时间:2020-01-08 12:27:25
1、综合题 第16届亚运会于2010年11月12日至27日在中国广州进行,阅读材料回答下列问题。
材料一:
近五次亚运会的时间和地点分布表
材料二:
珠江水系示意图
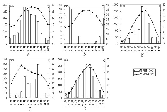
(1)判断气候类型:(填字母)
曼谷_______;釜山_______;多哈_______;广州_______;仁川_______。
(2)读材料一表可知曼谷、多哈亚运会在12月份举行,而釜山、仁川亚运会在9、10月份举行,从气候的角度简要分析原因。
___________________________________________________________________________________________
(3)简要分析珠江的水文特征。
___________________________________________________________________________________________
(4)珠江上游地区和下游地区的经济发展存在一定的互补性,结合所学知识分析“互补性”体现在哪些方面。
___________________________________________________________________________________________
(5)桑基鱼塘是我国珠江三角洲地区,为充分利用土地而创造的一种挖深鱼塘,垫高基田,塘基植桑,塘内养鱼的高效人工生态系统。读图分析桑基鱼塘生产的特点。
___________________________________________________________________________________________
2、单选题 下图为亚欧大陆气温年较差分布示意图(单位:℃),读图回答下列各题。
【小题1】关于图示地区气温年较差变化规律及原因的叙述,正确的是( )
A.气温年较差由南向北逐渐增大,其原因是受寒流的影响逐渐加大
B.大陆东侧气温年较差的变化梯度大于西侧,其原因是东侧距海远
C.从甲处到丙处气温年较差变化梯度大,其原因是海陆热力性质差异大
D.从甲处到乙处气温年较差变化梯度小,其原因是地形较为平坦
【小题2】气温年较差最大值出现在甲处附近的原因是( )
A.地处内陆中心,四周距离海洋最远
B.地处高纬度,昼夜长短的变化幅度最大
C.此处地表植被覆盖少,分布有大量沼泽
D.地处内陆高原、山地,受海洋影响小
3、单选题 形成我国冬季寒潮的天气系统是(?)
A.气旋
B.反气旋
C.冷锋
D.暖锋
4、单选题 2008年初春,我国南方发生了罕见的大雪灾。形成此次灾害的天气系统(见图)是(?)
A?B?C?D
5、单选题 下图是某日某时北半球某平原地区500百帕等压面的高度分布图(单位:米)。读图,回答下题。
【小题1】图中A.B.C三点气压P相比较( )
A.PA>PC>PB B.PA<PC<PB
C.PC>PB>PA D.PA=PC=PB
【小题2】此时A.B两点近地面的天气特征是( )
A.A近地面晴朗,B近地面晴朗
B.A近地面阴雨,B近地面阴雨
C.A近地面阴雨,B近地面晴朗
D.A近地面晴朗,B近地面阴雨
【小题3】C点吹( )
A.偏北风
B.偏南风
C.东南风
D.西北风