时间:2019-06-29 05:34:15
1、计算题 如图所示,有一带电粒子(不计重力)紧贴A板沿水平方向射入匀强电场,当偏转电压为U1时,带电粒子沿轨迹①从两板正中间飞出;当偏转电压为U2时,带电粒子沿轨迹②落到B板中间。设两次射入电场的水平速度相同,试求:两次的电压之比U1:U2。
参考答案:解:对轨迹①分析
水平方向:
竖直方向:
,
,
对轨迹②分析
水平方向:
竖直方向:
,
,
综上U1:U2 = 1 :8
本题解析:
本题难度:一般
2、选择题 一个带电粒子以初速度v0垂直于电场方向向右射入匀强电场区域,穿出电场后接着又进入匀强磁场区域.设电场和磁场区域有明确的分界线,且分界线与电场强度方向平行,如图中的虚线所示.在如图所示的几种情况中,可能出现的是(? )
参考答案:AD
本题解析:当粒子垂直进入匀强电场时,由图可知,电场力向下,则粒子带正电,当进入磁场时由左手定则可得洛伦兹力垂直速度向上.故A正确;当粒子垂直进入匀强电场时,由图可知,电场力向下,则粒子带负电,当进入磁场时由左手定则可得洛伦兹力垂直速度向下,故B错误;当粒子垂直进入匀强电场时,由图可知,电场力向下,则粒子带正电,当进入磁场时由左手定则可得洛伦兹力垂直速度向下,故C错误;当粒子垂直进入匀强电场时,由图可知,电场力向上,则粒子带正电,当进入磁场时由左手定则可得洛伦兹力垂直速度向上,故D正确;故选:AD
点评:左手定则是判定磁场、电荷运动速度及洛伦兹力三者方向之间的关系.但电荷有正负之分,所以若是正电荷,则四指所指的方向为正电荷的运动方向,大拇指方向为洛伦兹力的方向;若是负电荷,四指所指方向为负电荷的运动方向,大拇指反方向为洛伦兹力的方向.
本题难度:一般
3、选择题 如图所示,质量为
、带电量为
的三个相同的带电小球A、B、C,从同一高度以初速度
水平抛出,B球处于竖直向下的匀强磁场中,C球处于垂直纸面向里的匀强电场中,它们落地的时间分别为
、
、
,落地时的速度大小分别为
、
、
,则以下判断正确的是:( ) 
A.
=
=
B.
=
>
C.
>
=
D.
=
<
参考答案:AD
本题解析:根据题意可知:A球只有重力做功,竖直方向上做自由落体运动;B球除重力之外还受到洛伦兹力作用,因为B得水平速度不变,故B的洛伦兹力总是水平方向的且垂直纸面向里的,不影响重力方向,所以竖直方向也做自由落体运动.但洛伦兹力不做功,也只有重力做功;C球除重力做功外,还受到垂直纸面向里的电场力作用,竖直方向做自由落体运动,而且电场力对其做正功.
所以三个球竖直方向都做自由落体运动,下落的高度又相同,故下落时间相同,则有tA=tB=tC.故A正确,B错误.根据动能定理可知:A、B两球合力做的功相等,初速度又相同,所以末速度大小相等,而C球合外力做的功比A、B两球合外力做的功大,而初速度与A、B球的初速度相等,故C球的末速度比A、B两球的末速度大,即vA=vB<vC.故C错误,D正确;故选AD.
考点:带电粒子在匀强磁场及在匀强电场中的运动,动能定理的应用.
本题难度:一般
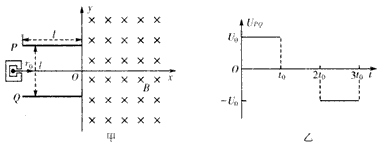
4、计算题 如图甲所示,建立Oxy坐标系,两平行极板P、Q垂直于y轴且关于x轴对称,极板长度和板间距均为l,第一、四象限有磁场,方向垂直于Oxy平面向里。位于极板左侧的粒子源沿x轴向右接连发射质量为m、电荷量为+q、速度相同、重力不计的带电粒子,在0-3t0时间内两板间加上如图乙所示的电压(不考虑极板边缘的影响)。已知t=0时刻进入两板间的带电粒子恰好在t0时刻经极板边缘射入磁场,上述m、q、l、t0、B为已知量。(不考虑粒子间相互影响及返回板间的情况)
(1)求电压U0的大小;
(2)求1/2t0时刻进入两板间的带电粒子在磁场中做圆周运动的半径;
(3)何时进入两板间的带电粒子在磁场中的运动时间最短?求此最短时间。
参考答案:解:(1)t=0时刻进入两极板的带电粒子在电场中做匀变速曲线运动,t0时刻刚好从极板边缘射出,在y轴负方向偏移的距离为1/2l,则有
? ①
Eq=ma? ②
? ③
联立以上三式,解得两极板间偏转电压为
? ④
(2)1/2t0时刻进入两极板的带电粒子,前1/2t0时间在电场中偏转,后1/2t0时间两极板没有电场,带电粒子做匀速直线运动
带电粒子沿x轴方向的分速度大小为
? ⑤
带电粒子离开电场时沿y轴负方向的分速度大小为
? ⑥
带电粒子离开电场时的速度大小为
? ⑦
设带电粒子离开电场进入磁场做匀速圆周运动的半径为R,则有
? ⑧
联立③④⑤⑧⑦⑧式解得
? ⑨
(3)2t0时刻进入两极板的带电粒子在磁场中运动时间最短,带电粒子离开磁场时沿y轴正方向的分速度为vy"=at0 ⑩
设带电粒子离开电场时速度方向与y轴正方向的夹角为α,则
?
联立③⑤⑩式解得α=π/4
带电粒子在磁场运动的轨迹图如图所示,圆弧所对的圆心角为2α=π/2
所求最短时间为tmin=1/4T
带电粒子在磁场中运动的周期为T=
联立以上两式解得
?
本题解析:
本题难度:困难
5、选择题 如图所示,有一带电粒子贴A板沿水平方向射入匀强电场,下列说法正确的是
A.粒子将在电场中加速
B.粒子将在电场中偏转
C.粒子原来按2轨道运行,加大两板电压后,可能变为1轨道
D.粒子原来按1轨道运行,加大两板电压后,可能变为2轨道
参考答案:BD
本题解析:所受电场力向下,粒子做类平抛运动,B对;粒子原来按1轨道运行,加大两板电压后,电场强度E=U/d增大,电场力增大,可能变为2轨道,C错;D对;
本题难度:简单