时间:2019-03-16 06:24:30
1、选择题 人体内的衰老细胞不具有的特征是
A.色素积累减少
B.细胞的呼吸速率减慢
C.多种酶的活性降低
D.水分减少,细胞萎缩
2、选择题 日本福岛核电站发生核泄漏事故,可能会造成当地居民中白血病患者增多,儿童畸形增多,其原因是
A.气温太低导致
B.大量煤焦油污染
C.核辐射作用导致
D.病毒感染
3、选择题 下列有关病毒或细胞的生命活动和代谢的叙述中错误的
A.细胞分化过程中,蛋白质的种类和数量会发生改变
B.用人的胰岛素基因制成的DNA探针与人的胰岛A细胞中的DNA能形成杂交分子
C.凋亡细胞内基因表达都下降,酶活性都减弱
D.目前在上海等地区爆发的H7N9禽流感病毒要寄生在活细胞内才能完成增殖活动
4、选择题 右图所示的细胞类型转变过程称为?
A.细胞融合
B.细胞生长
C.细胞分裂
D.细胞分化
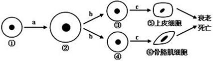
5、选择题 下图为人体某个细胞所经历的生长发育各个阶段示意图,图中①~⑥为各个时期的细胞,a~c表示细胞所进行的生理过程。据图分析,下列叙述错误的是
A.与①相比,②的表面积/体积比值减小,与外界环境进行物质交换的能力也降低
B.⑤与⑥的细胞核内遗传物质相同,细胞内的蛋白质也相同
C.虽然⑤⑥已失去分裂能力,但其细胞内的物质合成与分解仍能进行
D.细胞的衰老与死亡通常会引起人体的衰老与死亡
答案及详细解析请点下一页查看。