时间:2020-01-16 07:29:22
1、单选题 读“地壳物质循环简略图示”,回答1—2题。
1、图中各数字代表的地质作用,属于沉积和变质作用的编号分别是
[? ]
A、⑤⑦和⑥⑧
B、⑥②和⑤⑧
C、③④和①②
D、⑤⑧和⑥⑦
2、作为重要建筑材料的花岗岩和大理岩在成因上分别属于
[? ]
A、岩浆岩和沉积岩
B、岩浆岩和变质岩
C、沉积岩和变质岩
D、变质岩和沉积岩
参考答案:1、D
2、B
本题解析:
本题难度:一般
2、单选题 读海南岛三亚“天涯石”景观图,回答下题。
【小题1】图中巨石的形成与下列哪个因素无关( )
A.风化作用
B.海蚀作用
C.风蚀作用
D.变质作用
【小题2】三亚是全国大气环境质量最好的城市之一,最重要原因是( )
A.工业污染小
B.森林覆盖率高
C.临海,空气净化快
D.市民环保意识强
参考答案:
【小题1】D
【小题2】A
本题解析:
【小题1】沿海地带形成的巨石,主要是由于海浪的侵蚀作用形成的,后经风吹、日晒、雨淋等风化作用和海岸带的风力侵蚀形成圆浑状,与变质作用无关。选D正确。
【小题2】三亚地处海南岛的最南端,临海,当地主导产业是旅游业,无其他工业污染。选A正确。
考点:主要考查外力作用及影响环境因素。
本题难度:一般
3、综合题 阅读材料,回答下列问题。
材料一 陆地的河流流速比较急,带着上游冲刷下来的泥沙流到宽阔的海洋后,流速慢了下来,泥沙就沉积在河口附近,积年累月,越积越多,逐步形成高出水面的陆地,这就叫河口冲积岛。
材料二 长江三角洲历史演变图。
材料三 青藏高原一直是一个神秘的地方,如今科学家惊奇地发现这个世界最年轻的高原竟然以每年7~30毫米的速度整体向北和向东方向移动。这种推移变化量很小,属于毫米级的。
材料四 下图表示青藏高原移动的主要原因。
(1)说明河口冲积岛形成的主要外力作用有哪些?
(2)描述材料二中古沙洲的生消变化过程?
(3)近年来该地海岸线向近海移动的速度减慢,试说明其原因?
(4)图中的山脉是________,属于地质构造中的________,板块a为________板块,板块b为________板块。
(5)根据图示,从地壳运动方面分析青藏高原移动的重要原因?
参考答案:
(1)流水堆积(沉积)作用;海水的顶托作用。
(2)河口地区由于落差小及海水的顶托作用,水流速度减慢,导致大量泥沙堆积,出露水面形成沙洲;泥沙继续堆积,陆地面积不断扩大,古沙洲逐渐和大陆相连;受地转偏向力影响,北岸堆积速度快。
(3)中上游植树造林,水土流失减少;三峡大坝等水利工程截留部分泥沙。
(4)喜马拉雅山;褶皱;印度洋;亚欧。
(5)印度洋板块和亚欧板块的碰撞还在继续,印度洋板块向北运动引起的挤压。
本题解析:
(1)陆地的河流流速比较急,带着上游冲刷下来的泥沙流到宽阔的海洋后,海水的顶托作用,流速慢了下来,泥沙就沉积在河口附近,积年累月,越积越多,逐步形成高出水面的陆地,这就叫河口冲积岛。说明河口冲积岛形成的主要外力作用有流水堆积(沉积)作用和海水的顶托作用。
(2)注意,既要答古沙洲的生长过程,又要答古沙洲的消亡过程。
(3)近年来该地海岸线向近海移动的速度减慢,其原因是河流运输到海洋的泥沙量在减少,而该泥沙减少的原因有植被护沙作用增加和工程留沙增加两个方面。
(4)材料四为青藏高原移动的主要原因图,图中的山脉为喜马拉雅山,该山脉是印度洋板块和亚欧板块相碰撞作用所形成的,从地质构造上看,属于褶皱。
(5)从图中板块运动的箭头看,青藏高原的移动原因是印度洋板块和亚欧板块相碰撞,印度洋板块向北运动引起挤压而形成的。
考点:本题考查地质作用(内力作用、板块运动和外力作用)的表现形式。
本题难度:一般
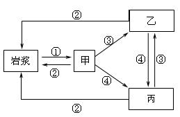
4、单选题 读“地壳物质循环示意图”,完成以下问题。
【小题1】属于甲类岩石的是
A.石灰岩、砂岩
B.大理岩、片麻岩
C.页岩、板岩
D.花岗岩、玄武岩
【小题2】塑造长江三角洲的地质作用属于
A.①
B.②
C.③
D.④
参考答案:
【小题1】D
【小题2】C
本题解析:
【小题1】甲类岩石可以和岩浆互相转化,说明为岩浆岩,石灰岩、页岩属于沉积岩,大理岩、片麻岩、板岩属于变质岩,花岗岩和玄武岩分别属于侵入型岩浆岩和喷出型岩浆岩。
【小题2】长江三角洲是流水沉积作用所形成的,属于外力作用。图中①、②、③、④分别是冷却凝固、高温重熔、外力作用、变质作用。
考点:岩石圈物质循环
本题难度:一般
5、单选题 内力作用与外力作用对地形的塑造是
A.内力作用使地表趋于平坦
B.外力作用使地表最终变得崎岖
C.从整个地质时期来看,某区域地表形态只是外力作用的结果
D.世界上各地的地形都是内、外力共同作用形成的
参考答案:D
本题解析:本题考查影响地表形态的内外力作用。内力作用形成地表的高低起伏,外力作用使地表趋于平坦,从整体上来看,地表形态总是在内外力的共同作用下形成的。
本题难度:一般