时间:2019-06-28 07:01:42
1、选择题 如图所示的一个食物网(效率按10%计算),则下列叙述中正确的是: 
[? ]
A.该食物网中初级消费者是昆虫,次级消费者是鸟
B.昆虫属于第一营养级,鸟属于第二营养级
C.若绿色植物固定的太阳能总量为M,昆虫获得的总能量为m1,鸟获得的总能量为m2,则M﹦m1+ m2
D.在鸟类的食物构成中,若动物性食物和植物性食物各占一半,则鸟类增加能量A时,生产者需提供能量为55A
2、选择题 以下关于种群、群落和生态系统的叙述中,正确的是
[? ]
A.种群中的个体是生物进化的基本单位
B.亚热带生长的常绿阔叶林组成一个种群
C.生态系统的营养结构是食物链和食物网
D.马尾松林地中所有树木构成了生物群落
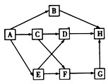
3、选择题 下图是一个陆地生态系统食物网的结构模式图,下列叙述中不正确的是
[? ]
A.在该食物网中,共有5条食物链存在
B.在该食物网中,H处于三个不同的营养级
C.若B种群中各年龄期的个体数目比例适中,则该种群的密度在一段时间内会明显变大
D.在该食物网中,如果C种群的数量下降10%,则H的数量不会发生明显变化
4、选择题 在“三叶草→蜗牛→鸫→雀鹰”这条食物链中,鸫处于
[? ]
5、选择题 下列关于生态系统稳定性的叙述,错误的是
[? ]
A.是指生态系统保持或恢复自身结构和功能相对稳定的能力
B.包括抵抗力稳定性和恢复力稳定性
C.抵抗力稳定性越强,恢复力稳定性就越强
D.“生物圈Ⅱ号”实验室不能长期保持相对稳定
答案及详细解析请点下一页查看。