高考物理知识大全《匀变速直线运动》高频试题巩固(2019年最新版)(十)

时间:2019-07-02 23:28:50

微信搜索关注"91考试网"公众号,领30元,获取事业编教师公务员等考试资料40G

1、选择题  某人欲估算飞机着陆时的速度,他假设飞机停止运动前在平直跑道上做匀减速运动,飞机在跑道上滑行的距离为x,从着陆到停下来所用的时间为t,则飞机着陆时的速度为
[? ]
A.         
B.
C.
D.之间的某个值


参考答案:B


本题解析:


本题难度:一般



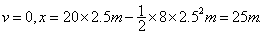
2、计算题  以20 m/s的速度行驶的小汽车,刹车后的加速度大小为8m/s2,则刹车后4s 内汽车的位移和速度分别为多少?


参考答案:解:汽车刹车时,取初速度方向为正,则v0= 20 m/s,a= -8 m/s2,设汽车从刹车到停止所用时间为t",则据v=v0+at,有,由于2.5 s <4 s,说明从刹车开始计时,2.5 s末汽车速度减为零,从而停止,故汽车最终速度


本题解析:


本题难度:一般



3、填空题  物体由静止开始做匀加速直线运动,则第1s内和第3s内位移大小之比为______,运动1m和运动3m时速度大小之比为______.


参考答案:第1s内的位移为:x1=12at12=12a
第3s内位移为:△x=x3-x2=12at32-12at22=12a×5
所以第1s内和第3s内位移大小之比为x1△x=15
运动1m的速度为:v1=


本题解析:


本题难度:一般



4、选择题  如图所示中的传送皮带是绷紧的,当皮带轮不动时,滑块从顶端由静止开始下滑到底端所用时间为,当皮带轮顺时针方向转动时,滑块从顶端由静止开始下滑到底部所用时间为,则相比较,正确的说法是 ?

A.
B.
C.
D.因摩擦情况不明,无法判断。


参考答案:C


本题解析:皮带不动时,对物体的摩擦力为斜面倾角),逆时针转动时,受到的摩擦力仍为,两次摩擦力完全相同,运动的位移也相同,因此运动时间相等,C正确。


本题难度:一般



5、计算题  如图所示,一小球从斜面上的A点由静止下滑作匀变速直线运动,先后经过B、C两点。已知小球从B运动到C点的时间为t,B、C两点间的距离为S,小球到达C点时的速度为v,求小球的加速度大小。


参考答案:


本题解析:略


本题难度:简单



All that glitters is not gold. 闪烁者不尽是金。

首页 上页 9 10 下页 尾页 10/10/10
微信搜索关注"91考试网"公众号,领30元,获取公务员事业编教师考试资料40G
【省市县地区导航】【考试题库导航】
 ★ 高考省级导航 ★ 
全国 A安徽 B北京 C重庆 F福建 G广东 广西 甘肃 贵州 H河南 河北 湖南 湖北 黑龙江 海南 J江苏 江西 吉林 L辽宁 N内蒙古 宁夏 Q青海 S山东 山西 陕西 四川 上海 T天津 X新疆 西藏 Y云南 Z浙江
 ★ 高考信息汇总 ★ 
 ★ 高考历年真题 ★ 
 ★ 高考历年真题 ★ 
 ★ 高考题库 ★ 
 ★ 高考题库 ★ 

电脑版  |  手机版  |  返回顶部