高中生物知识点总结《细胞的减数分裂》在线测试(2019年最新版)(四)

时间:2019-06-29 07:23:14

微信搜索关注"91考试网"公众号,领30元,获取事业编教师公务员等考试资料40G

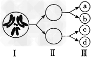
1、选择题  下图是果蝇细胞正常减数分裂图,下列说法正确的是

[? ]
A.图Ⅰ表示的细胞中有8条染色体、组成4个染色体组
B.图Ⅱ表示的细胞中没有同源染色体
C.a、b、c、d内染色体的组成各不相同
D.图Ⅲ可能是4个精细胞,也可能是1个卵细胞和三个极体



2、选择题  下列关于减数分裂过程中某时期及对应变化的叙述,正确的是

[? ]


A.时期:间期? 发生 的变化:染色体和DNA经过复制均加倍
B.时期:减数第一次分裂的前期? 发生的变化:非同源染色体随联会而发生自由组合
C.时期:减数第一次分裂的中期? 发生的变化:同源染色体排列在赤道板上
D.时期:减数第二次分裂的后期? 发生的变化:同源染色体加倍后均分到两个子细胞中



3、选择题  下列说法错误的是
[? ]
A.利用单克隆抗体诊断早孕灵敏度高的原因是其纯度高、特异性强
B.尿液中的葡萄糖可用斐林试剂或葡萄糖试纸检测
C.NaOH溶液中的琼脂块的体积越小,NaOH在其内的扩散速率越快
D.健那绿染液可使活细胞中线粒体呈现蓝绿色



4、选择题  下列有关真核细胞分裂的叙述,正确的是
[? ]
A.在减数第二次分裂前期不含染色单体
B.在细胞分裂间期,DNA复制,染色体数目加倍
C.在减数第一次分裂的前期和后期均可能发生基因重组
D.处于有丝分裂后期的果蝇体细胞有两个染色体组



5、综合题  甲图表示某高等动物细胞分裂和受精作用过程中,核DNA含量和染色体数目变化,乙图是该动物细胞局部结构模式图,请分析回答:

(1)甲图a、b、c三个阶段中,有丝分裂发生在______阶段,L→M所示过程与细胞膜的_____性有关。
(2)乙图细胞所处的分裂时期发生在甲图中A~Q的_____段,该细胞下一时期染色体的重要行为是___________。
(3)甲图GH段和OP段,细胞中含有的染色体条数分别是______。
(4)如果乙图中的Y代表Y染色体,则在甲图中从_____点开始,单个细胞中可能不含Y染色体。
(5)如果乙图中结构1、2上有基因d,结构3上有线性排列的基因R、E,结构4上相应位点的基因是R、e,发生这种变化的原因是____________。若已知该生物体细胞基因型是EeDd,一个原始生殖细胞产生了一个ED基因型的细胞,则同时产生的另外三个细胞的基因型是________________。
(6)请结合乙图染色体数目,画出减数第一次分裂后期的图。
(7)如果该生物形成含有有YY的精子,请简述原因是______________。
(8)某一隐性基因只位于染色体5、6上,请分析其遗传的特点是________。



答案及详细解析请点下一页查看。


首页 上页 3 4 5 下页 尾页 4/10/10
微信搜索关注"91考试网"公众号,领30元,获取公务员事业编教师考试资料40G
【省市县地区导航】【考试题库导航】
 ★ 高考省级导航 ★ 
全国 A安徽 B北京 C重庆 F福建 G广东 广西 甘肃 贵州 H河南 河北 湖南 湖北 黑龙江 海南 J江苏 江西 吉林 L辽宁 N内蒙古 宁夏 Q青海 S山东 山西 陕西 四川 上海 T天津 X新疆 西藏 Y云南 Z浙江
 ★ 高考信息汇总 ★ 
 ★ 高考历年真题 ★ 
 ★ 高考历年真题 ★ 
 ★ 高考题库 ★ 
 ★ 高考题库 ★ 

电脑版  |  手机版  |  返回顶部