时间:2019-12-13 01:25:11
1、计算题 如图所示,固定于水平桌面上足够长的两平行导轨PQ、MN,PQ、MN的电阻不计,间距为
P、M两端接有一只理想电压表,整个装置处于竖直向下的磁感应强度B=0.2T的匀强磁场中.电阻均为
,质量分别为
和
的两金属棒L1、L2平行的搁在光滑导轨上,现固定棒L1,L2在水平恒力F=0.8N的作用下,由静止开始做加速运动,试求:
(1)当电压表的读数为U=0.2V时,棒L2的加速度多大?
(2)棒L2能达到的最大速度
。
参考答案:(1)
(2)
本题解析:(1)
串联,所以渡过
的电流
所受安培力
。故棒
?的加速度
。
(2)当
所受安培力
时,棒有最大速度
,此时电路中电流为
由以上几式得:
本题难度:一般
2、选择题 经过研究发现,通常情况下南极附近的地磁场可作为匀强磁场看待。由于海流的影响,南极澳大利亚的戴维斯站在某段时间内不能得到常备物资,我国南极中山站及时提供了援助。在援助行动中,汽车由中山站出发驶往戴维斯站的某一段时间内,汽车在平整的冰面上匀速行驶,则在该段时间内,汽车后轮金属轮轴左右两端间的自由电荷(? )
A.将持续地从左向右运动
B.将持续地从右向左运动
C.正电荷持续地从左向右运动,负电荷持续地从右向左运动
D.不会发生持续的定向运动
参考答案:D
本题解析:汽车在南极运动时,汽车的前轮轴和后轮轴都做切割磁感线的运动,与车体组成一个闭合的回路,由于前轮轴和后轮轴所处地点的磁感应强度相同,轮轴的长度相同,所以产生的感应电动势也相同,是等大反向的,匀速行驶时,两个感应电动势刚好等大反向并且不再变化,在闭合的回路中不会有自由电荷的持续移动。
本题难度:简单
3、简答题 如图所示,宽L=1m、倾角
的光滑平行导轨与电动势E=3.0V、内阻r=0.5
的电池相连接,处在磁感应强度
、方向竖直向上的匀强磁场中。质量m=200g、电阻R=1
的导体ab从静止开始运动。不计期于电阻,且导轨足够长。试计算:
(1)若在导体ab运动t=3s后将开关S合上,这时导体受到的安培力是多大?加速度是多少?
(2)导体ab的收尾速度是多大?
(3)当达到收尾速度时,导体ab的重力功率、安培力功率、电功率以及回路中焦耳热功率和化学功率各是多少?
参考答案:(1)受安培力为:
加速度为:
,即导体做匀减速运动.
(2)收尾速度
(3)导体ab的重力功率、安培力功率和电功率大小相等,即:
回路中焦耳热功率和化学功率分别为:
本题解析:(1)闭合开关前,导体ab在3s末的速度为:
导体ab的感应电动势为:
闭合开关时,导体所受安培力为:
加速度为:
,即导体做匀减速运动.
(2)当a=0时,导体的速度最小,即为收尾速度,有
(3)当导体以收尾速度匀速运动时,导体ab的重力功率、安培力功率和电功率大小相等,即:
同理,还有:
则电路中的电流为:
所以,回路中焦耳热功率和化学功率分别为:
本题难度:一般
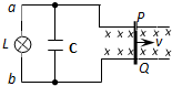
4、选择题 小灯泡L、电容C与一平行金属导轨及导体棒PQ构成如图闭合电路,磁场与导轨所在平面垂直.当导体棒PQ向右运动时,小灯泡电流I的方向以及电容器C极板的带电情况是( )
A.I从a到b,C上极板带正电
B.I从a到b,C下极板带正电
C.I从b到a,C上极板带正电
D.I从b到a,C下极板带正电
参考答案:由右手定则可知,通过灯泡的电流从a流向b,电容器上极板电势高,上极板带正电,故A正确;
故选:A.
本题解析:
本题难度:简单
5、简答题 如图所示,为某一装置的俯视图,PQ、MN为竖直放置的很长的平行金属薄板,两板间有匀强磁场,它的磁感应强度大小为B,方向竖直向下,金属棒AB搁置在两板上缘,并与两板垂直良好接触,现有质量为m、带电量大小为q,其重力不计的粒子,以初速度v0水平射入两板间.问:
(1)金属棒AB应朝什么方向、以多大的速度运动,可以使带电粒子做匀速运动?
(2)若金属棒运动突然停止,带电粒子在磁场中继续运动,从这刻开始位移第一次达到mv0/(qB)时的时间间隔是多少?(磁场足够大)
参考答案:(1)棒AB向左运动.
。
(2)运动时间
。
本题解析:(1)棒AB向左运动.以正电荷为例:受洛伦兹力方向,垂直指向板MN,则电场方向垂直指向板PQ,据右手定则可知棒AB向左运动.
,则
。
(2)
,带电粒子运动半径
。当位移大小第一次达到
时,如图所示带电粒子转过的圆心角为600,其运动时间
,则
。
故带电粒子运动周期
,运动时间
。
本题难度:一般