时间:2020-01-20 02:06:01
1、连线题 根据下列图表,回答问题。
(1)该图中, A、B分别为_______________________。
(2)该图示为_____________肽化合物,它是由__________个氨基酸分子失去________分子水而形成的,这种反应叫做__________________。
(3)形成这种化合物的第二个氨基酸的R基是________________。
(4)形成该化合物的氨基酸有___________种,其水解产物的分子量之和比该物质的分子量多了________。
(5)鉴定该物质常用的化学试剂是_____________。
2、选择题 下列物质中,有的属于构成蛋白质的氨基酸,有的不是。若将其中构成蛋白质的氨基酸缩合成蛋白质,则其中含有的氨基、羧基和肽键的数目依次是

[? ]
3、选择题 下列关于蛋白质和氨基酸的叙述,正确的是
[? ]
4、选择题 苏云金杆菌是一种对昆虫有致病作用的细菌,其杀虫活性物质主要是一类伴孢晶体蛋白。某亚种苏云金杆菌产生的伴孢晶体蛋白含两条多肽链,共由126个氨基酸组成,经昆虫肠液消化成毒性肽。该伴孢晶体蛋白中含有的肽键数是
[? ]
A.123
B.124
C.125
D.126
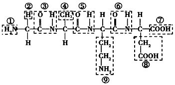
5、连线题 根据下列化合物的结构分析回答。
(1)该化合物中,①表示____,⑦表示____。
(2)该化合物由_______个氨基酸脱去____个水分子而形成,这种反应叫做_______。
(3)该化合物中的氨基酸种类不同,是由____决定的,其编号是____。
(4)该化合物称为______,含____个肽键,编号是______________。
答案及详细解析请点下一页查看。