时间:2017-08-07 14:50:22
1、填空题  一个高能γ光子,经过重核附近时与原子核场作用,能产生一对正负电子,请完成相应的反应方程:γ→____________。已知电子质量me=9.10×10-31 kg,光在真空中的传播速度为速为c=3.00×108 m/s,则γ光子的能量至少为____________。
参考答案: ,
,
本题解析:
本题难度:一般
2、选择题  下列说法正确的是(  )
A. 是聚变
是聚变
B. 是裂变
是裂变
C. 是α衰变
是α衰变
D. 是裂变
是裂变
参考答案:AC
本题解析:
本题难度:一般
3、计算题  1919年卢瑟福用α粒子撞击核发现了质子。
(1)写出这个核反应的方程式___________。
(2)上述核反应可以用如下的模型来认识,运动的α粒子撞击一个静止的 核,它们暂时形成一个整体(复合核),随即复合核迅速转化成一个质子和另一个原子核,已知复合核发生转化需要能量1.19 MeV。那么要想发生上述核反应,入射的α粒子的动能至少要多大?
核,它们暂时形成一个整体(复合核),随即复合核迅速转化成一个质子和另一个原子核,已知复合核发生转化需要能量1.19 MeV。那么要想发生上述核反应,入射的α粒子的动能至少要多大? 
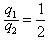
(3)英国物理学家威耳逊在1911年发明了“云室”,带电粒子在云室中运动时,可以显现出运动的径迹。把云室放在匀强电场中,分别将质子和α粒子垂直于电场方向打入同一匀强电场中,观察它们运动的径迹,如果质子和α粒子运动的径迹相同(电场方向和质子、α粒子运动径迹所在平面平行)。求:质子和α粒子进入电场时的动能之比是多少? 
参考答案:解:(1)
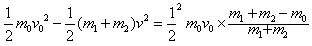
(2)α粒子撞击 核形成复合核,动量守恒,即m0v0=(m1+m2)v
核形成复合核,动量守恒,即m0v0=(m1+m2)v
系统损失的动能变成复合核发生转化所需要的能量,即 =1.19 MeV
=1.19 MeV
入射α粒子的动能
(3)带电粒子垂直于电场方向射入匀强电场中,在匀强电场中做类平抛运动,设它沿入射方向的位移是x,沿电场方向的位移为y,有
质子和α粒子的径迹相同,即它们沿入射方向通过相同的位移x时,沿电场方向的位移y也相同
质子和α粒子动能之比

本题解析:
本题难度:困难
4、简答题  请将下列两个核反应方程补充完整.
①
参考答案:根据质量数和电荷数守恒得:
?42He+?147N→?178O+?11H
?23592U+?10n→?14054Xe+?9438Sr+2?10n
故答案为:①?11H,②2?10n
本题解析:
本题难度:一般
5、选择题  在核反应方程49Be+24He→612c+X中,X应是以下哪种粒子( ? )
A.α粒子
B.β粒子
C.γ粒子
D.中子
参考答案:D
本题解析:
本题难度:简单