高考物理知识点总结《库仑定律》考点强化练习(2017年押题版)(十)

时间:2017-08-08 08:10:47

微信搜索关注"91考试网"公众号,领30元,获取事业编教师公务员等考试资料40G

1、选择题  A、B两个大小相同的金属小球,A带有6Q正电荷,B带有3Q负电荷,当它们在远大于自身直径处固定时,其间静电力大小为F。另有一大小与A、B相同的带电小球C,若让C先与A接触,再与B接触,A、B间静电力的大小变为3F,则C的带电情况可能是(    )
A.带18Q正电荷      B.带12Q正电荷
C.带36Q负电荷      D.带24Q负电荷


参考答案:AD


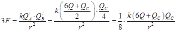
本题解析:因A、B两金属小球间距离远大于自身直径,所以由库仑定律得,接触前,A、B两金属小球间的静电力大小为:.设小球C带电量为,则金属小球C先与A接触后有:,金属小球C再与B接触后有:.由库仑定律得,接触后:A、B两金属小球间的静电力大小为:.于是可得:,即:,解得:,或,所以选项AD正确,选项BC错误.所以选AD.
考点:本题考查库仑定律的应用及接触带电的原则,意在考查考生对基础知识的掌握程度,以及运用基础知识进行计算的能力.


本题难度:一般



2、填空题  将一定量的电荷Q,分成电量q、q'的两个点电荷,为使这两个点电荷相距r时,它们之间有最大的相互作用力,则q值应为______________。


参考答案:Q/2


本题解析:


本题难度:一般



3、选择题  两个相同的金属小球,带电量之比为1∶5,当它们相距r时的相互作用力为F1.若把它们互相接触后再放回原处,它们的相互作用力变为F2.则F1/F2为 (? )
A.5∶1.
B.5∶9.
C.5∶4.
D.5∶8.


参考答案:BC


本题解析:略


本题难度:简单



4、选择题  如图所示,三个完全相同的金属小球a、b、c位于等边三角形的三个顶点上.a和c带正电,b带负电,a所带电量的大小比b的小.已知c受到a和b的静电力的合力可用图中四条有向线段中的一条来表示,它应是(  )
A.F1
B.F2
C.F3
D.F4
91考试网


参考答案:对c球受力分析,如图

91考试网

由于b球的带电量比a球的大,故b球对c球的静电引力较大,根据平行四边形定则,合力的方向如图;
故选B.


本题解析:


本题难度:一般



5、选择题  如图所示,把一个带正电的小球a放在光滑绝缘斜面上,欲使球a能静止在斜面上,需在MN间放一带电小球b,则b

A.带负电,放在A点
B.带负电,放在C点
C.带正电,放在B点
D.带正电,放在C点


参考答案:B


本题解析:分析:小球a要平衡,受重力、支持力和静电力,根据共点力平衡条件分析即可.
解答:解:小球a处于平衡状态,受力平衡,合力为零.
小球受重力,一定向下,支持力一定垂直向上,故小球b对小球a若为静电斥力,小球a不可能平衡,故只能是吸引力,所以小球b与a是异种电荷,即带负电,同时,根据平衡条件,静电引力必然与前两个力的合力等大、反向且在同一条直线上,故只能放在C位置;
故选B.
点评:本题关键对物体受力分析后,根据三力平衡条件,得到未知力的方向范围.


本题难度:一般




首页 上页 9 10 下页 尾页 10/10/10
微信搜索关注"91考试网"公众号,领30元,获取公务员事业编教师考试资料40G
【省市县地区导航】【考试题库导航】
 ★ 高考省级导航 ★ 
全国 A安徽 B北京 C重庆 F福建 G广东 广西 甘肃 贵州 H河南 河北 湖南 湖北 黑龙江 海南 J江苏 江西 吉林 L辽宁 N内蒙古 宁夏 Q青海 S山东 山西 陕西 四川 上海 T天津 X新疆 西藏 Y云南 Z浙江
 ★ 高考信息汇总 ★ 
 ★ 高考历年真题 ★ 
 ★ 高考历年真题 ★ 
 ★ 高考题库 ★ 
 ★ 高考题库 ★ 

电脑版  |  手机版  |  返回顶部