高考物理知识大全《机械能守恒及其条件》高频试题特训(2017年最新版)(三)

时间:2017-08-05 17:37:21

微信搜索关注"91考试网"公众号,领30元,获取事业编教师公务员等考试资料40G

1、其他  从离水平地面高为HA点以速度v0


参考答案:


本题解析:


本题难度:一般



2、计算题  如图所示,两平行金属板A、B水平放置,两板间的距离d=40cm.电源电动势E=24V,内电阻r=1Ω,电阻R=15Ω.闭合开关S,待电路稳定后,在两板之间形成匀强电场.在A板上有一个小孔k,一个带电荷量为C、质量为kg的粒子P由A板上方高h=10cm处的O点自由下落,从k孔进入电场并打在B板上点处.当P粒子进入电场时,另一个与P相同的粒子Q恰好从两板正中央点水平飞入.那么,滑动变阻器接入电路的阻值为多大时,粒子Q与P恰好同时打在处。 (粒子间的作用力及空气阻力均忽略不计,取g=10m/s2)


参考答案:滑动变阻器接入电路的阻值为8Ω


本题解析:
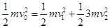
试题分析:根据机械能守恒定律可得P粒子进入电场时的速度为:
m/s
设P、Q在电场中运动的加速度为a,运动到打在点的时间为t,则:
对P:?
对Q:
联立解得:s,

所以,滑动变阻器两端的电压为:

由欧姆定律可得通过滑动变阻器的电流为:
所以,滑动变阻器接入电路的阻值为:Ω


本题难度:一般



3、选择题  下列物体运动过程中,机械能守恒的是(  )
A.沿粗糙斜面匀速下滑的木箱
B.被匀速吊起的物体
C.在空气中匀速下落的降落伞
D.平抛后在空中运动的小石块


参考答案:A、物体沿着粗糙斜面匀速下滑,动能不变,势能减小,所以机械能不守恒.故A错误.
?B、被匀速吊起的物体,动能不变,势能增大,所以机械能不守恒.故B错误.
? C、在空中匀速下降的降落伞,动能不变,重力势能减小,机械能减小,所以C错误.
?D、平抛后在空中运动的小石块,只有重力做功,所以机械能守恒.故D正确.
故选D.


本题解析:


本题难度:一般



4、选择题  如图,大小相同的摆球a和b的质量分别为m和3m,摆长相同,并排悬挂,平衡时两球刚好接触,现将摆球a向左边拉开一小角度后释放,若两球的碰撞是弹性的,下列判断正确的是

A.第一次碰撞后的瞬间,两球的速度大小相等
B.第一次碰撞后的瞬间,两球的动量大小相等
C.第一次碰撞后,两球的最大摆角不相同
D.发生第二次碰撞时,两球在各自的平衡位置


参考答案:AD


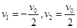
本题解析:两球在碰撞前后,水平方向不受外力,故水平两球组成的系统动量守恒,由动量守恒定律有:;又两球碰撞是弹性的,故机械能守恒,即:,解两式得:,可见第一次碰撞后的瞬间,两球的速度大小相等,选项A正确;因两球质量不相等,故两球碰后的动量大小不相等,选项B错;两球碰后上摆过程,机械能守恒,故上升的最大高度相等,另摆长相等,故两球碰后的最大摆角相同,选项C错;由单摆的周期公式,可知,两球摆动周期相同,故经半个周期后,两球在平衡位置处发生第二次碰撞,选项D正确。
故选AD
点评:关键是知道弹性碰撞,机械能守恒


本题难度:一般



5、选择题  2003 年10 月15 日,我国成功地发射了“神舟”五号载人飞船,经过21 小时的太空飞行,返回舱于次日安全返回.已知飞船在太空中运行的轨道是一个椭圆.椭圆的一个焦点是地球的球心,如图,飞船在飞行中是无动力飞行,只受地球引力作用,在飞船从轨道A 点沿箭头方向运行到B点的过程中,有以下说法正确的是(?)

A.飞船的速度逐渐增大
B.飞船的速度逐渐减小
C.飞船的机械能EA=EB
D.飞船的机械能EA < EB


参考答案:BC


本题解析:从A运动到B过程中,半径在增大,根据公式可得速度在减小,A错误B正确;过程中只有引力做功,所以飞船的机械能守恒,C正确,D错误
故选BC
点评:基础题,比较简单,需要知道在只有引力做功时,机械能守恒


本题难度:简单



Even a black hen lays a white egg. 黑鸡生白蛋,丑妇生俊儿。/草窝里飞出金凤凰。

首页 上页 2 3 4 下页 尾页 3/10/10
微信搜索关注"91考试网"公众号,领30元,获取公务员事业编教师考试资料40G
【省市县地区导航】【考试题库导航】
 ★ 高考省级导航 ★ 
全国 A安徽 B北京 C重庆 F福建 G广东 广西 甘肃 贵州 H河南 河北 湖南 湖北 黑龙江 海南 J江苏 江西 吉林 L辽宁 N内蒙古 宁夏 Q青海 S山东 山西 陕西 四川 上海 T天津 X新疆 西藏 Y云南 Z浙江
 ★ 高考信息汇总 ★ 
 ★ 高考历年真题 ★ 
 ★ 高考历年真题 ★ 
 ★ 高考题库 ★ 
 ★ 高考题库 ★ 

电脑版  |  手机版  |  返回顶部