时间:2017-07-17 07:51:31
1、选择题 直角梯形线框abcd如左图所示,ab与cd间的距离为l。两条平行虚线之间存在匀强磁场,虚线间的距离也为l,磁场方向垂直纸面向里,其左侧虚线恰好与ab边相切。现令线圈以恒定的速度v沿垂直于磁场区域边界的方向穿过磁场区域。取沿a→b→c→d→a的感应电流为正,则在线圈穿越磁场区域的过程中,感应电流I随时间t变化的图线可能是下图所示的?(?)

参考答案:B
本题解析:开始ab边进入磁场切割磁感线,由右手定则可知,电流方向为a→d→c→b→a,电流方向是负的,故AC错误;由右手定则可知,ab边离开磁场时,感应电流方向是a→b→c→d→a,电流方向是正的,故B正确,D错误;故选B.
本题难度:简单
2、选择题 下列说法正确的是
A.电荷在电场中一定受到电场力的作用
B.运动电荷在磁场中一定受到磁场力的作用
C.一小段通电导体在磁场中一定受到磁场力的作用
D.一小段通电导体在电场中一定受到电场力的作用
参考答案:A
本题解析:A、电场的基本性质是对放入其中的电荷有力的作用,即电荷在电场中一定受到电场力的作用;正确
B、运动电荷在磁场中,当速度与磁场方向平行时不受磁场力的作用;错误
C、一小段通电导体在磁场中,当导线与磁场方向平行时不受磁场力的作用;错误
D、一小段通电导体在电场中,不受到电场力的作用;错误
故选A
点评:电荷在电场中一定受电场力的作用,运动电荷与通电导线在磁场中不一定受磁场力的作用。
本题难度:简单
3、选择题 发电机和电动机的发明使人类步入电气化时代,其中电动机依据的原理是( )
A.磁场对电流的作用
B.磁铁间的相互作用
C.惯性定律
D.万有引力定律
参考答案:电动机依据的原理是磁场对电流的作用.故A正确,B、C、D错误.
故选A.
本题解析:
本题难度:一般
4、填空题 在磁感应强度B的匀强磁场中,垂直于磁场放入一段通电导线。若任意时刻该导线中有N个以速度v做定向移动的电荷,每个电荷的电量为q。则每个电荷所受的洛伦兹力f=___________,该段导线所受的安培力为F=___________。
参考答案:qvB,NqvB
本题解析:
本题难度:简单
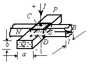
5、计算题 如图所示,在与水平方向成60°角的光滑金属导轨间连一电源,在相距1m的平行导轨上放一重为3N的金属棒ab,棒上通以3A的电流,磁场方向竖直向上,这时棒恰好静止,求:
(1)匀强磁场的磁感应强度;
(2)ab棒对导轨的压力.
参考答案:解:导体ab的截面受力图如图所示,则
斜面方向的平衡方程为:mgsin60°=FAcos60°? ①
垂直于斜面方向的平衡方程为:N=mgcos60°+FAsin60°? ②?
FA=BIL ③
解①②③式得B=
T,N=6N
本题解析:
本题难度:一般