高考物理题《自由落体运动》高频试题特训(2019年最新版)(十)

时间:2019-12-13 01:30:57

微信搜索关注"91考试网"公众号,领30元,获取事业编教师公务员等考试资料40G

1、选择题  不定项选择
甲、乙两个铁球从同一高度先后自由下落( ? )
A.甲相对于乙做匀加速直线运动
B.甲相对于乙静止
C.甲相对于乙做匀速直线运动
D.甲相对于乙做变加速直线运动


参考答案:C


本题解析:


本题难度:简单



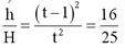
2、计算题  同学们在学习了伽利略对自由落体运动的研究后,小张同学给小黄同学出了这样一道题目:让一个物体从一高楼的楼顶由静止落下(不考虑空气阻力),物体到达地面前最后一秒内通过的位移为整个位移的9/25,求楼顶离地的高H(取g="10" m/s2).
小黄同学的解法为:根据得物体在最后1 s内的位移再根据得H="13.9" m,小黄同学的解法是否正确?如果正确,说明理由;如果不正确,请给出正确的解答过程和答案.


参考答案:不正确


本题解析:小黄同学的解法不正确.根据题意画出运动过程的示意图,设物体从楼顶落到地面所经历时间为t,通过位移为H,物体在(t-1)秒内的位移为h.据自由落体运动规律,有:? 3分
(t-1)2?3分
由题意得? 3分
联立以上各式解得? t=5(s)? 1分?
H="125" (m)? 2分
点评:解决本题的关键通过,结合到达地面最后一秒内的位移等于ts内的位移减去(t-1)s内的位移,求出运行的时间,从而求出下落的距离,即塔高.


本题难度:一般



3、简答题  一个小球从距离地面20m的高空下落,做自由落体运动(g取10m/s2).求:
(1)小球落地时的速度大小;
(2)小球落地前最后1s时间内下落的高度.


参考答案:(1)由v2=2gh
代入数据得:v=


本题解析:


本题难度:一般



4、选择题  在一根轻绳的两端各拴一个小球,一人用手拿绳上端的小球站在三层楼的阳台上放手让小球自由下落,两球落地时间差为△t.如果站在四楼阳台上,重复上述实验,则两球落地时间差会(?)
A.不变
B.变大
C.变小
D.由于层高不知,无法比较


参考答案:C


本题解析:,对此式应用极限分析法:当楼层高度趋近无穷时,时间差趋近于零,所以楼层越高则时间差越小.


本题难度:一般



5、选择题  某同学为了测出教学楼的高度,在楼顶由静止释放一块石子,忽略空气阻力,则通过以下哪个数据不能计算出楼的高度
[? ]
A.石子下落的总时间
B.石子落地时的瞬时速度
C.石子下落最初1s的位移
D.石子最后1s下落的距离


参考答案:C


本题解析:


本题难度:一般




首页 上页 9 10 下页 尾页 10/10/10
微信搜索关注"91考试网"公众号,领30元,获取公务员事业编教师考试资料40G
【省市县地区导航】【考试题库导航】
 ★ 高考省级导航 ★ 
全国 A安徽 B北京 C重庆 F福建 G广东 广西 甘肃 贵州 H河南 河北 湖南 湖北 黑龙江 海南 J江苏 江西 吉林 L辽宁 N内蒙古 宁夏 Q青海 S山东 山西 陕西 四川 上海 T天津 X新疆 西藏 Y云南 Z浙江
 ★ 高考信息汇总 ★ 
 ★ 高考历年真题 ★ 
 ★ 高考历年真题 ★ 
 ★ 高考题库 ★ 
 ★ 高考题库 ★ 

电脑版  |  手机版  |  返回顶部