时间:2017-03-05 16:29:00
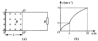
1、计算题 如图(a)所示,相距为L的光滑平行金属导轨水平放置,导轨的一部分处在以OO"为右边界的匀强磁场中,匀强磁场的磁感应强度大小为B,方向垂直导轨平面向下,导轨右侧接有定值电阻R,导轨电阻忽略不计。在距边OO"也为L处垂直导轨放置一质量为m、电阻不计的金属杆ab。
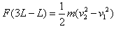
(1)若ab杆在恒力作用下由静止开始向右运动3L距离,其速度位移的关系图像如图(b)所示,求此过程中电阻R上产生的焦耳热Q1和ab杆在刚离开磁场时的加速度大小a。
(2)若ab杆固定在导轨上的初始位置,磁场的磁感应强度按B=B0cosωt的规律由B0减小到零,已知此过程中电阻R 上产牛的焦耳热为Q2,求ω的大小。 
参考答案:解:(1)ab杆运动从L到3L的过程中,由动能定理得
ab杆在磁场中由起始位置到位移为L的过程中,根据功能关系,恒力F做的功等于ab杆增加的动能与回路产生的焦耳热之和,则
联立解得
ab杆刚要离开磁场时,水平方向上受安培力F安和恒力F作用,安培力F安=
由牛顿第二定律可得F-F安=ma
解得
(2)当磁场的磁感应强度接B=B0cosωt的规律变化时,闭合回路的磁通量φ的变化规律为φ=B0L2cosωt
此过程中穿过线圈的磁通量变化规律与面积为L2的线圈在匀强磁场B0中以角速度为ω匀速转动的规律相同,因此此回路中产生了交流电,其感应电动势的最大值为Em=B0L2ω,磁感应强度由B0减小到零,相当于线圈从中性面开始转动90°角,经历1/4个周期,此过程中电阻R 上产生的焦耳热
又
解得
本题解析:
本题难度:困难
2、选择题 穿过某线圈的磁通量随时间变化的关系如图所示,在下列几段时间内,线圈中感应电动势最小的是( )
A.0~2 s
B.2 s~4 s
C.4 s~5 s
D.5 s~10 s
参考答案:D
本题解析:根据法拉第电磁感应定律E=n
知,磁通量的变化率越小,感应电动势越小,产生的感应电流越小.从图线上可以得出,在5-10s内,图线的斜率最小,则感应电动势最小.故D正确.
解决本题的关键知道感应电动势的大小与磁通量的变化率成正比,磁通量的变化率越小,产生的感应电动势越小.
本题难度:简单
3、选择题 如图所示,有两个相邻的有界匀强磁场区域,磁感应强度的大小均为B,磁场方向相反,且与纸面垂直,磁场区域在轴方向宽度均为a,在轴方向足够宽。现有一高为a的正三角形导线框从图示位置开始向右沿x轴方向匀速穿过磁场区域。若以逆时针方向为电流的正方向,在下图中,线框中感应电流i与线框移动的位移x的关系图象正确的是
[? ]
A.
B.
C.
D.
参考答案:C
本题解析:
本题难度:一般
4、选择题 如图所示,一个水平放置的“∠”型光滑导轨固定在磁感应强度为B的匀强磁场中,ab是粗细、材料与导轨完全相同的导体棒,导体棒与导轨接触良好.在外力作用下,导体棒以恒定速度v向右平动,以导体棒在图中所示位置的时刻作为计时起点,则回路中感应电动势E、感应电流I、导体棒反受外力的功率P和回路中产生的焦耳热Q随时间变化的图象中正确的是( )
A.
B.
C.
D.

参考答案:AC
本题解析:
本题难度:简单
5、计算题 (16分)一般在微型控制电路中,由于电子元件体积很小,直接与电源连接会影响电路精准度,所以采用“磁”生“电”的方法来提供大小不同的电流。在某原件工作时,其中一个面积为S=4×10-4m2,匝数为10匝,每匝电阻为0.02Ω的线圈放在匀强磁场中,磁场方向垂直于线圈平面,磁感应强度大小B随时间t变化的规律如图1所示。
(1)求在开始的2s内,穿过线圈的磁通量变化量;
(2)求在开始的3s内,线圈产生的热量;
(3)小勇同学做了如图2的实验:将并排在一起的两根电话线分开,在其中一根电话线旁边铺设一条两端分别与耳机连接的导线,这条导线与电话线是绝缘的,你认为耳机中会有电信号吗?写出你的观点,并说明理由。
参考答案:(1)
;(2)1.92×10
本题解析:
本题难度:一般