高考生物知识点《遗传的细胞基础》考点强化练习(2020年练习版)(十)

时间:2020-08-09 08:48:07

微信搜索关注"91考试网"公众号,领30元,获取事业编教师公务员等考试资料40G

1、选择题  下图是对动物细胞有丝分裂时染色体数(a)、染色单体数(b)和DNA分子数(c)的统计图。下列解释不正确的是

A.①可以用于表示细胞分裂的前期
B.①一定是染色体螺旋化程度最高的时期
C.②可表示有丝分裂后期
D.③可表示细胞分裂已完成


参考答案:BC


本题解析:试题分析:①中染色体:染色单体:DNA=1:2:2,可表示有丝分裂的前、中两个时期,故A正确;有丝分裂中期染色体螺旋化程度最高,①不一定表示有丝分裂中期,故B错;②中染色体:染色单体:DNA=2:1:2,有丝分裂过程中不存在这样的比例关系,故C错;③的比例为1:0:1,代表有丝分裂的末期,表示细胞分裂完成,故D正确。故选BC
考点:本题考查细胞有丝分裂过程中染色体、DNA和染色单体数目变化规律。
点评:解答本题的关键是理解有丝分裂各时期染色体:染色单体:DNA三者的比例。本题难度中等,属于考纲理解层次。


本题难度:一般



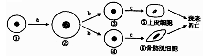
2、选择题  下图为人体细胞的分裂、分化、衰老和凋亡过程的示意图,图中①~⑥为各个时期的细胞,a、b、c表示细胞所进行的生理过程。据图分析,下列叙述正确的是

A.⑤与⑥的基因型相同,蛋白质的种类也相同
B.细胞的衰老与凋亡就会引起人体的衰老与死亡
C.图中能表示一个完整细胞周期的是abc阶段
D.与②相比,①的表面积与体积的比值增大,与外界环境进行物质交换的能力增强


参考答案:D


本题解析:试题分析:⑤与⑥是由同一个受精卵有丝分裂而来的,所以两者的基因型相同,但由于基因的选择性表达,⑤与⑥细胞中的RNA和蛋白质种类不相同,故A错误;人体是多细胞生物,多细胞生物的细胞的衰老与凋亡不会引起人体的衰老与死亡,故B错误;图中a表示分裂间期,b表示分裂期,c表示细胞分化,所以能表示一个完整细胞周期的是ab阶段,故C错误;细胞体积越小,表面积与体积的比值(相对表面积)越大,与外界环境进行物质交换的能力增强,故D正确。
考点:本题考查细胞分裂、分化、衰老和凋亡的相关知识。
点评:本题结合人体细胞的分裂、分化、衰老和凋亡过程的示意图,考查细胞分裂、分化、衰老和凋亡的相关知识,意在考查考生的识图能力、识记能力和理解能力,属于中等难度题。


本题难度:困难



3、选择题  观察植物有丝分裂过程应选择下列哪一种材料最适宜?
A.叶的上表皮
B.茎的木质部
C.皮层
D.根尖


参考答案:D


本题解析:应在植物分生组织中观察植物细胞的有丝分裂,所给答案中根尖的生长点是分生组织,所以答案应为D。


本题难度:简单



4、选择题  DNA分子的基本骨架是
A.交替连接的脱氧核糖和磷酸
B.通过氢键相连的碱基对
C.通过氢键相连的脱氧核苷酸对
D.通过共价键依次相连的脱氧核糖和碱基


参考答案:A


本题解析:试题分析:DNA分子结构特点:DNA分子是由两条反向平行的脱氧核苷酸长链盘旋而成双螺旋结构;外侧由脱氧核糖和磷酸交替连结构成基本骨架,内侧是碱基通过氢键连接形成的碱基对(A-T、C-G)。故选A
考点:本题考查DNA分子结构特点。
点评:本题意在考查考生的识记能力,属于容易题。


本题难度:困难



5、选择题  某DNA分子共有碱基1400个,其中一条单链上(A+T)∶(C+G)= 2∶5。问该DNA分子连续复制两次共需游离的胸腺嘧啶脱氧核苷酸的数目是
A.300个
B.400个
C.600个
D.1200个


参考答案:C


本题解析:试题分析:在DNA分子中由于A=T,G=C,所以单链上(A+T)∶(C+G)的比值就等于整个DNA分子上(A+T)∶(C+G)的比值, 整个DNA分子上A=T=200、C=C=500。DNA连续复制两次形成4个DNA,共含有200*4=800个T,由于DNA是半保留复制,所以其中有原来DNA的T200,复制需要游离的T是600。C正确。
考点:DNA的半保留复制
点评:本题侧重考查学生对DNA半保留复制的理解,这类题目属于本知识块的高频考点。我们可以设定原来的某种脱氧核苷酸含量为m,经过n次复制,形成2n个DNA,需要的某种游离脱氧核苷酸数量就是2nm-m即(2n-1)m。


本题难度:简单




首页 上页 9 10 下页 尾页 10/10/10
微信搜索关注"91考试网"公众号,领30元,获取公务员事业编教师考试资料40G
【省市县地区导航】【考试题库导航】
 ★ 高考省级导航 ★ 
全国 A安徽 B北京 C重庆 F福建 G广东 广西 甘肃 贵州 H河南 河北 湖南 湖北 黑龙江 海南 J江苏 江西 吉林 L辽宁 N内蒙古 宁夏 Q青海 S山东 山西 陕西 四川 上海 T天津 X新疆 西藏 Y云南 Z浙江
 ★ 高考信息汇总 ★ 
 ★ 高考历年真题 ★ 
 ★ 高考历年真题 ★ 
 ★ 高考题库 ★ 
 ★ 高考题库 ★ 

电脑版  |  手机版  |  返回顶部