时间:2019-06-29 05:34:15
1、计算题 (16分)如图所示,区域Ⅰ中有竖直向上的均强电场,电场强度为E;区域Ⅱ内有垂直纸面向外的水平均强磁场,磁感应强度为B;区域Ⅲ中有垂直纸面向里的水平均强磁场,磁感应强度为2B.一质量为m、带电量为q的带负电粒子(不计重力)从左边界O点正上方的M点以速度v0水平射入电场,经水平分界线OP上的A点与OP成60°角射入Ⅱ区域的磁场,并垂直竖直边界CD进入Ⅲ区域的均强磁场中.求:
(1)粒子在Ⅱ区域匀强磁场中运动的轨道半径;
(2)O、M间的距离;
(3)粒子从第一次进入区域Ⅱ到第一次离开区域Ⅲ所经历的时间t.
参考答案:(1)
;(2)
;(3)
;
本题解析:(1)粒子在电场中做类平抛运动,设粒子过A点的速度为v,将速度分解有:
?2分
在磁场II中做匀速圆周运动,根据
?解得:
?3分
(2)设粒子在电场中的运动时间为t1,加速度为a,则有:
?1分
?2分
OM两点间距离
?2分
(3)粒子在磁场II、III中做匀速圆周运动,轨迹如下图所示:
粒子在磁场II中运动时间:
?2分
粒子在磁场III中运动时间:
?2分
故经历的时间:
?2分
本题难度:一般
2、选择题 一束相同的带电粒子(重力不计),以不同的初动能垂直进入匀强电场,如图所示,当这些带电粒子的末动能是初动能的4倍时对应的位置,分别为Pl,P2,P3, ,则这些位置连成的图线为
A.一条直线
B.圆
C.抛物线
D.椭圆
参考答案:A
本题解析:设经过时间t时带电粒子的末动能是初动能的4倍,这时的水平位移x,竖直位移y,则:
,
。联立以上3个公式得:
?①
电场力做功:
,整理得:
?②
①×②得:
即:
。所以,对于每一个粒子,当这些带电粒子的末动能是初动能的4倍时,都满足:
.所以对应的位置为P1,P2,P3,则这些位置连成的图线为直线.故A正确,BCD错误.
本题难度:简单
3、计算题 两个半径均为R的圆形平板电极,平行正对放置,相距为d,极板间的电势差为U,板间电场可以认为是均匀的。一个α粒子从正极板边缘以某一初速度垂直于电场方向射入两极板之间,到达负极板时恰好落在极板中心。已知质子电荷为e,质子和中子的质量均视为m,忽略重力和空气阻力的影响,求:
(1)极板间的电场强度E;
(2)α粒子在极板间运动的加速度a;
(3)α粒子的初速度v0。
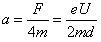
参考答案:解:(1)极间场强
(2)α粒子电荷为2e,质量为4m,所受电场为
α粒子在极板间运动的加速度
(3)由
,得:
?
本题解析:
本题难度:一般
4、选择题 金属板A,B水平放置,且分别带等量异号电荷,一粒子从B板左侧斜向上射入两板间,轨迹如图所示,忽略两板边缘电场和重力对粒子的影响,则
[? ]
A.该粒子带正电
B.粒子的加速度先减小后增大
C.粒子的电势能先减小后增大
D.粒子的动能先减小后增大
参考答案:AD
本题解析:
本题难度:一般
5、选择题 a、b、c三个
粒子由同一点垂直场强方向进入偏转电场,其轨迹如图所示,其中b恰好飞出电场,由此可以肯定( )
①在b飞离电场的同时,a刚好打在负极板上
②b和c同时飞离电场
③进入电场时,c的速度最大,a的速度最小
④动能的增量相比,c的最小,a和b的一样大
A.①
B.①③④
C.③④
D.①②
参考答案:B
本题解析:①②三个
粒子进入电场后加速度相同,由图看出,竖直方向
偏转距离相等,大于c的偏转距离,由
得知,a、b运动时间相等,大于c的运动时间,即
,故在b飞离电场的同时,a刚好打在负极板上,而c先飞出电场,故①正确,②错误;③三个
粒子水平方向上做匀速直线运动,则有
.由图看出,b、c水平位移相同,大于a的水平位移,即
,而
,可见,初速度关系为:
,故③正确;④由动能定理得:
,由图看出,a和b的偏转距离相等,大于c的偏转距离,故ab动能增量相等,大于c的动能增量,故④正确。
考点:考查了带电粒子在电场中的偏转
本题难度:一般