时间:2016-03-06 20:46:54
2013硕士研究生入学考试
数学一
1.已知极限
,其中k,c为常数,且
,则( )
A.
B.
C.
D.
2.曲面
在点
处的切平面方程为( )
A.
B.
C.
D. ![]()
3.设
,
,令
,则
( )
A .
B.
C.
D. ![]()
4.设
,
,
,
为四条逆时针方向的平面曲线,记
,则![]()
A.
B.
C.
D ![]()
5.设A,B,C均为n阶矩阵,若AB=C,且B可逆,则( )
A.矩阵C的行向量组与矩阵A的行向量组等价
B矩阵C的列向量组与矩阵A的列向量组等价
C矩阵C的行向量组与矩阵B的行向量组等价
D矩阵C的列向量组与矩阵B的列向量组等价
6.矩阵
与
相似的充分必要条件为( )
A.
B.
为任意常数
C.
D.
为任意常数
7.设
是随机变量,且
,
,
,
,则( )
A.
B.
C.
D![]()
8.设随机变量
,
,给定
,常数c满足
,则
( )
9.设函数y=f(x)由方程y-x=ex(1-y) 确定,则
= 。
10.已知y1=e3x –xe2x,y2=ex –xe2x,y3= –xe2x是某二阶常系数非齐次线性微分方程的3个解,则该方程的通解y= 。
11.设
。
12.
。
13.设A=(aij)是3阶非零矩阵,
为A的行列式,Aij为aij的代数余子式.若aij+Aij=0(i,j=1,2,3),则|A|= 。
14.设随机变量Y服从参数为1的指数分布,a为常数且大于零,则P{Y≤a+1|Y>a}=
三.解答题:
(15)(本题满分10分)
计算
,其中f(x)=![]()
(16)(本题10分)
设数列{an}满足条件:
S(x)是幂级数
![]()
(1)证明:![]()
(2)求![]()
(17)(本题满分10分)
求函数
.
(18)(本题满分10分)
设奇函数f(x)在
上具有二阶导数,且f(1)=1,证明:
(I)存在![]()
(Ⅱ)存在![]()
19.(本题满分10分)
设直线L过A(1,0,0),B(0,1,1)两点将L绕z轴旋转一周得到曲面
,
与平面
所围成的立体为
。
(1) 求曲面
的方程;
(2) 求
的形心坐标。
20.(本题满分11分)
设
,当a,b为何值时,存在矩阵C使得AC-CA=B,并求所有矩阵C。
21.(本题满分11分)
设二次型
,记
,
。
(1) 证明二次型f对应的矩阵为
;
(2) 若
正交且均为单位向量,证明f在正交变换下的标准形为
。
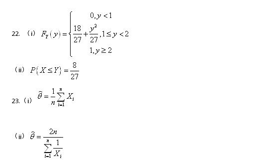
22.(本题满分11分)
设随机变量X的概率密度为
令随机变量
(1) 求Y的分布函数;
(2) 求概率
.
23.(本题满分11分)
设总体X的概率密度为
其中
为未知参数且大于零,
为来自总体X的简单随机样本。
(1) 求
的矩估计量;
(2) 求
的最大似然估计量。
参考答案:


