时间:2020-08-09 23:23:13
1、简答题 如图5-4-5所示,直杆长为2L,中心有一转轴O,两端分别固定质量为2m、m的小球a和b.当杆从水平位置转到竖直位置时,小球a和b构成的系统重力势能如何变化,变化了多少?
图5-4-5
参考答案:系统的重力势能减少,且减少了mgL
本题解析:重力对小球a做功为W1=2mgL,重力对小球b做功为W2=-mgL,重力对a和b组成的系统所做的总功W=W1+W2=2mgL+(-mgL)=mgL,故系统的重力势能减少,且减少了mgL.
本题难度:简单
2、选择题 如图,若x轴表示电流,y轴表示电压,则该图像可以反映某电源路端电压和干路电流的关系.若令x轴和y轴分别表示其它的物理量,则该图像可以反映在某种情况下,相应的物理量之间的关系.下列说法中正确的是:
A.若x轴表示距离,y轴表示电场强度,则该图像可以反映点电荷在某点的场强与该点到点电荷距离的关系
B.若x轴表示物体下落的高度,y轴表示重力势能,则该图像可以反映物体自由下落的过程中重力势能与下落高度的关系(以地面为重力势能零点)
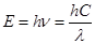
C.若x轴表示波长,y轴表示能量,则该图像可以反映光子能量与波长的关系
D.若x轴表示时间,y轴表示感应电流,则该图像可以反映某矩形线框以恒定速度离开匀强磁场的过程中,回路中感应电流与时间的关系
参考答案:B
本题解析:点电荷在某点的场强与该点到点电荷距离
,即
,图像是一条曲线,选项A错。物体自由下落的过程中重力势能与下落高度的关系
,其中
代表下落时的高度,
代表下落高度,二者为线性关系,且为减函数,图像为倾斜向下的直线,选项B对。光子能量与波长的关系
,即
,图像为双曲线的一支,选项C错。某矩形线框以恒定速度离开匀强磁场的过程,感应电流
,由于速度恒定,所以感应电流恒定,大小不会随时间变化,选项D错。
本题难度:一般
3、选择题 甲物体向东运动,其动能为Ek1 ,乙物体向西运动,其动能为Ek2 ,则下列说法正确的是
[? ]
A.Ek1的方向向东,Ek2的方向向西?
B.若Ek1的大小为正值,则Ek2的大小为负值?
C.Ek1和Ek2的大小不可能相等?
D.Ek1有可能与Ek2相等
参考答案:D
本题解析:
本题难度:一般
4、选择题 蹦床运动是运动员从蹦床反弹起来后在空中表演技巧的运动.如图所示.当运动员从最高处下降至最低处的过程中(不计空气阻力),运动员(?)
A.动能一直增大
B.所受重力始终做正功
C.动能一直减小
D.重力势能只转变成动能
参考答案:B
本题解析:蹦床运动中,运动员从高处下落(不计空气阻力),运动员的机械能不变,碰到蹦床前重力势能减少,动能增加;但接触蹦床后,开始时,动能继续增大,重力势能继续减小,弹性势能增加。
所以ACD均错误;由于物体一直下降,故所受重力始终做正功,B正确。
故答案为:B。
本题难度:简单
5、选择题 一个物体在竖直下落过程中,如果重力做功20J,克服空气阻力做功8J。则物体在此过程中
A.重力势能减小20J
B.动能增加28J
C.机械能减小8J
D.机械能减小12J
参考答案:AC
本题解析:重力势能的变化只与重力做功有关,重力做功多少重力势能就减小多少,A对;合力做功12J,由动能定理可知动能增加12J,B错;机械能的变化由除了重力以外其他力做功来判断,所以机械能减小8J,C对;D错;
本题难度:简单