时间:2019-12-22 06:11:31
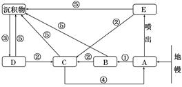
1、单选题 下图为岩石圈物质循环示意图,读图回答题。
小题1:图中B、D代表的岩石分别是( )
A.侵入型岩浆岩、沉积岩
B.沉积岩、侵入型岩浆岩
C.变质岩、喷出型岩浆岩
D.沉积岩、变质岩
小题2:图中②表示的是( )
A.外力作用
B.变质作用
C.上升、冷却凝固
D.重熔再生
2、单选题 下左图所示的云南路南石林属于喀斯特地貌。结合右面岩石圈物质循环简图,分析回答以下问题。
【小题1】路南石林的岩石按成因属于图中的( )
A.甲
B.乙
C.丙
D.丁
【小题2】塑造路南石林的主要外力作用是( )
A.流水侵蚀
B.风力侵蚀
C.冰川侵蚀
D.海浪侵蚀
3、单选题 对号入座。地貌景观神奇美妙,千姿百态,宛如人工雕刻,让人不得不惊叹大自然的鬼斧神工。请将图10中四地的地貌景观与地区、形成原因对号入座。
①黄河三角洲?②云贵高原?③夏威夷群岛?④准噶尔盆地
A.流水化学溶蚀作用
B.流水沉积作用
C.岩浆作用
D.风蚀作用
4、单选题 下列地貌以内力作用为主形成的是
A.冰川U谷
B.断块山
C.河口三角洲
D.风蚀蘑菇
5、单选题 下图为我国亚热带季风气候区的某河谷。读图,完成下列小题。
【小题1】该河谷
A.岩层①比沉积物形成年代晚
B.最可能位于河流上游山区
C.因背斜顶部受张力,受流水侵蚀作用而成
D.因岩层断裂陷落,河流携带泥沙沉积而成
【小题2】利用该地的典型农产品,可发展的工业最可能是
A.甘蔗制糖
B.棉花纺织
C.葡萄酿造
D.大豆加工