时间:2020-01-08 12:28:06
1、单选题 图为某沿海岛屿20°纬线的地形剖面及两地气候统计图,据图完成下列各题。
1.该岛甲、乙两地2.甲地比乙地降水量小的主要原因是
A.1月降水最大
B.2月~6月的降水逐月增加
C.7月气温最低
D.8月~12月气温逐月递减
E.地处背风地带
F.海拔较高
G.受沿岸寒流影响
H.距海较远
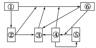
2、单选题 该图是“三大类岩石关系示意图”,读图回答问题。
1.图中数码①~⑥所代表的内容依次是2.数码⑥常具有的特征是
A.①喷出岩②岩浆③侵入岩④变质岩⑤岩浆岩⑥沉积岩
B.①岩浆②侵入岩③变质岩④沉积岩⑤沉积物⑥喷出岩
C.①喷出岩②沉积物③变质岩④沉积岩⑤岩浆⑥侵入岩
D.①喷出岩②侵入岩③变质岩④岩浆⑤沉积岩⑥沉积物
E.含有生物化石
F.有较多的气孔
G.由方解石组成
H.有明显的层理
3、单选题 大气中CO2浓度增加的主要原因是
A.矿物燃料的大量使用
B.太阳黑子增多
C.温带森林破坏严重
D.地球温度升高,海水中CO2溢出
4、单选题 读“地质构造图”,回答1~2题。 
1、下列名山或山脉的地质构造与图中①处地质构造相类似的是
[? ]
A、华山
B、喜马拉雅山脉
C、阿尔卑斯山脉
D、安第斯山脉
2、图中③处的山地成因为
[? ]
A、背斜成山
B、向斜成山
C、褶皱隆起成山
D、断层上升成山
5、多选题 该图为“我国太阳年辐射总量分布图”,读图回答问题。
1.与同纬度的长江中下游地区相比,青藏高原太阳能丰富的原因是2.假如你是一位太阳能热水器营销员,只考虑自然因素,最适合和最不适合营销的城市分别是
A.纬度低,太阳高度角大
B.天气晴朗干燥,大气透明度好,光照时间长
C.地势高,离太阳近,太阳辐射强
D.地势高,空气稀薄,大气对太阳辐射的削弱作用小
E.北京
F.拉萨
G.上海
H.重庆