时间:2019-12-13 02:23:14
1、实验题 如图所示,用导线将验电器与洁净锌板连接,触摸锌板使验电器指示归零。用紫外线照射锌板,验电器指针发生明显偏转,接着用毛皮摩擦过的橡胶棒接触锌板,发现验电器指针张角减小,此现象说明锌板带____________电(选填写“正”或“负”);若改用红外线重复上实验,结果发现验电器指针根本不会发生偏转,说明金属锌的极限频率____________红外线(选填“大于”或“小于”)。

参考答案:正,大于
本题解析:
本题难度:一般
2、选择题 用绿光照射光电管的阴极时,电流表有一定的读数。若改用强度大一倍的紫光照射阴极,将出现?(?)
A.电流表读数为零
B.电流表读数增大
C.逸出光电子的最大初动能减小
D.逸出光电子的最大初动能增大
参考答案:BD
本题解析:应用频率越大的紫光,仍发生光电效应,且逸出光电子的最大初动能增大,强度越大,电流越大,BD正确。
本题难度:简单
3、选择题 不定项选择
对黑体辐射电磁波的波长分布的影响因素是( ? )
A.温度
B.材料
C.表面状况
D.以上都正确
参考答案:A
本题解析:
本题难度:简单
4、计算题 如图所示,相距为d的两平行金属板A、B足够大,板间电压恒为U,有一波长为λ的细激光束照射到B板中央,使B板发生光电效应,已知普朗克常量为h,金属板B的逸出功为W,电子质量为m,电荷量e,求:
(1)从B板运动到A板所需时间最短的光电子,到达A板时的动能;
(2)光电子从B板运动到A板时所需的最长时间。

参考答案:解:(1)根据爱因斯坦光电效应方程EK=h-W,光子的频率为
所以,光电子的最大初动能为EK=
-W
能以最短时间到达A板的光电子,是初动能最大且垂直于板面离开B板的电子,设到达A板的动能为EK1
由动能定理,得eU=EK1一EK
所以EK1=eU+
-W
(2)能以最长时间到达A板的光电子,是离开B板时的初速度为零或运动方向平行于B板的光电子
则
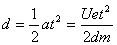
得t=d
本题解析:
本题难度:困难
5、选择题 不定项选择
下述说法正确的是( ? )
A.微观粒子的能量变化是跳跃式的
B.能量子与电磁波的频率成正比
C.红光的能量子比绿光大
D.电磁波波长越长,其能量子越大
参考答案:AB
本题解析:
本题难度:一般