时间:2019-12-27 00:29:55
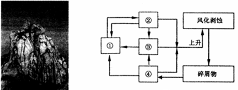
1、单选题 该图四种地貌景观形成中,能量主要来自地球内部的是
A.①②
B.③④
C.①③
D.②④
2、单选题 地质学家在安徽省天柱山发现了世界上暴落最深的超高压变质带。大面积的花岗岩和丰富的片麻岩、榴辉岩(一般存在于万米以下的地慢之中)使得天柱山一举成为全球研究大陆动力学的最佳地区之一。“六月雪”,也称天柱晴雪。位于天柱山青龙涧北面的山岗上。一座白色的沙丘,在万绿丛中扰如一堆白雪,白天在骄阳的照射下,晶莹闪亮,入夜路月观赏,满目寒光,凉气袭人。结合下图完成下列各题。
【小题1】天柱山的超高压变质带中主要包含上图中哪些类型岩石?
A.①②
B.②③
C.③④
D.②④
【小题2】天柱山“六月雪”的形成原因是
A.风化作用
B.侵蚀作用
C.搬运作用
D.岩浆活动
3、单选题 图为一位旅行者拍摄的某地自然景观的一张照片,照片所示地貌的形成原因是
A.冰川侵蚀作用
B.流水沉积作用
C.风力沉积作用
D.风力侵蚀作用
4、单选题 该图为某处地层未曾倒置的地质剖面图,其中①至④代表所在地层的成岩作用。据此回答问题。
1.下列有关该处地质事件发生的先后顺序,最正确的是2.丙侵入岩脉应为何种岩石3.图中⑤处岩石发生了变质,形成的岩石最可能是
A.甲乙丙
B.甲丙乙
C.乙丙甲
D.丙乙甲
E.沉积岩
F.岩浆岩
G.变质岩
H.资料不足,无法判断
I.石灰岩
G.大理岩
花岗岩
玄武岩
5、单选题 读红海剖面示意图,完成下列各题。
1.有关图中①类岩石的说法,正确的是2.图示区域的地壳3.关于图示海域的叙述,正确的是
A.此类岩石可能带有气孔
B.由岩浆通过固结成岩作用形成的
C.因水平挤压,断裂变质而成
D.可重新返回岩石圈中的软流层
E.以水平张裂作用为主
F.以水平挤压作用为主
G.以垂直上升运动为主
H.以垂直下降运动为主
I.水域广大,水资源丰富
G.太阳能丰富,风浪巨大
蒸发旺盛,海陆间水循环活跃
狭长海域,重要能源通道