时间:2019-12-22 05:58:53
1、单选题 下图为等高线地形图,a处发现三叶虫化石,b处发现恐龙化石,c处发现古人类化石。判断该地区属于
A.向斜成山
B.向斜成谷
C.背斜成山
D.背斜成谷
?
2、单选题 十个级别的标准硬度矿物,按照矿物硬度相对大小依次排序是:滑石 、石膏 、( )、萤石、磷灰石、正长石 、( )、黄玉 、刚玉、金刚石。其中括号内应填写的矿物是 ( )
A.方解石、石英
B.云母、大理石
C.大理石、云母
D.石英、方解石
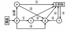
3、单选题 黄山有著名的“天狗望月”景观。“天狗”是由岗岩组成,独居峰顶,翘首望月。据此回答下列小题。
【小题1】“天狗”的岩石类型及形成的地质作用对应于下图中的( )
A. c ①
B. a ②
C. c ③
D.d ④
【小题2】 将棱角分明的花岗岩,塑造成栩栩如生的“天狗”的主要地质作用是( )
A.流水侵蚀
B.风力侵蚀
C.冰川侵蚀
D.风化作用
4、单选题 下图是“地震波速度与地球内部圈层结构”示意图,其中E、F是地球内部的两个不连续界面,它们的名称依次是(?)
A.莫霍界面、不连续界面
B.不连续界面、古登堡界面
C.莫霍界面、古登堡界面
D.古登堡界面、莫霍界面
5、单选题 读地理素描图,回答各题。
【小题1】因流水侵蚀作用形成的地貌是( )
A.甲
B.乙
C.丙
D.丁
【小题2】属于风力侵蚀地貌的是( )
A.甲
B.乙
C.丙
D.丁
【小题3】最适宜人类居住的地区是( )
A.甲
B.乙
C.丙
D.丁