时间:2019-12-22 05:23:41
1、综合题 读下列材料并结合所学知识完成下列问题。(26分)
材料一:世界部分区域图。
材料二: 最近几年发达国家在东南亚地区一些国家进行产业转移,工业产业链环节上的分工情况
如下图所示。

产业链分工示意图
(1)苏门答腊岛的气候类型是 ,成因是 ,自然带是 (6分)
(2)苏门答腊岛的地形地势特征是 ,聚落的分布特点是 ,(6分)
(3)材料一中A所在海域是台风主要源地之一,当台风中心位于A地时,B城市风向为 风。城市雅加达所在国有火山国之称,其多火山和地震的原因是 。(4分)
(4)C是一条国际性河流,该河流量季节变化与年际变化均 ,原因是 。(4分)
(5)东南亚和多数发展中国家一样,在世界产业分工中处于不利地位,要改变此状况的主要措施有哪些?(6分)
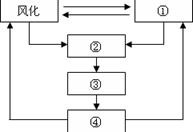
2、单选题 下图是五种外力作用相互联系、相互影响的示意图。读图完成1~2题。
小题1:沙尘暴、泥石流属于哪种外力作用
A.①
B.②
C.③
D.④
小题2:除风化作用外,对地表地貌景观影响较大的外力作用是
A.①②
B.①③
C.②③
D.③④
3、单选题 下列地区中,由于地壳水平运动形成的是
[? ]
A、华北平原
B、黄土高原
C、喜马拉雅山
D、四川盆地
4、填空题 下图为“某地区的地质剖面图和水循环示意图”,读图回答下列问题。(共7分,每空1分)
(1)从地质构造看,戊为 ;从地貌类型看,丙为 。
(2)从地质作用看,乙处由 作用形成,丙、丁处由 作用形成。
(3)图中所示的水循环类型为_ ,其最重要的地理意义是 。
(4)人类大量砍伐森林,使水循环中 环节水量明显增多(填序号)。
5、单选题 下图为钓鱼岛海域的遥感影像景观图。其中,岛上山体多断崖,山体边缘浅白色的地带堆积着破碎的石块和粗砂。山体边缘破碎的石块、粗砂形成的主导因素是:
A.岩浆活动
B.搬运堆积
C.风化侵蚀
D.强烈地震