时间:2020-08-15 23:19:54
1、选择题 下列关于人造地球卫星与宇宙飞船的说法中,正确的是( )
A.如果知道人造地球卫星的轨道半径和它的周期,再利用万有引力常量,就可以算出地球的质量
B.两颗人造地球卫星,只要它们的绕行速率相等,不管它们的质量、形状差别有多大,它们的绕行半径和绕行周期都一定相同
C.原来在某一轨道上沿同一方向绕行的人造卫星一前一后,若要使后一卫星追上前一卫星并发生碰撞,只要将后者的速率增大一些即可
D.一只绕火星飞行的宇宙飞船,宇航员从舱内慢慢走出,并离开飞船,飞船因质量减小,所受万有引力减小,故飞行速度减小
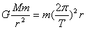
参考答案:A、设地球的质量为M,卫星的质量m,轨道半径和周期分别为r和T,则有
? GMmr2=m4π2rT2? 得到地球的质量为? M=4π2r3GT2,即根据人造地球卫星的轨道半径、周期和万有引力常量,可以算出地球的质量.故A正确.
? ? B、人造地球卫星速度公式v=
本题解析:
本题难度:一般
2、简答题 曲线上某处的曲率半径反映的是曲线的弯曲程度,曲率半径越小,说明曲线弯曲的程度越高;曲率半径相同,曲线弯曲程度相同.如图所示,发射卫星时先让卫星在近地轨道1上做圆周运动,后让卫星在以地球为一个焦点的椭圆轨道2上运动,最后让卫星进入同步轨道3做圆周运动.已知地球的半径为R,地球表面的重力加速度为g,同步轨道的半径为r0,卫星的质量为m0.当质量为m的卫星离地心的距离为r时,其引力势能的表达式为Ep=-
| GMm r |

参考答案:(1)根据万有引力提供向心力,
对于近地卫星,由于卫星贴近地球表面,则
? GMmR2=mv21R? ①
对于同步卫星,有
? GMmr20=mv23r0? ②
又对于物体在地球表面时,万有引力近似等于重力,则有
? m′g=GMm′R2? ③
由①②③解得,v1=
本题解析:
本题难度:一般
3、选择题 
A.可以计算出神舟七号飞船绕地球飞行的线速度
B.可以计算出神舟七号飞船绕地球飞行的加速度
C.可以计算出神舟七号飞船绕地球飞行的周期
D.神舟七号飞船绕地球飞行的速度比月球绕地球运行的速度小
参考答案:ABC
本题解析:在地球的表面有
,由
?得
,故A正确,神舟七号飞船绕地球飞行的半径比月球绕地球运行小,则神舟七号飞船绕地球飞行的速度比月球绕地球运行的速度大,故D不正确;根据
,得
,故B正确;根据
可知
,故C正确。
本题难度:一般
4、计算题 在勇气号火星探测器着陆的最后阶段,着陆器降落到火星表面上,再经过多次弹跳才停下来。假设着陆器第一次落到火星表面弹起后,到达最高点时高度为h,速度方向是水平的,速度大小为v0,求它第二次落到火星表面时速度的大小,计算时不计火星大气阻力。已知火星的一个卫星的圆轨道的半径为r,周期为T,火星可视为半径为r0的均匀球体。
参考答案:解:以g'表示火星表面附近的重力加速度,M表示火星的质量,m表示火星的卫星的质量,m'表示火星表面处某一物体的质量,由万有引力定律和牛顿第二定律,有
,
设v表示着陆器第二次落到火星表面时的速度,它的竖直分量为v1,水平分量仍为v0,有
,
由以上各式解得
本题解析:
本题难度:一般
5、选择题 人类为探测月球是否存在水分,于2009年10月9日利用一支火箭和一颗卫星连续撞击月球。据天文学家测量,月球的半径约为1800km,月球表面的重力加速度约为地球表面重力加速度的1/6,月球表面在阳光照射下的温度可达127°C,而此时水蒸气分子的平均速率达2 km/s,下列说法正确的是
A.卫星撞月前应先在原绕月轨道上加速
B.卫星撞月前应先在原绕月轨道上减速
C.由于月球的第一宇宙速度大于2 km/s,所以月球表面可能有水
D.由于月球的第一宇宙速度小于2 km/s,所以月球表面在阳光照射下不可能有水
参考答案:BD
本题解析:分析:卫星在绕月轨道上若加速,万有引力不够提供的所需的向心力,做离心运动,若减速,万有引力大于所需的向心,做近心运动.判断月球表面有无水,只要计算出月球的第一宇宙速度,比较水蒸气分子的平均速率与第一宇宙速度的大小.若水蒸气分子的平均速率大于月球的第一宇宙速度,水蒸气做离心运动,可知月球表面无水.
解答:解:A、卫星在原绕月轨道上加速,万有引力不够提供所需的向心力,做离心运动,不会撞月.故A错误.
B、卫星在原绕月轨道上减速,万有引力大于所需的向心力,做近心运动,会撞月.故B正确.
C、根据mg=m
,v=
,知月球的第一宇宙速度大约为1.7km/s,小于2km/s.水蒸气受到的万有引力不够提供向心力,做离心运动,所以月球月球表面在阳光照射下不可能有水.故C错误,D正确.
故选BD.
点评:解决本题的关键理解第一宇宙速度,以及知道万有引力不够提供的所需的向心力,做离心运动,万有引力大于所需的向心,做近心运动.
本题难度:一般