时间:2019-05-30 03:41:57
1、实验题 用如图所示的实验装置制备少量乙酸乙酯。请回答有关问题:
(1)试管I中盛有由2 mL浓硫酸、3 mL乙醇、2 mL冰醋酸组成的反应混合液,请简述配制该混合液的操作过程:?
(2)反应中浓硫酸的作用是?
(3)实验中应缓慢加热,理由是?
(4)试管II中的导管口为什么要在液面之上???
(5)饱和的Na2CO3溶液的主要作用是?。分离饱和的Na2CO3溶液与乙酸乙酯用到的仪器是?。
(6)该实验使用的乙醇应不含水份,如何检验乙醇是否含有水份?。
(7)如果乙醇含有水份,如何将其转变为无水乙醇?。
2、选择题 一种从植物中提取的天然化合物的结构为
,可用于制作香水。有关该化合物的下列说法不正确的是?
[? ]
A.1 mol该化合物可跟2 molH2 发生加成反应
B.该化合物可使酸性KMnO4溶液褪色
C.1 mol该化合物完全燃烧消耗15.5 mol O2
D.1 mol该化合物可与2 mol Br2加成
3、选择题 下列三种有机物是某些药物中的有效成分。下列说法正确的是
[? ]
A.三种有机物都是芳香烃
B.三种有机物苯环上的氢原子若被氯原子取代,其一氯代物都只有2种
C.将等物质的量的三种物质加入NaOH溶液中,阿司 匹林消耗NaOH最多
D.1 mol对羟基桂皮酸最多可以和1 mol Br2反应 中,对羟基桂皮酸消耗氢氧化钠最多
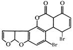
4、选择题 某有机物是一种强致癌物,其结构如图所示。1mol该化合物在一定条件下分别与H2、NaOH溶液反应,最多消耗H2和NaOH的物质的量分别为?(?)
A.6mol、4mol
B.7mol、4mol
C.7mol、5mol
D.6mol、5mol
5、选择题 氨基甲酸酯类农药在环境中易分解,在生物体内能迅速代谢,而其代谢产物毒性多数低于其本身毒性,是属于低残留的农药。除草剂N-(间-氯苯基)氨基甲酸异丙酯的结构简式如下图。下列有关叙述正确的是 
[? ]
A.分子式是C10H9NO2Cl
B.该物质水解后可能生成α-氨基酸
C.该物质苯环上最多还能形成3种一溴取代物
D.该物质属于芳香烃的衍生物