时间:2020-03-23 23:50:31
1、选择题 巨尾桉具有速生、高产的特点。某地区将天然林全部砍伐烧毁,大量单一种植巨尾桉,对环境造成不利的影响。下列叙述正确的是
[? ]
2、连线题 下面是蓝藻细胞的结构模式图,请根据图回答。? 
(1)该细胞中合成蛋白质的场所是_________,其所需要的能量直接来自_______(物质)。
(2)从物质合成所利用的能量看,蓝藻与硝化细菌的主要区别是____,从生态系统的组成看,它们均属于________。
(3)从细胞结构看,蓝藻与酵母菌的主要区别是_______,蓝藻呼吸作用的场所是________。
(4)图中含有色素的膜性结构④大大增加了细胞内的膜面积,该结构的主要功能是_______。
(5)一般来说,我们要分辨蓝藻的细胞结构,需要使用显微镜。若在低倍镜的视野中央已找到需要观测的蓝藻细胞,欲利用高倍镜作进一步仔细观察,需要对显微镜的_________这两个部件进行操作。
3、选择题 下列有关种群、群落、生态系统的叙述,正确的是
[? ]
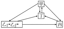
4、选择题 如图表示生态系统四种成分之间的关系,以下相关叙述中正确的是
[? ]
A.甲和乙所包含的所有种群构成群落
B.乙1的同化量越大,流向乙2的能量就越少
C.丙不一定是原核生物
D.丁的含量增加将导致臭氧层被破坏
5、选择题 生活在高原上的人与生活在平原上的人相比,血液中红细胞的数目明显要高。与这一现象有关的生态因素是
[? ]
A.阳光
B.温度
C.空气
D.湿度
答案及详细解析请点下一页查看。