时间:2017-08-05 16:43:24
1、选择题 下列几个图象,可以表示物体在做匀速直线运动的是( )
参考答案:BC
本题解析:略
本题难度:一般
2、选择题 如图,甲、乙两个物体相距x=7m,物体甲在水平拉力和摩擦力作用下,正以v1=4 m/s的速度向右匀速运动,而物体乙此时的速度v2=10m/s,由于摩擦力作用向右匀减速运动,加速度大小a=2 m/s2,那么物体甲追上乙所用的时间为(?)
A.7s
B.8s
C.9s
D.10s
参考答案:B
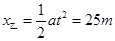
本题解析:乙物体匀减速但是速度减小到0后将静止不动,那么到乙停下来位置经历的时间
,此段时间内乙的位移
,而甲的位移
由于
,所以甲在乙停下来之前还没追上乙,此时距离
,甲追上乙即走完这12m还需要时间
,所以甲追上乙的时间为
选项B对。
本题难度:简单
3、计算题 一列火车从车站出发做匀加速直线运动,加速度为
,此时恰好有一辆自行车(可视为质点)从火车头旁边驶过,自行车速度
,火车长
.
(1)火车追上自行车以前落后于自行车的最大距离是多少?
(2)火车用多少时间可追上自行车?
(3)再过多长时间可超过自行车?
参考答案:(1)64m(2)32s(3)24s
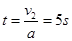
本题解析:(1)当火车速度等于
时,二车相距最远
得
?(2分)
最大距离
(4分)
(2)设火车追上自行车用时间
追上时位移相等。则
得
(3)追上时火车的速度
(1分)
设再过
时间超过自行车,则
?(2分)
代入数据解得
(1分)
点评:在分析追击相遇问题时,需要弄清楚题中隐含的条件,以及寻找临界状态
本题难度:一般
4、简答题 甲、乙、丙三辆车行驶在平直公路上,车速分别为6m/s、8 m/s、9 m/s.当甲、乙、丙三车依次相距5m时,乙车驾驶员发现甲车开始以1m/s2的加速度做减速运动,于是乙也立即做减速运动,丙车驾驶员也同样处理.如图2-15(原图2-23)所示.直到三车都停下来时均未发生撞车事故.求丙车减速运动的加速度至少应为多大?[8]
![]() |
参考答案:1.45m/s2
本题解析:(1)乙与甲两车刚不相碰时,甲车还未停止,故为避免乙车与甲车相碰,乙车减速运动的加速度至少应为:
>
, ①
其中a1=1m/s2,v1=6m/s,v2=8m/s,s="5m" 代入①式得
>1.4m/s2,
(2)丙车与乙车相碰前,乙车已停止,故为避免丙车与乙车相碰,丙车减速运动的加速度至少应为:
a3
, ②
其中a2=1.4m/s2,v2=8m/s,v3=9m/s,s="5m" 代入②式得
1.45m/s2
所以丙车减速运动的加速度至少应为1.45m/s2。
本题难度:简单
5、选择题 a、b、c三个物体在同一条直线上运动,三个物体的位移图象如图所示,图象c是一条抛物线,坐标原点是抛物线的顶点,下
列说法中正确的是 ( )
A.a、b两物体都做匀速直线运动,两个物体的速度相同
B.a、b两物体都做匀速直线运动
,两个物体的速度大小相同方向相反
C.在0~5s的时间内,t=5s时,a、b两个物体相距最远
D.物体c做匀加速运动,加速度为0.2m/s2
参考答案:BCD
本题解析:略
本题难度:一般