高中地理知识点大全《地壳物质循环及地表形态的塑造》高频考点特训(2019年必看版)(四)

时间:2019-12-22 05:40:58

微信搜索关注"91考试网"公众号,领30元,获取事业编教师公务员等考试资料40G

1、综合题  读地壳物质循环简略图,回答下列问题:10分

(1)图中方框表示的内容A为       ;B为        ;C为         
(2)将图中代表下列地质作用的数字填人空格内:
变质作用           外力作用           
(3)石灰岩、花岗岩、大理岩和页岩中可能有化石的是     ,属岩浆岩的是   ,属变质岩的是          
(4)按你自己的理解,画一幅表示地壳物质循环的示意图。



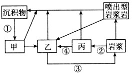
2、综合题  读地壳物质循环示意图,①②③④表示各类地质作用。据此回答下列问题。(15分)

(1)将下列地理名称按组成或被组成的关系,排列正确的是(    )(2分)
①岩石  ②化学元素  ③矿石   ④矿物  ⑤矿产   ⑥地壳
A.②→⑤→①→④
B.②→④→⑥→①
C.②→④→①→⑥
D.②→④→③→⑤
(2)写出甲、乙、丙所代表的岩石类型。(6分)
                ;乙              ;丙              
(3)写出图中序号所代表的含义(8分)
                      ;    ②                     
                      ;    ④                     



3、综合题  (26分)阅读图文资料,完成下列各题。
材料一年降水量仅200mm左右,蒸发量达1600mm的宁夏平原,因黄河贯穿,湖泊众多,加之贺兰山的“守护”,盛产稻米、枸杞等名特优产品,有着“塞上江南”、“塞上米粮川”的美誉。
材料二银川市在民间传说中又称“凤凰城”。这个美丽的名字是从何而来的呢?有一种流传很广泛的说法是,宁夏土质碱性最重,地面常常像银子撒满了一地,呈白色,故名“银川”。
材料三左图为宁夏平原及周边区域图,右图为该区域横向剖面图及P地景观示意图。

(1)从右图中的景观图可知,P处的地貌形态是                ,读图结合所学知识,说明宁夏平原的形成原因,并描述P处地貌形态的形成过程。(10分
(2)结合银川名称由来分析其盐碱化严重的成因,并简述防治的主要措施。(12分)
(3)近年来,宁夏在宁夏平原打造大型特色农产品产业带。简述宁夏枸杞品质好,发展潜力大的原因。(4分)



4、单选题  三峡大坝下游附近河床某测点,沉积物粒径的平均值比建坝前大(如图示意),其成因是

A.侵蚀—搬运作用
B.搬运—堆积作用
C.风化—侵蚀作用
D.沉积—固结成岩作用



5、综合题  ? 地球表面的各个地方都处在一定的地带位置,一般说来,各地的地理环境都具有那个地带的地带性特征,同时又不同程度地受这种或那种非地带性因素的影响,具有非地带性特征。读图,完成下列问题。

(1)图中黑色区域所代表的自然带最有可能是__________;试列举两例该区域成因不同的常见的地貌类
? 型:__________、__________。
(2)从自然带规律上看,A地区属于____________地带性,B地区属于___________的地域分异,C地区
? 属于____________的地域分异。
(3)描述图中D附近黑色区域自然带的分布特点,并说明其成因。
? _________________________________________________________________________________________
(4)试分析图中黑色区域发展农业生产的自然条件。
? _________________________________________________________________________________________




首页 上页 3 4 5 下页 尾页 4/10/10
微信搜索关注"91考试网"公众号,领30元,获取公务员事业编教师考试资料40G
【省市县地区导航】【考试题库导航】
 ★ 高考省级导航 ★ 
全国 A安徽 B北京 C重庆 F福建 G广东 广西 甘肃 贵州 H河南 河北 湖南 湖北 黑龙江 海南 J江苏 江西 吉林 L辽宁 N内蒙古 宁夏 Q青海 S山东 山西 陕西 四川 上海 T天津 X新疆 西藏 Y云南 Z浙江
 ★ 高考信息汇总 ★ 
 ★ 高考历年真题 ★ 
 ★ 高考历年真题 ★ 
 ★ 高考题库 ★ 
 ★ 高考题库 ★ 

电脑版  |  手机版  |  返回顶部