时间:2017-08-09 08:03:24
1、选择题 不定项选择
劈尖干涉是一种薄膜干涉,其装置如图甲所示,将一块平板坡璃表面之间形成一个劈形空气薄膜,当光垂直入射后,从上往下看到的干涉条纹如图乙所示,干涉条纹如下特点:(1)任意一条明条纹或暗条纹所在位置下面的薄膜厚度相等;(2)任意相邻明条纹所对应的薄膜厚度差恒定。现若在图甲装置中抽去一张纸片,则当光垂直入射到新的劈形空气薄膜后,从上往下观察到的干涉条纹( ? )

参考答案:A
本题解析:
本题难度:一般
2、选择题 由两个不同光源所发出的两束白光落在同一点上,不会产生干涉现象.这是因为 ( ).
A.两个光源发出光的频率不同
B.两个光源发出光的强度不同
C.两个光源的光速不同
D.这两个光源是彼此独立的,不是相干光源
参考答案:D
本题解析:本题考查相干光的条件,题中两光源发的光都是白光,频率不确定没法比较,选项A错误.光的强度对光是否发生干涉没有影响,选项B错误.光速在真空中是确定的,但它对光的干涉也没影响,选项C错误.题中是两个独立光源,二者产生的光振动情况不完全相同不是相干光,选项D正确.
本题难度:一般
3、填空题 (14分)(1)激光具有相干性好、平行度好、亮度高等特点,在科学技术和日常生活中应用广泛.下面关于激光的叙述正确的是( ).
A.激光是纵波
B.频率相同的激光在不同介质中的波长相同
C.两束频率不同的激光能产生干涉现象
D.利用激光平行度好的特点可以测量月球到地球的距离
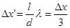
(2)如图所示,在杨氏双缝干涉实验中,激光的波长为5.30×10-7m,屏上P点距双缝S1和S2的路程差为7.95×10-7m.则在这里出现的应是________(填“明条纹”或暗条纹).现改用波长为6.30×10-7m的激光进行上述实验,保持其他条件不变,则屏上的条纹间距将________(填“变宽”、“变窄”或“不变”).
参考答案:(1)D (2)暗条纹 变宽
本题解析:(1)光是横波,选项A错;激光在介质中的波长为λ=
,不同介质n不同,所以波长不同,选项B错;产生干涉的条件是频率相同,选项C错;利用激光平行度好的特点可以测量月球和地球之间的距离,选项D正确.
(2)因为
=
,即半波长的奇数倍,所以出现暗条纹.根据条纹间距公式Δx=
λ,当单色光的波长变长时,条纹间距变宽.
本题难度:一般
4、实验题 用双缝干涉测光的波长。实验装置如图(甲)所示,已知单缝与双缝间的距离L1=100mm,双缝与屏的距离L2=700mm,双缝间距d=0.25mm。用测量头来测量亮纹中心的距离。测量头由分划板、目镜、手轮等构成,转动手轮,使分划板左右移动,让分划板的中心刻线对准亮纹的中心如图(乙)所示,记下此时手轮上的读数,转动测量头,使分划板中心刻线对准另一条亮纹的中心,记下此时手轮上的读数。 

(1)分划板的中心刻线分别对准第1条和第4条亮纹的中心时,手轮上的读数如图(丙)所示,则对准第1条时读数x1=_______mm、对准第4条时读数x2=_______mm。 
(2)写出计算波长λ的表达式,______________nm。
参考答案:(1)2.190;7.868
(2)676
本题解析:
本题难度:一般
5、实验题 现有毛玻璃屏A、双缝B、白光光源C、单缝D和透红光的滤光片E等光学元件,要把它们放在下图所示的光具座上组装成双缝干涉装置,用以测量红光的波长。将白光光源C放在光具座最左端,依次放置其他光学元件,由左至右,表示各光学元件的字母排列顺序应为C、E、____、____、A。
参考答案:D、B
本题解析:
本题难度:一般
1、实验题 (1)如图,在“用双缝干涉测光的波长”实验中,光具座上放置的光学元件依次为(?)
A.①光源、② 滤光片、③ 单缝、 ④ 双逢 、 ⑤遮光筒、⑥光屏.
B.①光源、②单缝、 ③滤光片、④ 双逢、 ⑤遮光筒、⑥光屏.
C.①光源、② 滤光片、③双逢、 ④ 单缝、 ⑤遮光筒、⑥光屏.
D.①光源、②单缝、 ③双逢、 ④滤光片、 ⑤遮光筒、⑥光屏.
(2) 某次实验时,该同学调节分划板的位置,使分划板中心刻线对齐某亮纹的中心,如图所示,此时螺旋测微器的读数为?mm.转动手轮,使分划线向一侧移动到另一条亮纹的中心位置,再次从螺旋测微器上读数。若实验测得4条亮纹中心间的距离为△x=0.960mm,已知双缝间距为d=1.5mm,双缝到屏的距离为L=1.00m,则光波波长公式??,对应的光波波长?.
2、选择题 图为杨氏双缝干涉实验的示意图,下列说法中正确的是( )
A.用普通光源做实验,如加单缝S,即可在屏上观察到干涉条纹
B.在屏上距双缝S1、S2的光程差等于半波长的整数倍处一定出现暗条纹
C.照射单缝S的单色光的频率越大,光屏上出现的条纹间距越小
D.若将单缝S去掉,再将缝S1封住,只留下缝S2,则单色光通过缝S2只能在屏上形成一片光亮,不会有任何条纹
3、选择题 如左图所示,在一块平板玻璃上放置一平凸薄透镜,在两者之间形成厚度不均匀的空气膜,让一束单一波长的光垂直入射到该装置上,结果在上方观察到如右图所示的同心内疏外密的圆环状干涉条纹,称为牛顿环,以下说法正确的是( )
A.干涉现象是由于凸透镜下表面反射光和玻璃上表面反射光叠加形成的
B.干涉现象是由于凸透镜上表面反射光和玻璃上表面反射光叠加形成的
C.干涉条纹不等间距是因为空气膜厚度不是均匀变化的
D.干涉条纹不等间距是因为空气膜厚度是均匀变化的
4、选择题 在双缝干涉实验中,以下说法正确的是( )
A.若将双缝间距变大,相邻两明条纹间的距离变小
B.若把双缝中的一条缝遮住,屏上出现一条亮线
C.若使屏远离双缝,,相邻两暗条纹间的距离变大
D.若将入射光改为白光,屏上将出现彩色条纹
5、选择题 关于光在竖直的肥皂液薄膜上产生的干涉现象,下列说法正确的是
A.干涉条纹的产生是由于光在薄膜前后两个表面反射,形成的两列光波叠加的结果
B.若出现明暗相间条纹相互平行,说明肥皂膜的厚度是均匀的
C.用紫色光照射薄膜产生的干涉条纹间距比红光照射时的间距小
D.薄膜上的干涉条纹基本上是竖直的