时间:2020-01-16 07:35:41
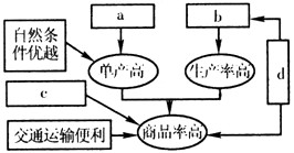
1、单选题 商品谷物农业是一种面向市场的农业地域类型,其基本特征是生产规模大、机械化程度高、商品率高。下图为“商品谷物农业区位条件示意图”。读图回答下题。
图中a、b、c、d与下列区位条件对应正确的是①农业科技先进②人均耕地面积大③机械化水平高④市场广阔
[? ]
A、a—①、b—②、c—③、d—④
B、a—②、b—①、c—④、d—③
C、a—①、b—③、c—④、d—②
D、a—②、b—④、c—③、d—①
2、单选题 我国农业耕作方式的“东耕西牧”,粮食作物分布的“北麦南稻”以及糖料作物的“南蔗北甜”的分布特点,反映出农业生产活动具有(?)
A.季节性
B.周期性
C.地域性
D.计划性
3、判断题 平原地区适宜发展林牧业,而山地丘陵地区适宜发展种植业。
[? ]
4、单选题 读图,完成问题。
小题1:图中甲至己符合东亚(中国、日本、朝鲜、韩国、蒙古)典型农业生产模式的农
业地域类型是
A.甲
B.乙
C.丙
D.丁
小题2:结合该图,下列说法不正确的是
A.丁农业类型在中国西部地区分布较为广泛
B.甲农业类型是季风水田农业
C.乙农业类型在东亚的特点是单产高,商品率低
D.甲农业类型在中国主要表现为国营化农场
5、单选题 读我国四种农作物的分布图,据此回答29-30题。
小题1:这四种农作物分别是
A.①甘蔗、②小麦、③油菜、④花生?
B.①甜菜、②油菜、③水稻、④棉花
C.①甘蔗、②水稻、③棉花、④油菜?
D.①甜菜、②小麦、③水稻、④花生
小题2:下列诗句中,最能体现甲处景观特点的是
A.江做青罗带,山如碧玉簪
B.孤舟蓑笠翁,独钓寒江雪
C.大漠孤烟直,长河落日圆?
D.八月十八潮,壮观天下无