时间:2019-07-02 23:37:13
1、实验题 气垫导轨工作时能够通过喷出的气体使滑块悬浮从而基本消除掉摩擦力的影响,因此成为重要的实验器材,气垫导轨和光电门、数字毫秒计配合使用能完成许多实验。现提供以下实验器材:(名称、图像、编号如图所示)
利用以上实验器材还可以完成“验证动量守恒定律”的实验。
为完成此实验,某同学将实验原理设定为:m1v0=(m1+m2)v
(1)针对此原理,我们应选择的器材编号为:____________;
(2)在我们所选的器材中:________器材对应原理中的m1(填写器材编号)。
参考答案:(1)ABC
(2)B
本题解析:
本题难度:一般
2、简答题 如图所示,一质量为m的平板车左端放有质量为M的滑块,滑块与平板车之间的动摩擦因数为μ开始时,平板车和滑块共同以速度v0沿光滑水平面向右运动,并与竖直墙壁发生碰撞,设碰撞时间极短,且碰撞后平板车速度大小保持不变,但方向与原来相反.平板车足够长,滑块不会滑出平板车右端,重力加速度为g.求:
(1)平板车第一次与墙壁碰撞后再次与滑块速度相同时,两者的共同速度;
(2)平板车第一次与墙壁碰撞后再次与滑块速度相同时,平板车右端距墙壁的距离.
参考答案:(1)平板车与墙发生碰撞后以原速率弹回,此后平板车与木块所受的合外力为零,总动量守恒,取水平向右为正方向,则有
Mv0-mv0=(m+M)v
解得v=M-mM+mv0,
当M>m,则v>0,方向向右.
当M<m,则v<0,方向向左.
(2)当M>m时,平板车与墙壁碰撞后先向左减速运动,后向右加速运动到与滑块速度相等,
设平板车向左运动的最大距离是x1,从最大距离处向右运动到速度与滑块速度相同时的距离为x2,
由动能定理得:-μMgx1=0-12mv20
μMgx2=12mv2
平板车右端距离墙壁的距离为△x=x1-x2=2m2v20μ(M+m)2g
当M<m,平板车一直减速到与滑块速度相等,
由动能定理得:-μMgx=12mv2-12mv20
解得x=2m2v20μ(M+m)2g
两种情况下,平板车第一次与墙壁碰撞后再次与滑块速度相同时,平板车右端距墙壁的距离相等,即x=△x=2m2v20μ(M+m)2g.
答:(1)平板车第一次与墙壁碰撞后再次与滑块速度相同时,两者的共同速度大小是M-mM+mv0.
当M>m,则v>0,方向向右.当M<m,则v<0,方向向左.
(2)平板车第一次与墙壁碰撞后再次与滑块速度相同时,平板车右端距墙壁的距离是2m2v20μ(M+m)2g.
本题解析:
本题难度:一般
3、计算题
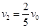
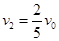
(15分)如图所示,A、B、C三个物体质量均为m,其中厚度相同的A、B位于光滑的水平面上,可视为质点的小物块C放在静止的B物体上,物体A以速度v0向物体B运动,与B发生碰撞(碰撞时间极短),碰后A、B以相同的速度运动,但互不粘连;C滑过B后又在A上滑行,最后停在A上,与A一起以
的速度运动。求:
(1)物体B最终的速度;
(2)小物块C在物体A和物体B上滑行过程中由于摩擦产生的热量之比。
参考答案:
(1)
?
(2)
本题解析:(1)从最初A以速度υ0运动到最终AC以共同速度υ4运动、同时B以速度υ2匀速运动的过程中,对ABC组成的系统全过程由动量守恒定律有:
?求得:
?
(2)如图1,从A以速度υ0运动到与B相碰获得共同速度(设为υ1)的过程中,对AB组成的系统由动量守恒定律得:
?
设C离开B的瞬时速度为υ3,AB整体的速度减小为υ2,如图2所示,对ABC组成的系统由动量守恒定律得:
?
设该过程中C在B上滑行由于摩擦产生的热量为
,由能量关系可得:
C以速度υ3离开B滑上A后,AB分离,B以速度υ2匀速运动,C和A相互作用至达到共同速度υ4,如图3所示。该过程中对A、C组成的系统由动量守恒定律有
?
设该过程中C在A上滑行由于摩擦产生的热量为
,由功能关系可得:
?
联立以上各式及题中已知
可得:?
本题难度:一般
4、简答题 质量m1=0.5kg的小球在光滑的水平桌面上以V1=30m/s的速率向右运动,恰好遇上在同一条直线上向左运动的另一个小球.另一个小球的质量为m2=1kg,速率V2=20m/s,碰撞后,小球m2恰好停止.那么碰撞后小球m1的速度是多大,方向如何?
参考答案:设小球向右运动方向为正方向,两小球碰撞前后动量守恒:
m1V1-m2V2=m1V1′+0
∴V1′=(m1V1-m2V2)?1m1=(0.5×30-1×20)?10.5?m/s=-10?m/s
碰撞后小球m1的速度大小为10?m/s,方向向左
答:碰撞后小球m1的速度大小为10?m/s,方向向左.
本题解析:
本题难度:一般
5、填空题 在光滑水平面上,甲、乙两小滑块相向运动,已知甲的质量m1=0.6kg,乙的质量m2=0.4kg,甲的速度大小v1=0.8m/s,乙的速度大小v2=0.5m/s,两滑块想碰后粘在一起,则它们一起运动的速度大小为?m/s,方向与?碰前速度方向相同(填“甲”或“乙”)。
参考答案:0.28,甲
本题解析:在甲乙碰撞过程中,系统的动量守恒,以甲碰前速度方向为正方向,设碰后两者一起运动的速度为v,根据动量守恒定律有:m1v1-m2v2=(m1+m2)v,解得:v=
=
m/s=0.28m/s>0,即它们一起运动的速度大小为0.28m/s,方向与甲碰前速度方向相同。
本题难度:一般