时间:2017-07-27 11:39:21
1、选择题 一束不计重力的带电粒子以相同的速率从同一位置垂直于电场方向飞入匀强电场中,所有粒子的运动轨迹重合,说明所有粒子?(?)
A.具有相同的质量
B.电量与质量之比相同
C.具有相同的电荷量
D.是同位素
参考答案:B
本题解析:以相同的速率入射,若运动轨迹重合,则所有粒子具有相同的加速度。据
可知,电量与质量之比相同,B对。
本题难度:简单
2、选择题 如图所示,两水平放置的平行金属板间有一竖直方向的匀强电场。质量相同的两个带电粒子(重力不计)P、Q沿垂直于电场线方向射入电场中,P从两极板正中央射入,Q从下极板边缘处射入,它们最后打在同一点,在电场中形成两条轨迹1和2。那么,下列关于它们的初速度Vp和vQ、电势能改变量△Ep和△EQ、电荷量qP和qQ以及它们在电场中运动的时间tp和tQ之间的关系的说法中,正确的是

[? ]
参考答案:D
本题解析:
本题难度:一般
3、计算题 如图所示电子射线管阴极K发射电子,阳极P和阴极K间加上电压后电子被加速.A、B是偏向板,使飞进的电子偏离.若已知P、K间所加电压UPK=2.5×103V,偏向板长L=6.0×10-2m,板间距离d=10-2m,所加电压UAB=100V,R=3×10-2m.电子电量e=-1.6×10-19C.设从阴极出来的电子速度为零.试问:
(1)偏转电场对电子所做的功是多少?
(2)电子最后打在荧光屏上O′点,求OO′间距离是多少?
参考答案: (1)W=5.76
10-18J;(2)dx=7.2×10-3m
本题解析:
试题分析: (1)电子在加速电场中运动
据动能定理:qUpk=
mVp2 ①
在偏转电场中:水平方向:L=Vpt ②
竖直方向:a=
=
③
则偏移量:y=
at2 ④
则偏转电场电场对电子所做的功:W=F电y=qEy ⑤
由①②③④⑤得:W=5.76
10-18J
(2)电子离开偏转电场后做匀速直线运动,由图中的几何关系得到
解得:dx=7.2×10-3m
考点: 带电粒子在电场中的运动
本题难度:一般
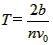
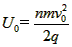
4、计算题 如图1在真空中,O点放置一点电荷D,MN与PS间为无电场区域,A、B为两平行金属板,两板间距离为b,板长为2b,O1O2为两板的中心线。现有一质量为m、电荷量为q的带正电粒子从距O点正下方R处,以速度V0垂直MN向左进入点电荷D的电场,绕O点做匀速圆周运动,通过无电场区域后,恰好沿O1O2方向进入板间,此时给A、B板加上如图2所示的电压u,最后粒子刚好以平行于B板的速度,从B板的边缘飞出,不计平行金属板两端的边缘效应及粒子所受重力,已知静电力常量为K。
(1)求点电荷D的电量Q,并判断其电性;
(2)求交变电压的周期T和电压U0。

参考答案:解:(1)对粒子在做圆周运动时,库伦力提供向心力则
解得
由于粒子带正电,故点电荷D带负电
(2)对粒子在板间运动时,设运动时间为t,则:2b=v0t ,
又知t=nT(n=1,2,…)
解得
(n=1,2,…),
(n=1,2,…) 。
本题解析:
本题难度:一般
5、选择题 如图所示,虚线框内存在着沿纸面方向的匀强电场(具体方向未画出),一质子从bc边上的M点以速度v0垂直于bc边射入电场,只在电场力作用下,从cd边上的Q点飞出电场.下列说法正确的是?(?)?