高考地理知识点总结《地壳物质循环及地表形态的塑造》高频考点巩固(2019年最新版)(二)

时间:2020-01-08 12:55:29

微信搜索关注"91考试网"公众号,领30元,获取事业编教师公务员等考试资料40G

1、单选题  读“地质剖面示意图”,回答问题:

小题1:图例甲、乙代表的岩石可能为
①甲—岩浆岩 ②甲—变质岩 
③乙—岩浆岩 ④乙—变质岩
A.①③
B.①④
C.②③
D.②④
小题2:有关图中丙地的叙述正确的是(  )
A.油气资源比较丰富
B.有利于工程建设
C.有可能发育成河谷
D.为良好的储水构造


参考答案:
小题1:B
小题2:C


本题解析:
小题1:由图示可以看出:岩石甲侵入在其他岩石之中,且出露地表,判断为岩浆岩;在岩浆喷发的过程中,炽热的岩浆会使周围的岩石性质发生变质作用,而形成变质岩(乙)。
小题2:丙位于断层上,岩石破碎,受流水等外力的侵蚀有可能发育成河谷。
点评:本题读图是解题的关键,根据图示的岩层破坏关系和地质构造等内容可判断岩石类型和对人类活动。


本题难度:一般



2、单选题  下图示意某地的沉积岩层与火成岩体的相互关系。回答1—2题。

1、各岩层、岩体的生成时代按由老至新的顺序依次是
[? ]
A.火成岩1、沉积岩1、沉积岩2、火成岩2、沉积岩3
B.沉积岩3、火成岩1、火成岩2、沉积岩2、沉积岩1
C.沉积岩3、火成岩1、沉积岩2、火成岩2、沉积岩1
D.沉积岩3、沉积岩2、火成岩1、火成岩2、沉积岩1
2、喷出地表的火成岩为喷出岩,没有喷出地表的火成岩为侵入岩,图中
[? ]
A.火成岩1为喷出岩
B.火成岩2为喷出岩
C.火成岩1、火成岩2都为喷出岩
D.火成岩1、火成岩2都为侵入岩


参考答案:1、D
2、B


本题解析:


本题难度:简单



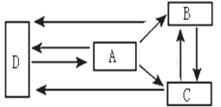
3、单选题  读“岩石圈物质循环示意”图,图中字母A B C D 表示的地理含义是?

A.岩浆、岩浆岩、沉积岩、变质岩
B.岩浆岩、沉积岩、变质岩、岩浆
C.变质岩、沉积岩、岩浆岩、岩浆
D.沉积岩、变质岩、岩浆、岩浆岩


参考答案:B


本题解析:试题分析:根据三大类岩石都能转化为岩浆,判断D表示岩浆;则岩浆经冷凝作用,生成岩浆岩A;故只有B项正确。
考点:本题考查地质循环。
点评:本题难度较低,学生只要掌握三大类岩石与岩浆之间的相互转化关系即可解题。


本题难度:一般



4、综合题  读下图,回答问题(8分)。

(1)图中A、B、C、D四处,属于背斜的是_______,属于向斜的是_______。
(2)图中A处的地形是__?__,成因是__?__;
B处的地形是_?__,成因是____?__。
(3)如果修建地下隧道,应选择在_?__处,原因是_?
?


参考答案:(1)? A???B?
(2)?山谷???顶部受到张力,岩石破碎,易被外力侵蚀?
?山地???底部受到挤压,岩石致密,不易被外力侵蚀?
(3)? A???天然拱形结构稳定不易被外力侵蚀?


本题解析:略


本题难度:简单



5、单选题  下列属于外力作用的有?(? )
①地壳运动②岩浆活动③地震④搬运⑤火山喷发⑥堆积⑦侵蚀
A.①②④⑥
B.①②③⑤
C.④⑥⑦
D.②③④⑤⑥


参考答案:C


本题解析:内力作用能量主要来自于地球内部,表现形式包括地壳运动、岩浆活动、地震和火山喷发;外力作用能量主要来自于地球外部,表现形式包括风化、侵蚀、搬运、沉积和固结成岩。
点评:本题难度低,知识性试题,学生只要掌握内外力作用的差异和主要的表现形式即可判断。


本题难度:简单




首页 上页 1 2 3 下页 尾页 2/10/10
微信搜索关注"91考试网"公众号,领30元,获取公务员事业编教师考试资料40G
【省市县地区导航】【考试题库导航】
 ★ 高考省级导航 ★ 
全国 A安徽 B北京 C重庆 F福建 G广东 广西 甘肃 贵州 H河南 河北 湖南 湖北 黑龙江 海南 J江苏 江西 吉林 L辽宁 N内蒙古 宁夏 Q青海 S山东 山西 陕西 四川 上海 T天津 X新疆 西藏 Y云南 Z浙江
 ★ 高考信息汇总 ★ 
 ★ 高考历年真题 ★ 
 ★ 高考历年真题 ★ 
 ★ 高考题库 ★ 
 ★ 高考题库 ★ 

电脑版  |  手机版  |  返回顶部