁华程度
C.交通条件
D.规划限制
59、单项选择题 资产评估的客体是被评估资产,是资产评估的具体对象,也叫()。
A、资产评估方向
B、资产评估范围
C、资产评估地点
D、资产评估内容
60、多项选择题 关于资产评估的价值类型说法正确的有:()
A.资产评估的价值与资产评估的价值类型是同一含义。
B.资产评估有四种价值类型:公开市场价值、投资价值、重置价值、清算价格。
C.价值类型指资产评估价值的质的规定性,表明价值的内涵和外延。而资产评估价值是资产评估的结果,是价值类型、市场环境和技术参数共同影响的,而且后两者对评估价值的影响是由于方法运用形成的
D.清算价格一般低于市场价格,取决于资产的通用性和清算时间的限制
E.投资价值以资产的收益能力为依据评估资产价值,而重置成本是从投入角度评估的产的价值
F.企业的收益率超过行业平均收益率,其投资价值就会低于重置价值
61、填空题 1949年9月27日,中国人民政治协商会议第一届全体会议作出决议,中华人民共和国定都()
62、单项选择题 某企业2000年10月发生大修理费用2万元,计入待摊费用帐户,2000年10月在对该企业流动资产进行评估时,该项待摊费用的评估值应()
A.大于2万元
B.小于2万元
C.等于2万元
D.为零
63、单项选择题 继续使用假设说明了资产在评估时点及评估过程中的()。
A、价值
B、用途
C、状态
D、功能
64、单项选择题 某待评估住宅建筑物与参照住宅建筑物相比而言,室内格局更加合理,由此引起待评估住宅的价格比参照交易住宅的价格高15%,室内格局因素修正系数为()
A.100/115
B.85/100
C.115/100
D.100/85
65、单项选择题 下列因素中,()是决定资产评估结果价值类型的重要条件之一。
A.评估中使用的评估方法
B.评估中遵循 91EXAm.org的评估原则
C.评估中执行的评估程序
D.评估中依据的市场条件
66、多项选择题 矿产资源开发采矿的经济寿命取决于()。
A.设计能力
B.矿产储量
C.生产规模
D.开采难度
67、多项选择题 刘某因不缴纳乡政府非法征收的费用,被乡政府非法拘禁4天。对此,刘某应通过哪些途径请求国家赔偿?()
A.必须先向乡政府请求国家赔偿,对乡政府的决定不服再向人民法院提起赔偿诉讼
B.可以在向县人民政府申请复议时一并提出赔偿请求
C.可以在向县人民法院提起行政诉讼时一并提出赔偿请求
D.可以先向乡政府请求赔偿,不服乡政府决定再向县人民政府申请复议
68、单项选择题 与企业的超额获利能力密切相关的无形资产是()
A.商标
B.专利权
C.专有技术
D.商誉
69、单项选择题 具有过渡性、辅助性的资产评估作用是()。
A、评价作用
B、管理作用
C、鉴证作用
D、定价作用
70、多项选择题 关于土地使用权的说法不正确的有:()
A.土地使用权属于无形资产
B.土地的特性指得是土地的自然特性
C.土地使用权价值主要取决于它的载体,即土地的特性和条件
D.我国土地的所有权属于国家
71、单项选择题 关于资产评估报告书摘要与资产评估报告书正文二者关系表述正确的是()。
A.资产评估报告书摘要的法律效力高于资产评估报告书正文
B.资产评估报告书摘要的法律效力低于资产评估报告书正文
C.二者具有同等法律效力
D.二者法律效力无直接的关系
72、多项选择题 复原重置成本与更新重置成本的差异在于()
A.功能不同
B.成本构成不同
C.价格标准不同
D.材料、标准、技术等不同
73、单项选择题 被评估设备购建于1993年,账面原值50万元,1998年对该设备进行技术改造,投资12万元,2000年对该设备进行评估,经调查,该类设备1993年、1998年及2000年的定基物价指数分别为100%、125%和130%,则该设备的加权投资年限为()
A.6.19年
B.6.03年
C.6.06年
D.6.23年
74、单项选择题 在公开市场假设条件下要求评估资产的()。
A、继续使用价值
B、市场价格
C、清算价格
D、拍卖价格
75、填空题 MEG磁场主要来源于()。