高中物理高考知识点《气体的状态方程》考点强化练习(2020年练习版)(七)

时间:2020-08-15 22:58:01

微信搜索关注"91考试网"公众号,领30元,获取事业编教师公务员等考试资料40G

1、选择题  如图8-3-4所示,一端封闭的粗细均匀的玻璃管,开口向上竖直放置,管中有两段水银柱封闭了两段空气柱,开始时V1=2V2,现将玻璃缓慢地均匀加热,则下列说法正确的是(? )

图8-3-4
A.加热过程中,始终保持V1′=2V2′
B.加热后V1′>2V2′
C.加热后V1′<2V2′
D.条件不足,无法确定


参考答案:A


本题解析:在加热过程中,上段气柱的压强始终保持为p0+ρgh1不变,下段气柱的压强始终为p0+ρgh1+ρgh2不变,所以整个过程为等压变化,根据盖·吕萨克定律得:
,得V1′=V1
,得V2′=V2
所以,即V1′=2V2′.


本题难度:简单



2、简答题  如图7-17所示,一根一端封闭的玻璃管,当L=0.96m,内有一段长h1=0.20m的水银柱。当温度为t1=27℃,开口端竖直向上时,封闭空气柱h2= 0.60m。问温度至少升到多高时,水银柱才能从管中全部溢出?(外界大气压相当于L0= 0.76m高的水银柱产生的压强)


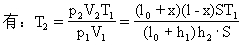
参考答案:T2=385.2K


本题解析:【错解分析】错解:以封闭气体为研究对象,其初态:p1=(L0+h1),V1=h2S下;末态是水银刚好完全溢出时的状态:p2=L0,V2=LS
  T2=?
  
  上述解答中有一个错误,就是存在“潜在假设”。即认为:水银柱在外溢过程中,气体体积越大,对应温度越高,当气体充满整个玻璃管(即水银全部溢出)时,所对应的温度是最高的。事实是:
  越高。在水银末溢出前,p不变,V越大,T越大。在水银溢出的过程中,p减小,V增大,p·V的乘积并非一直增大。所以我们在解题的过程中,应找出在什么条件下,pV的乘积最大,由此确定相应的温度。
  T越高,假设管中还有长为X的水银柱尚未溢出时,pV值最大,即(L0+x)(L-x)S的值最大,这是一个数学求极值问题。因为(L0+x)+(L-x)=(L0+L)与x的大小无关,所以由数学知识可知:两数之和为一常数,则当这两数相等时,其乘积最大。
  所以:L0+x =L-x
  
  即管内水银柱由0.20m溢出到还剩下0.10m的过程中,p·V的乘积越来越大,这一过程必须是升温的。此后,温度不必再升高(但要继续给气体加热),水银柱也将继续外溢,直至完全溢出。由气态方程:
  
   
  代入数据得:T2=385.2K。


本题难度:简单



3、选择题  下列说法中正确的是(  ).
A.一定质量的理想气体保持压强不变,温度升高,体积一定增大
B.布朗运动是液体分子的运动,它说明分子永不停息地做无规则运动
C.第二类永动机虽然不违反能量守恒定律,但它是制造不出来的
D.液晶在光学和电学性质上表现出各向同性


参考答案:AC


本题解析:由气体实验定律可知A正确;布朗运动是固体小颗粒的运动,是由小颗粒周围的液体分子撞击颗粒的不平衡引起的,B错误;第二类永动机虽然不违反能量守恒定律,但违反热力学第二定律,它是制造不出来的,C正确;液晶在光学和电学性质上表现出各向异性,D错误.


本题难度:简单



4、选择题  两端封闭的玻璃管,中间有一段水银把空气分割为两部分,当玻璃管竖直时,上下两部分的空气体积相等,如果将玻璃管倾斜,则(  )
A.水银柱下降,上面空气体积增大
B.水银柱上升,上面空气体积减小
C.水银面不动,上面空气体积不变
D.下面部分的空气压强减小


参考答案:BD


本题解析:水银柱的压强P=mgh,h指的是竖直高度,如果将玻璃管倾斜,水银柱的竖直高度减小,水银柱压强减小,下面空气压强减小,体积增大,BD对;


本题难度:简单



5、选择题  一定质量的理想气体,在某一平衡状态下的压强、体积和温度分别为p1、V1、T1,在另一平衡状态下的压强、体积和温度分别为P2、V2、T2,下列关系正确的是
[? ]
A.p1=p2,V1=2V2,T1=
B.P1=P2,V1=V2,T1=2T2
C.P1=2P2,V1=2V2,T1=2T2
D.P1=2P2,V1=V2,T1=2T2


参考答案:D


本题解析:


本题难度:简单




首页 上页 6 7 8 下页 尾页 7/10/10
微信搜索关注"91考试网"公众号,领30元,获取公务员事业编教师考试资料40G
【省市县地区导航】【考试题库导航】
 ★ 高考省级导航 ★ 
全国 A安徽 B北京 C重庆 F福建 G广东 广西 甘肃 贵州 H河南 河北 湖南 湖北 黑龙江 海南 J江苏 江西 吉林 L辽宁 N内蒙古 宁夏 Q青海 S山东 山西 陕西 四川 上海 T天津 X新疆 西藏 Y云南 Z浙江
 ★ 高考信息汇总 ★ 
 ★ 高考历年真题 ★ 
 ★ 高考历年真题 ★ 
 ★ 高考题库 ★ 
 ★ 高考题库 ★ 

电脑版  |  手机版  |  返回顶部