时间:2017-03-02 09:59:11
1、选择题 如图所示,金属裸导线框abcd放在水平光滑金属导轨上,在磁场中向右运动,匀强磁场垂直水平面向下,则
A.G1表的指针发生偏转
B.G2表的指针发生偏转
C.G1表的指针不发生偏转
D.G2表的指针不发生偏转
2、选择题 不定项选择
关于行星的运动,以下说法正确的是( ? )
A.行星轨道的半长轴越长,自转周期就越大
B.行星轨道的半长轴越长,公转周期就越大
C.水星的半长轴最短,公转周期最大
D.冥王星离太阳“最远”,绕太阳运动的公转周期最大
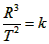
3、选择题 不定项选择
关于公式
中的常量k,下列说法中正确的是( ? )
A.对于所有星球的行星或卫星,k值都相等
B.不同星球的行星或卫星,k值不相等
C.k值是一个与星球无关的常量
D.k值是一个与星球有关的常量
4、选择题 有关开普勒关于行星运动的描述,下列说法中不正确的是( ? )
A.所有的行星绕太阳运动的轨道都是椭圆,太阳处在椭圆的一个焦点上
B.所有的行星绕太阳运动的轨道都是圆,太阳处在圆心上
C.所有的行星轨道的半长轴的三次方跟公转周期的二次方的比值都相等
D.不同的行星绕太阳运动的椭圆轨道是不同的
5、选择题 根据开普勒三定律的内容,下列说法正确的是
[? ]
A.所有行星绕太阳的运动是匀速圆周运动
B.所有行星是以同样的速度绕太阳做椭圆运动
C.对于每一个行星在近日点时的速率均大于在远日点的速率
D.公式
中的k值对所有行星或卫星都相等