时间:2017-01-13 07:41:16
1、填空题 已知涤纶树脂的结构简式为:
,它是________和________(填单体的结构简式)通过____________反应而制的,反应的化学方程式为:______________________________________________。
2、推断题 某有机物(分子式为C13H18O2)是一种食品香料,其合成路线如下图所示。
通过质谱法测得A的相对分子质量为56,它的核磁共振氢谱显示有两组峰且峰面积之比为1∶3;D分子中含有支链;F分子中含有苯环但无甲基,E可发生银镜反应在催化剂存在下1 mol E与2 mol H2可以发生反应生成F。请回答:
(1)B中所含官能团的名称为________;E的结构简式为________。
(2)C与新制碱性Cu(OH)2悬浊液反应的离子方程式为________________________________。
(3)D与F反应的化学方程式为___________________________;其反应类型是_____________。
(4)符合下列条件:①遇FeCl3溶液显紫色;②苯环上有两个取代基的F的同分异构体有________种;写出其中一种物质的结构简式:________。
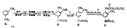
3、填空题 F是新型降压药替米沙坦的中间体,可由下列路线合成:
(1)A
B的反应类型是????,D
E的反应类型是?????,E
F的反应类型是??????。
(2)写出满足下列条件的B的所有同分异构体?????????????(写结构简式)。
①含有苯环?②含有酯基??③能与新制Cu(OH)2反应
(3)C中含氧官能团名称是????????。已知固体C在加热条件下可溶于甲醇,下列C
D的有关说法正确的是???????。
a.使用过量的甲醇,是为了提高D的产量??? b.浓硫酸的吸水性可能会导致溶液变黑
c.甲醇即是反应物,又是溶剂????????????? d.D的化学式为C9H9NO4
4、推断题 美日三名化学家[理查德·赫克(Richard Heck,美)、根岸荣一(Ei - ich Negishi,日)、铃木章(Akira Suzuki,日)] 利用钯( Pd)作催化剂,将有机化合物进行“裁剪”、“缝合”,创造出具有特殊功能的新物质而荣获2010年诺贝尔化学奖。赫克反应(Heck反应)的通式可表示为(R-X中的R 通常是不饱和烃基或苯环;R"CH=CHR通常是丙烯酸酯或丙烯腈等): 
现有A、B、C、D等有机化合物有如下转化关系
请回答下列问题:
(1)反应I的化学方程式为____________________
(2)已知腈基(-C
N)也具有不饱和性(可催化加氢),写出CH2=CH-CN完全催化加氢的化学方程式:
____________________
(3)丙烯腈(CH2=CH-CN)可发生加聚反应生成一种高聚物,此高聚物的结构简式为________________。
(4)写出B转化为C的化学方程式:____________________
(5)D的结构简式为(必须表示出分子的空间构型)____________
(6)D所具有的化学性质有(填编号)____。
A.加热能与氢氧化钠溶液反应
B.能使溴的四氯化碳溶液褪色
C.能发生缩聚反应和加聚反应
D.能使酸性高锰酸钾溶液褪色
(7)已知:醛基直接与苯环连接的醛如
不能被新制的氢氧化铜氧化。写出同时符合下列条件的D 的同分异构体的结构简式:________________。
①波谱分析显示分子中没有甲基;
②1,3,5-三取代苯;
③具有酸性,既能与Fe3+作用显色,又能使溴水褪色,易被新制的氢氧化铜氧化
5、填空题 用石油裂化和裂解过程得到的乙烯、丙烯来合成丙烯酸乙酯的路线如下
(1)CH2═CH-CHO 中含有的官能团的名称为_____________
(2)由CH2=CH2制得有机物A的化学反应方程式______________________,反应类型是____________;
(3)A与B合成丙烯酸乙酯的化学反应方程式是:_______________________________;该反应的类型是
___________ 反应
(4)由石油裂解产物丙烯合成聚丙烯塑料的化学方程式是:_______________________。