时间:2019-12-22 06:04:26
1、单选题 与桂林山体岩石、地貌类型及其形成的外力作用对应的是(?)
A.石灰岩、球状风化地貌、风力作用
B.花岗岩、流水堆积地貌、流水作用
C.大理岩、喀斯特地貌、风力作用
D.石灰岩、喀斯特地貌、流水作用
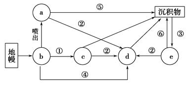
2、单选题 下图为黄山“天狗望月”景观,“天狗”是由花岗岩组成,独居峰顶,翘首望月。读图回答小题。
【小题1】“天狗”的岩石类型及形成的地质作用对应于下图中的 ( )。
A.c、①
B.a、②
C.e、③
D.d、④
【小题2】将棱角分明的花岗岩,塑造成栩栩如生的“天狗”的主要地质作用是( )。
A.流水侵蚀
B.风力侵蚀
C.冰川侵蚀
D.风化作用
3、单选题 具有确定化学成分、物理属性的单质或者化合物是
[? ]
A、化学元素
B、矿产
C、矿物
D、岩石
4、综合题 读图完成下列问题。(18分)
(1)图中①、②、③三处,在地质构造上属于向斜的是 。在地形上,该处为 ,向斜成为这一地形的主要原因是 属于背斜的是 在地形上,该处为 ,背斜成为这一地形的主要原因是 。
(2)图中④、⑤、⑥三处的岩石类型。为沉积岩的是 ,是在野外判断该类岩石的依据是 ,或有 ;为岩浆岩的 。
(3)促使水循环发生最主要的动力是 。图中所示水循环类型为 循环,该循环最容易受到人类影响的环节是 。下类各组合河流的水,均参与此类水循环的是
①亚马孙河 ②长江 ③黑龙江 ④塔里木河
A.①②③
B.②③④
C.①③④
D.①②④
(4)水循环的水汽输送量一般从沿海向内陆递减,受其影响,我国北纬40度线上从西向东依次出现的自然带是 — — ,体现了 地域分异规律。
5、单选题 下图是我国某山脉东、西坡地质剖面图。读图回答下列各题。
小题1:结合图例,推断甲处岩石形成时的古地理环境是
A.沙漠
B.沼泽
C.海洋
D.苔原
小题2:由图得出的推断,正确的是
A.东坡有丰富的水能资
B.山麓气温比山顶气温约高21℃
C.该山以西绿洲农业特色突出
D.该山为种植业与畜牧业的分界线